Черепно-мозговая травма у детей

Версия: Клинические рекомендации РФ 2025 (Россия)

Внутричерепная травма (S06)
Неврология детская, Нейрохирургия, Педиатрия

Общая информация

Краткое описание


Разработчик клинической рекомендации
Ассоциация нейрохирургов России,
Всероссийское Общество по детской нейрохирургии

Одобрено Научно-практическим Советом Минздрава России
 

Клинические рекомендации
Черепно-мозговая травма у детей

Год утверждения (частота пересмотра): 2025

Пересмотр не позднее: 2027

ID:493_3


Возрастная категория: Дети

 

Определение заболевания или состояния (группы заболеваний или состояний)

Черепно-мозговая травма – это повреждение механической энергией черепа и внутричерепного содержимого, включающего в себя вещество мозга, сосуды мозга, черепно-мозговые нервы и мозговые оболочки. Диагноз устанавливается при наличии четкого указания на травму головы (травматический анамнез).


Особенности кодирования заболевания или состояния (группы заболеваний или состояний) по Международной статистической классификации болезней и проблем, связанных со здоровьем

S06.0 Сотрясение головного мозга
S06.1 Травматический отек головного мозга
S06.2 Диффузная травма головного мозга
S06.3 Очаговая травма головного мозга
S06.4 Эпидуральное кровоизлияние
S06.5 Травматическое субдуральное кровоизлияние
S06.6 Травматическое субарахноидальное кровоизлияние
S06.7 Внутричерепная травма с продолжительным коматозным состоянием
S06.8 Другие внутричерепные травмы
S06.9 Внутричерепная травма неуточненная.


Классификация


Классификация заболевания или состояния (группы заболеваний или состояний)

Классификацию ЧМТ основана на ее биомеханике, виде, типе, характере, форме, тяжести повреждений, клинической фазе, периоде течения, а также исходе травмы [Потапов А.А. и соавт., 2003; Коновалов А.Н. и соавт., 1998 – 2002].


Легкая ЧМТ (ЛЧМТ) – остро развившееся нарушение функции мозга, являющееся следствием травматического воздействия, при котором может отмечаться кратковременная потеря сознания (до 30 минут) и/или амнезия (до 24 часов). Она включает в себя одну нозологию – сотрясения головного мозга.


Сотрясение головного мозга (СГМ) – наиболее лёгкая клиническая форма диффузного транзиторного повреждения мозга, в основе которого лежат метаболические, ионные, нейротрансмиттерные нарушения и нейровоспаление, характеризующаяся отсутствием видимых изменений на компьютерной томографии (КТ), клинически представляет собой единую функционально обратимую форму [3].


Средне-тяжелая ЧМТ включает в себя ушиб мозга легкой и средней степени тяжести, эпидурально-поднадкостничные гематомы без сдавления мозга.


Тяжелая черепно-мозговая травма включает в себя

  • ушиб мозга тяжелой степени,

  • внутричерепные гематомы со сдавлением (острая эпидуральная, субдуральная, внутримозговая гематома),

  • диффузно-аксональное повреждение [1,3,7].


В оценке тяжести черепно-мозговой травмы в мировом сообществе широкое применение получила шкала комы Глазго (ШКГ) (Приложение Г1), разработанная в 1974 г. G.Teasdale и B.Jennet. Значимость ШКГ определяется возможностью объективной оценки тяжести повреждения мозга с использованием количественной шкалы. Для пациентов детского возраста с учетом возрастных особенностей разработана педиатрическая шкала (Приложение Г2).

Легкая ЧМТ – 13-15 баллов ШКГ (соответствует сотрясению головного мозга и ушибу мозга легкой степени).

Среднетяжелая ЧМТ – 9-12 баллов ШКГ (соответствует ушибу мозга средней степени тяжести)

Тяжелая черепно-мозговая травма – 3-8 баллов ШКГ (соответствует ушибу мозга тяжелой степени)

Одна и другая классификация хорошо совместимы [3].

По биомеханике различают ЧМТ: 1) ударно-противоударную, 2) ускорения замедления, 3) сочетанную.

По виду повреждения: 1) очаговая, 2) диффузная, 3) сочетанная.


По генезу повреждения мозга при ЧМТ дифференцируют: 1) первичные повреждения, которые возникают в результате непосредственного воздействия 11 11 травмирующих факторов – очаговые ушибы и размозжения мозга, диффузные аксональные повреждения, первичные внутричерепные гематомы, их сочетания;

а) вторичные интракраниальные повреждения являются результатом воздействия таких факторов, как нарушение проницаемости ГЭБ, увеличения объема мозга или его набухания вследствие отека, гиперемии или венозного полнокровия, повышения интракраниального давления, смещений и деформаций мозга, отсроченных гематом (эписубдуральных, внутримозговых), нарушения гемо- и ликвороциркуляции в результате субарахноидального или внутри желудочкового кровоизлияния, внутричерепной инфекции и др. б) вторичные экстракраниальные факторы: артериальная гипотензия, гипоксемия, гиперкапния, анемия и др. [Reilly P., Bullock R., 2005]. Вторичные факторы могут быть предупреждены или излечены, что зависит от своевременной и правильной диагностики, организации и качества нейрохирургической помощи.


Выделяют следующие клинические формы ЧМТ: 1) сотрясение мозга, 2) ушиб мозга легкой степени, 3) ушиб мозга средней степени, 4) ушиб мозга тяжелой степени, 5) диффузное аксональное повреждение, 6) сдавление мозга, 7) сдавление головы.


При ЧМТ выделяют три базисных периода в течение травматической болезни головного мозга [Лихтерман Л.Б. и соавт., 2012]: 1) острый, 2) промежуточный, 3) отдаленный.


Острый период – это промежуток времени от момента повреждающего воздействия механической энергии на головной мозг с внезапным расстройством его интегративно регуляторных и локальных функций до стабилизации на том или ином уровне нарушенных общемозговых и общеорганизменных функций, либо смерти пострадавшего. Временная протяженность острого периода от 2 до 10 недель в зависимости от клинической формы ЧМТ. Примерные сроки острого периода ЧМТ при сотрясении мозга – до 2 недели легком ушибе мозга – до 3 недели, средне-тяжелом ушибе мозга – до 4-5 неделей, тяжелом ушибе мозга – до 6-8 неделей6 диффузном аксональном повреждении – до 8-10 неделей, сдавлении мозга – от 3 до 10 неделей (в зависимости от фона).


Промежуточный период – это промежуток времени от стабилизации нарушенных травмой общеорганизменных, общемозговых, очаговых функций до их полного или частичного восстановления или устойчивой компенсации. Временная протяженность промежуточного периода: при легкой ЧМТ – до 2 месяцев, при среднетяжелой ЧМТ – до 4 месяцев, при тяжелой ЧМТ – до 6 месяцев.


Отдаленный период – это период клинического выздоровления, либо максимально достижимой реабилитации нарушенных функций, либо возникновения и/или 12 12 прогрессирования обусловленных перенесенной ЧМТ новых патологических состояний. Временная протяженность отдаленного периода: при клиническом выздоровлении – до 2 лет, при проградиентном течении – не ограничена [Лихтерман Л.Б. и соавт., 2012].


Рекомендуется при первичной оценке состояния установить ее характер. По наличию повреждений мягких тканей выделяют закрытую тяжелую ЧМТ (с повреждением мягких тканей до апоневроза) и открытую (с повреждением мягких тканей глубже апоневроза).


По наличию повреждений ТМО выделяют проникающую (ТМО повреждена) и непроникающую (ТМО не повреждена) тяжелую ЧМТ.


Среди типов ЧМТ различают: изолированную (если отсутствуют какие-либо внечерепные повреждения), сочетанную (если механическая энергия одновременно вызывает внечерепные повреждения) и комбинированную (если одновременно воздействуют различные виды энергии – механическая и термическая или лучевая, или химическая) травмы [1, 3].


Этиология и патогенез


Этиология и патогенез заболевания или состояния (группы заболеваний или состояний)

Современная концепция повреждения мозга при черепно-мозговой травме основана на концепции первичных и вторичных факторов повреждения. Травмирующий фактор в течение миллисекунд вызывает первичные (необратимые) повреждения, которые запускают каскад вторичных деструктивных биохимических и иммунологических реакций. Факторы вторичного повреждения мозга подразделяются на внутричерепные (отек мозга, внутричерепные гематомы и кровоизлияния, интракраниальная инфекция и др.) и внечерепные (гипоксия, артериальная гипотензия, гипо-, гиперкапния, гипо-, гипергликемия, гипертермия, артериальная гипертензия, инфекция и др.)


Вторичные повреждения в совокупности с первичными структурными повреждениями вещества мозга существенно усугубляют тяжесть состояния пострадавших и могут быть причиной неблагоприятного исхода. Вторичное повреждение мозга рассматривается как потенциально обратимый процесс при своевременном вмешательстве.


Основные звенья патогенеза ЧМТ развиваются независимо от возраста пострадавшего. Вместе с тем, чем младше ребенок, тем ярче представлены анатомо-физиологические отличия, обуславливающие особенности механизма реакции мозга на травму – это интенсивность обменных процессов; низкая толерантность к кровопотере; низкая толерантность к гипоксии и гипотонии; склонность к отёку и набуханию мозга; низкая толерантность к гипертермии; преобладание общемозговых генерализованных реакций над очаговыми местными проявлениями; высокие компенсаторные возможности с внезапной и быстрой декомпенсацией функций.


Эпидемиология


Эпидемиология заболевания или состояния (группы заболеваний или состояний)

Черепно-мозговая травма (ЧМТ) у детей встречается чаще, чем у взрослых. Смертность среди детей с тяжелой ЧМТ колеблется по разным регионам от 12 до 30% и более [2,9]. Результаты опроса, проведенного в НИИ НДХиТ в 2008г в различных федеральных округах, показали, что частота встречаемости ЧМТ среди детского населения весьма вариабельна, что в значительной степени может быть связано с отсутствием единой системы отчетности и регистрации. Вместе с тем статистический анализ показал, что среди госпитализированных детей с нейротравмой удельный вес тяжелой черепно-мозговой травмы составляет 6%, а это – порядка 4000 инвалидов ежегодно [2].


Клиническая картина

Cимптомы, течение


Клиническая картина заболевания или состояния (группы заболеваний или состояний)

При осмотре головы могут быть выявлены признаки, указывающие на факт перенесенной травмы (ушибы, ссадины, раны) и перелом костей основания черепа (кровоподтеки в области сосцевидного отростка (симптом Беттла), периорбитальные гематомы (симптом «очков»), истечение жидкости из наружных слуховых проходов, носа, рта), эмфизема лица, подвижность костей лицевого скелета, экзофтальм, гематомы мягких тканей.


После общего осмотра проводится оценка неврологического статуса пациента, включающая: 1) оценку уровня сознания по шкале комы Глазго (Приложения Г1, Г2), 2) состояния зрачков (диаметр, симметричность, фотореакции), 3) двигательного ответа на болевое раздражение (локализация боли, сгибательная реакция, разгибательная реакция, отсутствие двигательной реакции) 4) функций черепных нервов, 5) состояние рефлексов, 6) менингеального синдрома, 7) глазодвигательных нарушений. Все пациенты с ЧМТ требуют повторного динамического неврологического осмотра.


При неврологическом осмотре необходимо учитывать, что острая эпидуральная гематома в 10% случаев, а острая субдуральная – в 5% может характеризоваться трехфазным течением – первичная утрата сознания, далее светлый промежуток и повторное ухудшение состояния с развитием снижения уровня сознания до сопора или комы (Коновалов А.Н., 2001; Крылов В.В. и соавт., 2019). Следует иметь в виду, что помимо классического «светлого» промежутка после первичной утраты сознания может отмечаться редуцированный «светлый» промежуток или его отсутствие.


Острая субдуральная гематома может быть как изолированной, так и сочетаться с контузионными очагами повреждения головного мозга. Ушиб головного мозга тяжелой степени характеризуется утратой сознания на срок от нескольких часов до нескольких суток, развивается снижение бодрствования до сопора или комы, может отмечаться психомоторное возбуждение, стволовые симптомы, горметония, менингеальные знаки, эпилептические приступы, нарушение витальных функций. Появление брадикардии при ЧМТ обусловлено рефлекторным раздражением ядер блуждающего нерва вследствие ВЧГ и дислокации. Анизокория чаще развивается на стороне гематомы при начальной фазе височно-тенториальной дислокации, чаще при острых субдуральных гематомах, однако не во всех случаях (до 30% по данным НИИ СП им. Склифосовского, 2019). При наличии анизокории в 82% случаев она отмечалась на стороне гематомы, в 18% на противоположной стороне (Крылов В.В. и соавт., 2019).


Клиническая картина острой эпидуральной гематомы зависит от темпа ее развития и локализации, при быстром развитии дислокационного синдрома пациенты могут поступать в стационар в тяжелом состоянии, при этом частота сопора и комы доходит до 60% (Коновалов А.Н. и соавт., 2001; Крылов В.В. и соавт., 2019). Часто при данном виде гематом отмечается отсутствие светлого промежутка до 40% случаев.


При прогрессировании дислокационного синдрома развивается общемозговая, гипертензионная, менингеальная симптоматика, сонливость, психомоторное возбуждение, брадикардия и последующее снижение уровня бодрствования. У 7% 15 15 пациентов возможны судороги (Крылов В.В. и соавт., 2019). Особенностью клинического течения эпидуральных гематом является возможность их отсроченного нарастания в динамике, в связи с этим всем пострадавшим с тяжелой ЧМТ при ухудшении состояния или при выявлении ОЭГ небольшого объема необходимо проведение повторной СКТ головного мозга. До 90% пациентов с ОЭГ имеет перелом костей черепа. В отличие от эпидуральных, субдуральные гематомы не ограничены в своем распространении и могут располагаться над 2 долями мозга и более, при этом переломы костей черепа при ОСГ встречаются реже, чем при ОЭГ – до 45% (Крылов В.В. и соавт., 2019).


В отличие от ОЭГ при ОСГ дислокационный синдром развивается медленнее, в клинической картине преобладают общемозговые симптомы и психические нарушения, несколько чаще встречаются эпилептические приступы (до 12%). Трехфазное течение при ОСГ встречается редко, однако чаще выражена анизокория (до 56%) и брадикардия (50%), до 28% пациентов имеет контралатеральную пирамидную недостаточность. Тяжесть состояния пациента с ОСГ обусловлена ее объемом, так при объеме гематомы до 50 см3 пациенты не имеют грубого нарушения уровня бодрствования.


Диффузное аксональное повреждение головного мозга характеризуется длительным (до 2-3 нед.) коматозным состоянием, выраженными стволовыми симптомами (парез взора вверх, разностояние глаз по вертикальной оси, двустороннее угнетение или выпадение световой реакции зрачков, нарушение или отсутствие окулоцефалического рефлекса и др.). Часто наблюдаются нарушения частоты и ритма дыхания, нестабильность гемодинамики. Характерной особенностью клинического течения диффузного аксонального повреждения является переход из длительной комы в стойкое или транзиторное вегетативное состояние, о наступлении которого свидетельствует появление ранее отсутствовавшего открывания глаз спонтанно либо в ответ на различные раздражения. При этом нет признаков слежения, фиксации взора или выполнения хотя бы элементарных инструкций (данное состояние называют апаллическим синдромом).


Вегетативное состояние у таких больных длится от нескольких суток до нескольких месяцев и характеризуется функциональным и/или анатомическим разобщением больших полушарий и ствола мозга. По мере выхода из вегетативного состояния неврологические симптомы разобщения сменяются преимущественно симптомами выпадения. Среди них доминирует экстрапирамидный синдром с выраженной мышечной скованностью, дискоординацией, брадикинезией, олигофазией, гипомимией, мелкими гиперкинезами, атаксией. Одновременно проявляются аспонтанность (безразличие к окружающему, неопрятность в постели, отсутствие любых побуждений к какой-либо деятельности), амнестическая спутанность, слабоумие и др. Вместе с тем наблюдаются грубые аффективные расстройства в виде гневливости, агрессивности.


Диагностика


Диагностика заболевания или состояния (группы заболеваний или состояний) медицинские показания и противопоказания к применению методов диагностики


Критерии установления заболевания или состояния:

  • анамнестические данные: наличие факта травмы согласно описанию пострадавшего или очевидцев.

  • физикальное обследование: клиническая картина черепно-мозговой травмы (нарушение сознания, очаговая, менингеальная симптоматика, дислокационный синдром) наличие ран и ссадин, признаков перелома костей черепа, наличие кровотечения, ликвореи, выделения детрита через рану.

  • инструментальное обследование: КТ головного мозга, рентгенография черепа
     

  • Рекомендуется при оценке неврологического статуса на всех этапах оказания специализированной помощи использовать шкалу комы Глазго с учетом возрастных особенностей для определения тяжести состояния пострадавшего ребенка (Приложения Г1, Г2) [35].

Уровень убедительности рекомендаций С (Уровень достоверности доказательств - 4)
 

  • Рекомендуется всем пациентам с нарушением сознания дополнительно использовать шкалу FOUR (приложение Г8) и Питтсбургскую шкалу повреждения ствола мозга (Приложение Г9) для уточнения неврологического статуса и тяжести повреждения [117]

Уровень убедительности рекомендаций С (Уровень достоверности доказательств - 4)
 

  • Рекомендовано всем пациентам с нарушением сознания как можно раньше начать проведение мониторинга артериального давления на периферических артериях, измерение частоты сердцебиения, частоты дыхания для контроля за состоянием пострадавшего [35, 106].

Уровень убедительности рекомендаций С (Уровень достоверности доказательств - 4)

Комментарии: Оценка общего состояния пациента включает в себя оценку уровня бодрствования (ШКГ), состояния дыхательных путей и характера дыхания (свободное, затрудненное, поверхностное, патологическое, ритмичное, наличие или отсутствие пневмо-гемоторакса) и оценку состояния сердечно-сосудистой системы (характер пульса на сонной и лучевой артерии (при отсутствии пульса на лучевой и наличие его на сонной систолическое давление в пределах 50-70 мм. рт. столба), тоны сердца, ЧСС, АД), оценку уровня бодрствования.


На догоспитальном этапе, особенно у пациентов, находящихся в коматозном состоянии, важно оценить состояние стволовых функций, в структуре которых принципиальное значение имеет состояние зрачков (патология: ассимметрия зрачков (анизокория), фиксированое двустороннее расширение зрачков (мидриаз), отсутствие реакции на яркий свет).


Угнетение уровня бодрствования менее 9 баллов по ШКГ, симметричное или асимметричное увеличение диаметра зрачков (анизокория) с нарушением их реакции на свет, симметричное или асимметричное повышение мышечного тонуса вплоть до децеребрационной ригидности, нестабильность артериального давления, брадикардия, свидетельствуют о тяжелом и крайне тяжелом состоянии пострадавшего и развитии дислокационного синдрома.


Мониторинг состояния витальных функций продолжают в машине. Наряду с оценкой сердечно-сосудистой и дыхательной систем, обращают особое внимание на динамику нарушения сознания, состояния зрачков, наличие и прогрессирование двигательных нарушений (парезы и параличи) и мышечного тонуса для выявления возможного нарастания дислокационного синдрома


1. Жалобы и анамнез
 

  • При сборе анамнеза рекомендовано определить механизм, место и время травмы для уточнения характера и тяжести повреждения. При сборе анамнеза важно учитывать особенности психомоторного развития ребенка. В связи с тем, что пациент с тяжелой ЧМТ находится в коматозном состоянии выяснение анамнеза и обстоятельств травмы необходимо при возможности проводить у родственников или сопровождающих лиц [36].

Уровень убедительности рекомендаций С (Уровень достоверности доказательств - 4)

 

2. Физикальное обследование
 

  • Рекомендуется осмотр врача-нейрохирурга (либо специалиста, оказывающего неотложную помощь) детям, получившим травму головы, либо имеющим подозрение на травму мозга для оказания неотложной специализированной помощи [1,9,10].

Уровень убедительности рекомендаций С (Уровень достоверности доказательств - 5)
 

  • Рекомендуется консультация пострадавших детей в условиях специализированного стационара для исключения внутричерепных гематом и других повреждений, представляющих угрозу для жизни [1,9,10]

Уровень убедительности рекомендаций С (Уровень достоверности доказательств - 5)
 

  • Настоятельно рекомендован тщательный общий осмотр пациента с тяжелой ЧМТ, включая внешний осмотр, пальпацию позвоночника, грудной клетки и ребер, живота, лицевого скелета для исключения сочетанных повреждений. Обязателен поиск внечерепных повреждений, поскольку любая ЧМТ может оказаться сочетанной [37-39].

Уровень убедительности рекомендаций С (Уровень достоверности доказательств - 4)

Комментарии: При первичной оценке состояния пациента с тяжелой ЧМТ необходимо установить ее характер (закрытая/открытая; проникающая/непроникающая; изолированная/сочетанная/комбинированная) и субстрат повреждения (ДАП/очаги ушибов/оболочечные гематомы; повреждения костных структур; наличие или отсутствие субарахноидального кровоизлияния; а также подробно описать повреждение мягких тканей и экстракраниальных структур (грудная/брюшная полость; шейный отдел позвоночника; скелетная травма, таз).

 

  • Рекомендуется использовать шкалу ISS (InjurySeverityScore) (Приложение Г10) для оценки тяжести сочетанных повреждений у пациентов с тяжелой сочетанной черепно-мозговой травмой [107]

Уровень убедительности рекомендаций С (Уровень достоверности доказательств - 5)

Комментарии: При оценке неврологического статуса учитывается влияние медикаментозной седации. Особое внимание уделяется пациентам (дети, подростки) в состоянии алкогольного опьянения, у которых при легкой ЧМТ могут наблюдаться очаговые неврологические симптомы. Проводится отдельная оценка очаговых, общемозговых, менингеальных и стволовых симптомов поражения.


При оценке стволовых рефлексов у пациентов в бессознательном состоянии проводится следующий алгоритм:

1) оценка реакции на болевое раздражение (открывает-не открывает глаза, локализует/не локализует боль/сгибательная/разгибательная реакция/отсутствие реакции);

2) оценка фотореакции, наличие анизокории, размеры зрачков,

3) оценка роговичных рефлексов,

4) оценка окулоцефалических и окуловестибулярных рефлексов (противопоказано при травме шейного отдела позвоночника),

5) оценка кашлевого рефлекса (при санации трахеи)


3. Лабораторные диагностические исследования
 

  • Всем пациентам с тяжелой ЧМТ при поступлении рекомендовано провести:

    1) общий (клинический) анализ крови с подсчетом уровня тромбоцитов проводится для выявления состояния [40]:

Уровень убедительности рекомендаций С (Уровень достоверности доказательств - 4)

  • 2) анализ крови биохимический общетерапевтический, коагулограмма (ориентировочное исследование системы гемостаза), общий (клинический) анализ мочи для оценки состояния внутренних органов (печени, почек, поджелудочной железы, желчного пузыря и др.), выявления/исключения активного воспалительного процесса, а также нарушений водно-солевого обмена [141, 142]

Уровень убедительности рекомендаций С (Уровень достоверности доказательств - 4)

  • 3) коагулограмма (ориентировочное исследование системы гемостаза) для выявления состояния [41,42]

Уровень убедительности рекомендаций С (Уровень достоверности доказательств - 4)

  • 4) исследование кислотно-основного состояния и газов крови для выявления состояния [43]

Уровень убедительности рекомендаций В (Уровень достоверности доказательств - 3)


4. Инструментальные диагностические исследования
 

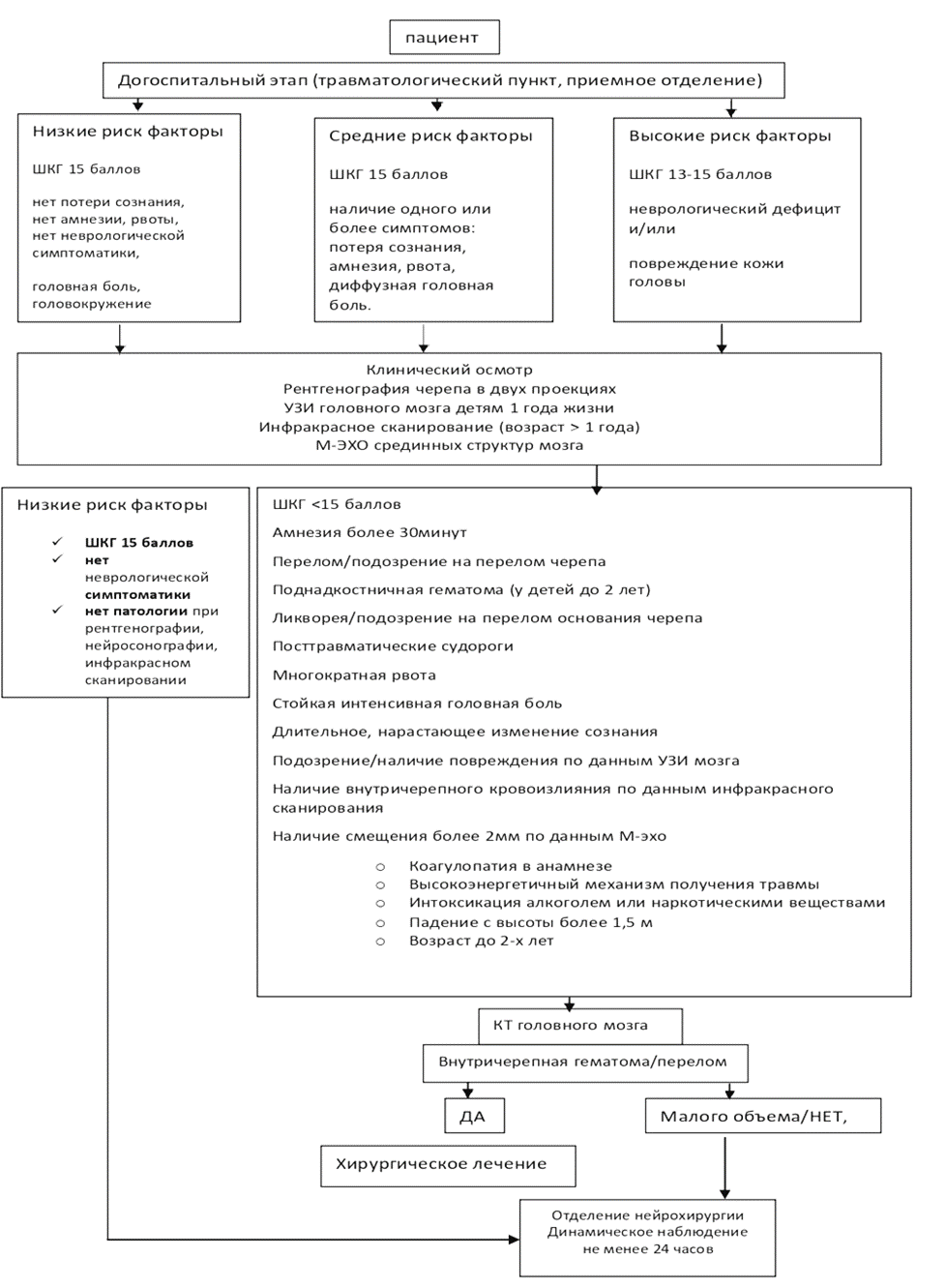
  • Рекомендуется компьютерная томография головного мозга (А06.23.004 номенклатура МУ) пострадавшим со среднетяжелой (ШКГ 12-9 баллов) и тяжелой ЧМТ (ШКГ 8-3 балла) как метод первого выбора в диагностике травматических повреждений головного мозга в условиях неотложной специализированной помощи, который позволяет объективно быстро оценить внутричерепную ситуацию. Показания к проведению КТ при травме головы с уровнем бодрствования 15-13 баллов ШКГ (легкая черепно-мозговая травма) основаны на наличии риск-факторов внутричерепных повреждений [14, 44, 143].

Уровень убедительности рекомендаций В (Уровень достоверности доказательств - 2)

Комментарии:

Высокие риск-факторы внутричерепных повреждений

  1. ШКГ менее 15 баллов

  2. снижение ШКГ на 2 балла в течение клинического мониторинга

  3. амнезия более 30 минут

  4. очаговая неврологическая симптоматика

  5. диагностированный перелом черепа или подозрение на перелом

  6. наличие обширной гематомы волосистой части головы (у детей до 2-х лет)

  7. подозрение на открытую черепно-мозговую травму (профузное кровотечение/подозрение на ликворею из носоглотки, ушей, симптом «очков», кровоподтек в области сосцевидного отростка)

  8. посттравматические судороги

  9. утрата сознания после травмы

  10. многократная рвота при отсутствии других причин

  11. интенсивная головная боль после травмы, общее беспокойство, изменение поведения

  12. травма черепа у пациентов, страдающих коагулопатией

  13. нейрохирургическая патология в анамнезе

  14. интоксикация алкоголем или другими веществами, угнетающими ЦНС

  15. падение с высоты

  16. возраст до 2 лет

  17. высоко-энергетичный механизм травмы

Данные КТ позволяют объективизировать объем повреждений и могут рассматриваться как предикторы исхода.


Неблагоприятные исходы коррелируют с нарастанием диффузной формы повреждения головного мозга от I до IV по КТ классификации Marshall (Приложение Г4), наличием крови в базальных цистернах, наличием внутричерепных гематом и очагов ушиба мозга, создающих масс-эффект. Сдавление или отсутствие базальных цистерн на КТ является высоким фактором риска внутричерепной гипертензии [3,7,10,11,18].


При подозрении на краниовертебральную травму, перелом шейного отдела позвоночника (согласно Канадским критериям высокого риска повреждения ШОП) для детской популяции пострадавших рекомендована спиральная компьютерная томография шеи с внутривенным болюсным контрастированием;
 

  • Рекомендована рентгенография шейного отдела позвоночника в 2 проекциях при невозможности проведения компьютерной томографии шеи с внутривенным болюсным контрастированием и компьютерной томографии позвоночника (один отдел) [45].

Уровень убедительности рекомендаций С (Уровень достоверности доказательств - 5)

Комментарии:

Канадские критерии высокого риска повреждения (ШОП):

1) Падение с высоты более 1 м

2) После аксиальной нагрузки на голову (ныряние)

3) После ДТП с высокой скоростью, при мотоциклетной травме или травме на самоходных аппаратах (скутер)

4) При наличии парестезий в конечностях

5) Дополнительно: лица в бессознательном состоянии с неизвестным анамнезом.
 

  • Рекомендовано направить на КТ головного мозга пострадавшего ребенка для исключения внутричерепных повреждений при наличии переломов и подозрении на перелом костей свода черепа на краниограммах [46]

Уровень убедительности рекомендаций С (Уровень достоверности доказательств - 5)
 

  • Рекомендована рентгенография всего черепа, в 2-х проекциях всем пострадавшим с уровнем сознания 15-14 баллов ШКГ при подозрении на ЧМТ, подозрении на перелом основания и свода черепа, неясный анамнез травмы [9,14, 46]

Уровень убедительности рекомендаций С (Уровень достоверности доказательств - 5)
 

  • Компьютерно-томографический мониторинг головного мозга (повторное исследование) рекомендован пострадавшим детям при нарастании неврологических нарушений, нарастании внутричерепной гипертензии/при рефрактерной внутричерепной гипертензии, при отсутствии возможности оценить неврологический статус (длительная седация, релаксация) [47, 108, 109]

Уровень убедительности рекомендаций С (Уровень достоверности доказательств - 4)
 

  • Всем пациентам с тяжелой ЧМТ (ШКГ 3-8 Б.) при поступлении рекомендовано провести регистрацию электрокардиограммы для оценки состояния функции сердца [48]

Уровень убедительности рекомендаций С (Уровень достоверности доказательств - 4)
 

  • Всем пациентам с тяжелой ЧМТ при поступлении для исключения сочетанных повреждений рекомендована спиральная компьютерная томография легких или рентгенография легких [144]

Уровень убедительности рекомендаций С (Уровень достоверности доказательств - 4)
 

  • Всем пациентам с тяжелой ЧМТ при поступлении рекомендовано КТ органов брюшной полости или УЗИ органов брюшной полости (комплексное) для исключения сочетанных повреждений [49, 51, 115]

Уровень убедительности рекомендаций С (Уровень достоверности доказательств - 4)
 

  • Рекомендуется лазерная спектрофотометрия головного мозга (БИКС, инфракрасное сканирование головного мозга) (А12.30.006 номенклатура МУ), как дополнительный к неврологическому осмотру, аппаратный метод обследования всем пострадавшим с уровнем сознания 15-14 баллов ШКГ с подозрением на ЧМТ, при оказании первичной медико-санитарной помощи, специализированной медицинской помощи, скорой медицинской помощи с целью исключения внутричерепных кровоизлияний (гематом) [16, 27, 29].

Уровень убедительности рекомендаций В (Уровень достоверности доказательств - 2)

Комментарии: При необходимости БИКС (инфракрасное сканирование головного мозга) проводится в динамике через каждые 20 минут.

Легкая ЧМТ занимает 90% от всех травм головы. КТ исследование проводят только 25% пациентам, а 75% пострадавших детей остаются без аппаратного обследования. Визуальная диагностика кровоизлияния в мозг при легкой ЧМТ (ШКГ 14-15 балла) у детей затруднительна, а иногда невозможна, т.к. для детей характерно «атипичное» течение и отсутствие клинических проявлений. Поздняя диагностика кровоизлияния в мозг как правило приводит к осложнениям, длительному лечению, длительной реабилитации, летальному исходу.
 

  • При отсутствии возможности проведения КТ/МРТ для детей 1 года жизни рекомендована нейросонография для исключения внутричерепных повреждений, представляющих угрозу для жизни, в том числе и с целью клинико-сонографического мониторинга [1, 52].

Уровень убедительности рекомендаций С (Уровень достоверности доказательств - 5)
 

  • Рекомендуется проведение МРТ головного мозга для детской категории пострадавших (0-18 лет) как следующая опция для уточнения объема и характера повреждения в случаях диффузно-аксонального повреждения и ушибов мозга при доступности исследования [53, 54]

Уровень убедительности рекомендаций В (Уровень достоверности доказательств - 3)

Комментарии: Показанием к проведению МРТ у детей может быть сам факт ЧМТ, сопровождающийся появлением очаговой неврологической симптоматики.

Результаты МРТ исследования могут быть использованы в прогнозе исходов ЧМТ у детей.


Объем исследования диктуется тяжестью состояния пострадавшего ребенка. Методика МРТ является компромиссом между максимально возможным качеством изображения, полноты и достоверности информации о состоянии исследуемой зоны с одной стороны и минимальным суммарным временем исследования. Это обусловлено низкой толерантностью больного с болевым синдромом или травматическим шоком, необходимостью многоплоскостного исследования из-за сложной конфигурации патологического процесса, необходимостью получения многопараметрических характеристик травматических повреждений. Возможно сокращения продолжительности протокола исследования до 5-10 минут за счет увеличения значений параметра фактора ускорения, изменения времени релаксации, размеров вокселя или матрицы, снижения значений параметра сигнал\шум.


Основной протокол МРТ головного мозга при ЧМТ (Приложения Г5, Г6):

ориентировочные быстрые программы для получения срезов головного мозга в сагиттальной, аксиальной и фронтальной плоскостях;

аксиальная проекция Т2ВИ TSE, толщина среза 3-4 мм, число срезов до 31;

аксиальная проекция Т2ВИFLAIR, толщина среза 3-4 мм, число срезов до 31;

T2*ВИ GE = SWI (чаще 3D в основной аксиальной проекции)

сагиттальная проекция Т2ВИ FLAIR, толщина среза 3-4 мм, число срезов 27;

фронтальная проекция Т1ВИ FLAIR или Т1ВИ GE, толщина среза 3 мм;

3D ДВИ в основной аксиальной проекции


При анализе данных МРТ у пациентов ЧМТ, кроме визуальной оценки состояния головного мозга по изменению сигнальной характеристики мозговой ткани, для объективизации наличия или отсутствия объемных нарушений проводится ряд измерений. Измеряются следующие показатели: смещение срединных структур, объемы очагов ушибов и гематом, желудочков, степень деформации цистерн, линейные размеры.


Смещение срединных структур измеряется на уровне прозрачной перегородки. Площади вычисляются путем обвода контуров интересующей зоны. Объем определяется по формуле для вычисления объема эллипсоида:

V=1/6∙π∙A∙B∙C

где V – объем ушиба или гематомы, А, B, C – его основные диаметры.


При анализе ликворных пространств особое внимание необходимо уделять визуализации цистерн: охватывающей, базальной, боковых, поперечной, четверохолмной, мостовых, цистерны вены Галена и червя мозжечка.


Для суждения о степени деформации охватывающей цистерны оценивается ее конфигурация, соотношение с другими близлежащими образованиями мозга, ширина ее просвета и угол, образованный при пересечении плоскостей ее латеральных углов (в норме он варьирует от 90° до 105°).


5. Иные диагностические исследования
 

  • Общий (клинический) анализ спинномозговой жидкости рекомендовано проводить детям (0-18 лет) при подозрении на развивающиеся интракраниальные гнойно-воспалительные осложнения. Поясничную пункцию рекомендовано осуществлять при отсутствии клинических и КТ признаков дислокационного синдрома, сохраненной проходимости ликворопроводящих путей во избежание развития и нарастания процессов вклинения и дислокации головного мозга [145, 146]

Уровень убедительности рекомендаций С (Уровень достоверности доказательств - 5)

Лечение


Лечение, включая медикаментозную и немедикаментозную терапии, диетотерапию, обезболивание, медицинские показания и противопоказания к применению методов лечения

Задержка в оказании помощи, развитие вторичных повреждений мозга, неполноценное обследование, неквалифицированная хирургическая помощь и неадекватная интенсивная терапия являются основными причинами летальных исходов и инвалидизации пациента.


1. Консервативное лечение


1.1. Догоспитальный этап

Догоспитальный этап или этап первой медицинской помощи для пострадавших с тяжелой черепно-мозговой травмой является одним из наиболее важных и уязвимых. Эффективность оказанной помощи зависит от временного фактора и оптимального объема оказанной помощи, в связи с чем мы сочли необходимым включить этот раздел в данные рекомендации.


Основные задачи догоспитального этапа у детей с ЧМТ – оценка тяжести повреждения и тяжести общего состояния, определение и предоставление первоочередных потребностей пострадавшему ребенку с максимально скорой транспортировкой пострадавшего в специализированный стационар, располагающий соответствующими диагностическими и лечебными возможностями [5, 9,18, 19].


Для пострадавших детей с тяжелой ЧМТ (ШКГ 3-8 баллов) принципиальное значение имеет восстановление, поддержание витальных функций и профилактика вторичных повреждений мозга. При необходимости реанимационные мероприятия должны быть максимально приближены к месту получения травмы [1-3,5,10,17,18].


Специалистам скорой помощи следует иметь четкие представления об основных патогенетических звеньях формирования «травматической болезни» головного мозга.


Документация, заполняемая на догоспитальном этапе, должна отражать предварительный диагноз, состояние гемодинамики, динамику за время наблюдения, объем неотложной помощи на месте происшествия и в процессе транспортировки [5,10].


1.1.1. Первичный осмотр пациента
 

  • Рекомендуется перемещение пострадавшего на носилки и в машину скорой помощи при стабильной фиксации шейного отдела позвоночника. Противопоказанием к перемещению в машину скорой помощи является остановка дыхания и сердечной деятельности, жизнеугрожающее наружное кровотечение [5,7, 9, 11,19, 55, 56]

Уровень убедительности рекомендаций С (Уровень достоверности доказательств - 5)

Комментарии:

Инородные тела и костные отломки из полости черепа в случае проникающего ранения не извлекают.
 

  • Для перемещения пострадавшего рекомендовано применение вакуумного матраса, позволяющего фиксировать весь опорно-двигательный аппарат. При отсутствии вакуумного матраса накладывают фиксирующий шейный воротник и иммобилизирующие травмированную конечность шины (при сочетанной травме) [56, 57].

Уровень убедительности рекомендаций С (Уровень достоверности доказательств - 5)
 

  • Рекомендуется произвести предварительное обезболивание у пациентов с сочетанной травмой перед перемещением в реанимобиль. Вводят опиоидные анальгетики (при травме, сопровождающейся выраженным болевым синдромом – фентанил** 0,005% раствор (код АТХ N01AH) в возрастной дозировке (1-2 мкг\кг). Противопоказан до 1 года) [9,11,18, 58, 150].

Уровень убедительности рекомендаций С (Уровень достоверности доказательств - 4)


1.1.2. Восстановление оксигенации на догоспитальном этапе

Обеспечивается проходимость дыхательных путей. При необходимости санируется рото/носоглотка и устанавливается воздуховод. При признаках дыхательной недостаточности на фоне самостоятельного дыхания обеспечивается дыхание через кислородную маску. Адекватность оценивается по клиническим данным и показателям мониторинга.
 

  • Рекомендуется на догоспитальном этапе интубацию трахеи пострадавшим с нарушением сознания до уровня комы I (менее 9 баллов по ШКГ) проводить только врачом-анестезиологом-реаниматологом или обученным врачом скорой помощи [3,7, 9,11,18,20,59].

Уровень убедительности рекомендаций В (Уровень достоверности доказательств - 2)

Комментарии:

Не допускать эпизодов гипоксии.
 

  • Рекомендуется у детей выполнять интубацию трахеи после введения атропина** (код АТХ А03ВА01 (алкалоиды белладонны, третичные амины)) 0,01% раствора из расчета 0,1 мл/год жизни ребенка и предварительной обработки слизистых ротоглотки и интубационной трубки раствором местного анестетика (10% раствор лидокаина** (код АТХ D04AB (местноанестезирующие препараты)) (в виде спрея) в условиях фиксированного шейного отдела. Целесообразно использовать Снотворные и седативные средства N05C (код АТХ N05C) – мидазолам**(производные бензодиазепина) и мышечные релаксанты (код АТХ М03АС (Миорелаксанты периферического действия) [110, 111, 118, 119]

Уровень убедительности рекомендаций С (Уровень достоверности доказательств - 5)
 

  • При невозможности выполнения интубации пострадавшим детям (0-18 лет) с нарушением сознания до уровня комы I (менее 9 баллов по ШКГ) рекомендована коникотомия (A16.08.022) [60]

Уровень убедительности рекомендаций С (Уровень достоверности доказательств - 5)
 

  • Рекомендуется у детей при наличии напряженного пневмо-гемоторакса пункция плевральной полости [11].

Уровень убедительности рекомендаций С (Уровень достоверности доказательств - 5)
 

  • Рекомендуется для всей детской популяции (0-18 лет) с нарушением сознания до уровня комы I (менее 9 баллов по ШКГ) ИВЛ с ЧД 20 в 1 мин для детей старше 1 года и 30 в 1 мин для детей младше 1 года. Адекватность ИВЛ оценивается по клиническим данным и показателям мониторинга [11].

Уровень убедительности рекомендаций С (Уровень достоверности доказательств - 5)


1.1.3. Коррекция артериальной гипотензии на догоспитальном этапе

У детей гипотензия определятся как систолическое кровяное давление ниже пятой процентили (5 percentile) возрастной нормы (приложение 3). Нижняя граница систолического кровяного давления (пятый процентиль) возрастной нормы может быть рассчитана по формуле: 70мм рт.ст. + (2 Х возраст в годах) (2).
 

  • Рекомендуется для детской категории пострадавших (0-18 лет) диагностировать и устранить гипотензию как можно быстрее путём восстановления объёма циркулирующей жидкости [3,7, 9,11,14, 18,20, 61, 62].

Уровень убедительности рекомендаций С (Уровень достоверности доказательств - 4)
 

  • Рекомендуется применять симпатомиметики (код АТХ R01ВA) при снижении атериального давления детям с ТЧМТ в условиях нормоволемии [11, 120].

Уровень убедительности рекомендаций С (Уровень достоверности доказательств - 5)
 

  • Рекомендуется для детской категории пострадавших (0-18 лет) при наличии гипотензии рекомендовано оценить наличие экстракраниальных повреждений (исключить шокогенную травму) [63].

Уровень убедительности рекомендаций С (Уровень достоверности доказательств - 4)
 

  • Рекомендуется для для детской категории пострадавших (0-18 лет) с тяжелой ЧМТ как можно раньше осуществлять венозный доступ. При недоступности периферических вен используют внутрикостный доступ к сосудистому руслу [11]

Уровень убедительности рекомендаций С (Уровень достоверности доказательств - 5)
 

  • Брадиаритмия, остановка сердца являются основанием к началу сердечной реанимации. Рекомендуется для детской категории пострадавших (0-18 лет) для искусственного поддержания кровообращения закрытый массаж сердца. Основной препарат, применяемый при сердечной реанимации – эпинефрин** код АТХ C01CA24. При отсутствии доступа к сосудистому руслу возможно эндотрахеальное введение препаратов или однократно в корень языка [11]

Уровень убедительности рекомендаций С (Уровень достоверности доказательств - 5)


1.1.4. Медикаментозное лечение
 

  • Рекомендуется для детской категории пострадавших (0-18 лет) использовать растворы, влияющие на водно-электролитный баланс для восстановления и поддержания водно-электролитного баланса код АТХ В05ВВ, натрия хлорид** (B05XA) в дозе не более 15 мл/кг. Скорость введения – 60-120 капель в 1 минуту под контролем АД и ЧСС [11,18]

Уровень убедительности рекомендаций С (Уровень достоверности доказательств - 5)
 

  • Рекомендуются для детской категории пострадавших (0-18 лет) для восстановления гемодинамики при развитии или нарастании гемодинамической нестабильности со снижением АД на фоне проводимой инфузионной терапии параллельно Адренергические и дофаминергические средства (допамин** (код АТХ C01CA04) 4% 3-5 мкг/кг в минуту, при необходимости дозу увеличивают до 10 мкг/кг и более в 1 минуту; а при неэффективности – в комбинации с эпинефрином** (код АТХ C01CA24) возрастной дозе [9,11,120].

Уровень убедительности рекомендаций С (Уровень достоверности доказательств - 5)
 

  • Рекомендуются для детской категории пострадавших (0-18 лет) глюкокортикоиды – преднизолон** (код АТХ H02AB (Глюкокортикоиды))

    Цель введения – противошоковое действие, обусловленое стимулирующим влиянием на сократимость сердца и способностью повышать артериальное давление [11, 116].

Уровень убедительности рекомендаций В (Уровень достоверности доказательств - 2)


1.1.5. Условия транспортировки
 

  • Рекомендуется для своевременного выявления нарушений жизненно важных функций аппаратный мониторинг жизненно-важных функций ИВЛ под контролем пульсоксиметрии и капнометрии для детской категории пострадавших (0-18 лет) [11,31]

Уровень убедительности рекомендаций С (Уровень достоверности доказательств - 5)

Комментарии:

Инфузионная терапия, направленная на поддержание систолического АД на верхних границах возрастной нормы.
 

  • Рекомендуется для детской категории пострадавших (0-18 лет) с целью предотвращения развития вторичных повреждений мозга седация и релаксация производными бензодиазепина (коды АТХ N05BA и N05CD соответственно): диазепам** (N05BA01), мидазолам** (N05CD08) в соответствии с инструкцией [18]

Уровень убедительности рекомендаций С (Уровень достоверности доказательств - 5)
 

  • Рекомендуется для детской категории пострадавших (0-18 лет) приподнимать на 30° головной конец носилок (при отсутствии артериальной гипотензии) для обеспечения адекватного венозного оттока из полости черепа [17, 18]

Уровень убедительности рекомендаций С (Уровень достоверности доказательств - 5)
 

  • Рекомендуется для детской категории пострадавших (0-18 лет) нормовентиляция – оптимальный вариант (etCO2=37-39 мм рт.ст.) при отсутствии гипотензии или гипоксемии. Умеренная гипервентиляция (etCO2=32-36 мм рт.ст.) допустима только при отсутствии клинических признаков развития дислокационного синдрома. [11,18,19,31]

Уровень убедительности рекомендаций С (Уровень достоверности доказательств - 5)
 

  • Не рекомендуется для детской категории пострадавших (0-18 лет) применение маннитола** (код АТХ B05BC (растворы с осмодиуретическим действием)) (для профилактики отека и дислокации головного мозга [18, 20, 121].

Уровень убедительности рекомендаций С (Уровень достоверности доказательств - 5)
 

  • Рекомендуется для детской категории пострадавших (0-18 лет) введение #маннитола** (B05BC01) при наличии клинических признаков развития дислокационного синдрома в дозе 0,25 г/кг массы тела пострадавшего [3,7, 9,11,18,20,112, 121].

Уровень убедительности рекомендаций С (Уровень достоверности доказательств - 5)
 

  • Не рекомендуется для детской категории пострадавших (0-18 лет) проводить ИВЛ в режиме гипервентиляции (CO2 <30 мм рт.ст.) [3,7, 9,11,14, 18,20,23].

Уровень убедительности рекомендаций С (Уровень достоверности доказательств - 5)


1.2. Специализированный стационар

Оптимальной по срокам является госпитализация пациента в течение первого часа после травмы с оповещением принимающего лечебного учреждения.


Лечение детей с тяжелой изолированной и сочетанной ЧМТ проводится в специализированном стационаре. Специализированным стационаром является многопрофильный педиатрический стационар с круглосуточным КТ, лабораторно-диагностической, реанимационной, хирургической, травматологической и нейрохирургической службами [1, 9,10].


Транспортировка/перевод в специализированный стационар проводится в следующих случаях [9-11,14, 18]:

  1. ШКГ <14 баллов,

  2. Открытая ЧМТ

  3. Падение с высоты более 2 метров

  4. Высокоэнергетичный механизм получения травмы

  5. Длительная эвакуация пострадавшего (более 20 минут) из завалов, машин и т.д.

  6. Возраст менее 5 лет
     

  • Рекомендуется осмотр врача-нейрохирурга (либо специалиста, оказывающего неотложную помощь) детям, получившим травму головы, либо имеющим подозрение на травму мозга. Проводится консультация в условиях специализированного стационара для исключения внутричерепных гематом и других повреждений, представляющих угрозу для жизни [1,9,10]

Уровень убедительности рекомендаций С (Уровень достоверности доказательств - 5)
 

  • Рекомендуется обязательная госпитализация пострадавшего ребенка в следующих случаях [11]:

    1. потеря сознания или сомнения на этот счет;

    2. стойкое изменение сознания;

    3. наличие очаговой неврологической симптоматики;

    4. посттравматические судороги;

    5. подозрение на линейный или вдавленный перелом черепа;

    6. подозрение на перелом основания черепа и ликворею.

Уровень убедительности рекомендаций С (Уровень достоверности доказательств - 5)
 

  • Рекомендуется госпитализация и наблюдение за пациентом с диагнозом легкая черепно-мозговая травма (сотрясение головного мозга) длительностью не менее 24 часов (до полного регресса общемозговых симптомов). Цель госпитализации и обследования – исключить более тяжелое повреждение [10]. Смертность при ЛЧМТ низкая (0,04-0,29%) и вызвана внутричерепными гематомами [12].

Уровень убедительности рекомендаций С (Уровень достоверности доказательств - 5)
 

  • Рекомендуется для детской категории пострадавших (0-18 лет) при легкой черепно-мозговой травме посиндромная терапия. В большинстве случаев назначаются ненаркотические анальгетики (для снятия головной боли), снотворные и седативные средства (N05C) (для уменьшения тревожности и возбудимости и при нарушениях сна) [11].

Уровень убедительности рекомендаций С (Уровень достоверности доказательств - 5)
 

  • Рекомендуется детям после легкой черепно-мозговой травмой находиться под наблюдением детского врача невролога в течение 3-х месяцев. Необходимость реабилитации возникает только в случае осложненного течения травмы, при наличии коморбидной патологии, усугубляющей проявления органического поражения головного мозга [76].

Уровень убедительности рекомендаций С (Уровень достоверности доказательств - 5)
 

  • Рекомендуется детям с тяжелой черепно-мозговой травмой лечиться в педиатрических специализированных многопрофильных стационарах, либо при отсутствии таковых во взрослом многопрофильном стационаре, в котором имеется необходимое оборудование и медицинский персонал, подготовленный для оказания неотложной специализированной помощи детям (педиатрическая служба). [10-11, 18]

Уровень убедительности рекомендаций С (Уровень достоверности доказательств - 5)
 

  • Рекомендуется госпитализация пострадавших детей, имеющих нарушения витальных функций, нестабильность гемодинамики, судороги, повреждения грудной клетки, открытые переломы конечностей, нестабильные переломы таза, с уровнем бодрствования ШКГ <13 через противошоковую палату для продолжения/начала реанимационных мероприятий и одновременной максимально скорой диагностики повреждений. [9- 11, 15,17,19]

Уровень убедительности рекомендаций С (Уровень достоверности доказательств - 5)

Комментарии:

Основная цель госпитализации – максимально быстрая диагностика повреждений и устранение основного патофизиологического механизма, представляющего угрозу для жизни.


Проводят оценку общей тяжести состояния пациента и тяжести повреждения мозга с привлечением всех необходимых специалистов (врач-анестезиолог-реаниматолог, врач-травматолог, врач-хирург и др.), объединенных единой лечебно-диагностической программой, предполагающей преемственность и последовательность лечебного процесса.


Проводится мониторинг неврологического статуса с целью контроля состояния стволовых функций - повторно оценивается уровень бодрствования (шкала комы Глазго), оценивается состояние зрачков (патология: асимметрия зрачков в один и более мм (анизокория), фиксированное двустороннее расширение зрачков (мидриаз), отсутствие реакции на яркий свет).


1.2.1. Мониторинг жизненно-важных функций
 

  • Рекомендуется мониторинг жизненно-важных функций пациентам с тяжелой ЧМТ (ШКГ меньше 9 баллов). Цель мониторинга: контроль за состоянием жизненно-важных функций, поддержание физиологического коридора, профилактика развития вторичных повреждений мозга [3,5,9-11,17–20].

Уровень убедительности рекомендаций С (Уровень достоверности доказательств - 5)
 

  • Рекомендуется нейромониторинг для пострадавших детей с ЧМТ (0-18 лет), включающий в себя клинический мониторинг (динамический контроль уровня бодрствования по ШКГ и контроль за состоянием зрачковых реакций), контроль гемодинамики (предпочтение отдается инвазивному измерению артериального давления), дыхания, внутричерепного давления, церебрального перфузионного давления, лабораторный и КТ-мониторинг [113].

Уровень убедительности рекомендаций В (Уровень достоверности доказательств - 3)
 

  • Рекомендован мониторинг ВЧД детям с тяжелой ЧМТ (ШКГ 3-8 баллов) [11,17-19,23].

Уровень убедительности рекомендаций С (Уровень достоверности доказательств - 5)
 

  • Рекомендуется данный диагностический комплекс для пострадавших детей с ЧМТ (0-18 лет) расширить за счет ультразвукового исследования сосудов мозга, мониторинга центрального венозного давления, определения кислотно-основного состояния артериальной и венозной крови, проведения тканевого микродиализа [3].

Уровень убедительности рекомендаций С (Уровень достоверности доказательств - 5)


1.2.1 Мониторинг дыхания
 

  • Интубация трахеи с возможной последующей ИВЛ рекомендуется пострадавшим с нарушением сознания до уровня комы I (менее 8 баллов по ШКГ) [3,7, 9,11,18,20].

Уровень убедительности рекомендаций С (Уровень достоверности доказательств - 5)
 

  • Рекомендуется при проведении ИВЛ пострадавшим детям с ЧМТ (0-18 лет) избегать гипервентиляции и связанной с ней гипокапнии (РаС02 <30 мм рт. ст.) [3,7, 9,11,18,20].

Уровень убедительности рекомендаций С (Уровень достоверности доказательств - 5)
 

  • Рекомендуется пострадавшим детям с ЧМТ (0-18 лет) при использовании мониторинга оксигенации мозговой ткани (Pbr02) поддерживать уровень выше 10 мм рт столба [3,7, 9,11,18,20].

Уровень убедительности рекомендаций С (Уровень достоверности доказательств - 5)

Комментарии:

У детей с ЧМТ ≤8 (по ШКГ) необходимо контролировать состояние воздухоносных путей, для предотвращения гипоксемии, гиперкапнии и аспирации. Оксигенация и вентиляция должны оцениваться постоянно с помощью пульсоксиметрии и мониторинга СО2 (капнография с определением конечно-выдыхаемой концентрации СО2), и/или путём динамического исследования газов крови и исследования кислотно-основного состояния крови [14, 15,17–19].


При утрате сознания до уровня комы (менее 8 баллов по ШКГ) больного необходимо интубировать и при неэффективном самостоятельном дыхании через эндотрахеальную трубку проводить искусственную вентиляцию легких (ИВЛ). Для предупреждения эпизодов десинхронизации пациента с респиратором при проведении ИВЛ, вызывающих резкое повышение ВЧД, необходим подбор режимов вентиляции или введение миорелаксантов недеполяризующего типа действия и седативных средств. Необходимо поддерживать конечно-выдыхаемую концентрацию СО2 или РаС02 в пределах 36-40 мм рт. ст. Для предотвращения церебральной гипоксии все манипуляции, связанные с разгерметизацией контура аппарата ИВЛ, должны сопровождаться пре- и постоксигенацией 100% кислородом.


Кратковременная гипервентиляция может быть использована в случае резкого ухудшения неврологического статуса (угроза развития дислокационного синдрома) и нарастания внутричерепной гипертензии при отсутствии эффекта от применения седации, миорелаксации, выведения ликвора из желудочков мозга и применение осмотических диуретиков.


1.2.3.Мониторинг гемодинамики
 

  • Не рекомендуется допускать эпизодов падения артериального давления пострадавшим детям с ЧМТ (0-18 лет) с целью профилактики развития вторичных инсультов [3,7, 9,11,17,19,20].

Уровень убедительности рекомендаций С (Уровень достоверности доказательств - 5)

Комментарии:

Артериальная гипотензия корригируется путём восстановления объема циркулирующей жидкости. У детей гипотензия определятся как систолическое кровяное давление ниже пятой процентили (5 percentile) возрастной нормы или при клинических признаках шока. Нижняя граница систолического кровяного давления (пятый процентиль) возрастной нормы может быть рассчитана по формуле: 70 мм рт.ст. + (2 Х возраст в годах) При необходимости используют вазопрессорную и инотропную поддержку.
 

  • Рекомендуется у детей с тяжелой черепно-мозговой травмой поддерживать церебральное перфузионное давление (ЦПД) >40 мм рт.ст. (ТЧМТ) [9,15- 18,24]. Предлагается целевое значение ЦПД между 40 и 50 мм рт. столба. Пороговые значения могут зависеть от возрастного диапазона (младенцы-подростки)

Уровень убедительности рекомендаций С (Уровень достоверности доказательств - 5)

Комментарии:

Церебральное перфузионное давление (ЦПД) – это разница между средним артериальным давлением и ВЧД – градиент давления, определяющий мозговой кровоток.

Церебральное перфузионное давление в пределах 40-65 мм рт.ст. (в зависимости от возраста) является оптимальным [11,17,19].
 

  • Рекомендовано пострадавшим детям с ЧМТ (0-18 лет) поддерживать систолическое артериальное давление на уровне выше 90 мм. рт.ст. на протяжении всего курса интенсивной терапии. Лечение гиповолемии и артериальной гипотензии рекомендуется начинать с инфузии растворов, влияющих на водно-электролитный баланс. Необходимо контролировать осмолярность и концентрацию натрия в плазме крови. Низкие значения осмолярности (<280 мосм/л) и натрия (<135 ммоль/л) корригируют в сторону повышения. Ирригационные растворы (например, 5% раствор декстрозы**) в терапии острой ЧМТ не используют. При недостаточной эффективности инфузионной терапии для повышения ЦПД следует применять адренергические и дофаминергические средства [11, 18]

Уровень убедительности рекомендаций С (Уровень достоверности доказательств - 5)


1.2.4. Мониторинг ВЧД
 

  • Рекомендуется всем пострадавшим детям тяжелой ЧМТ (ШКГ ≤8) поддержание ВЧД <20 мм рт.ст. [65]

Уровень убедительности рекомендаций B (Уровень достоверности доказательств - 2)
 

  • Мониторинг ВЧД рекомендован детям с ТЧМТ (ШКГ ≤8). Использование мониторинга внутричерепного давления может рассматриваться в том числе и у детей первого года жизни (грудничков) ТЧМТ [3,7, 9,11,18,20, 86, 87]

Уровень убедительности рекомендаций В (Уровень достоверности доказательств - 3)

Комментарии:

У детей с тяжелой ЧМТ (ШКГ ≤8) отмечается высокий риск внутричерепной гипертензии. Внутричерепная гипертензия может сопровождать диффузное повреждение мозга и посттравматический синус-тромбоз. При более высоких значениях ШКГ мониторинг ВЧД может показан пострадавшим с тяжелыми сочетанными повреждениями, нуждающихся в длительной ИВЛ, седации и релаксации, т.е. находящихся в условиях, ограничивающих возможность проведения клинического мониторинга.


Внутричерепная гипертензия является ключевой патофизиологической переменной в развитии вторичных повреждений (1-3). Начиная с конца 1970-х годов прорыв в лечении тяжелой ЧМТ был связан с внедрением рекомендаций, ориентированных на контроль внутричерепного давления (4). Мета-анализ 15 исследований с включением 857 детей с ТЧМТ показал зависимость неблагоприятного исхода от повышения ВЧД (>20 мм рт.ст.) [15]. Целесообразность использования мониторинга ВЧД подтверждается данными о высокой частоте развития ВЧД у детей с ТЧМТ, корреляцией неблагоприятных исходов с высокими значениями внутричерепного давления, улучшением результатов лечения у больных с контролируемыми значениями ВЧД. Несмотря на то, что эти исследования соответствуют доказательствам только III класса, их результаты демонстрируют связь между контролем внутричерепной гипертензии и неврологическим исходом. В ряде исследований показана зависимость неблагоприятного исхода после тяжелой ЧМТ от внутричерепной гипертензии и/или системной гипотензии [17-19, 23].


Мониторинг ВЧД позволяет на основании объективных показателей определить оптимальный объем лечения, способствуя адекватному выбору таких методов как гиперосмолярная терапия, седация, миорелаксация, применение барбитуратов и их производных, декомпрессивная краниотомия.


1.2.5. Лечение внутричерепной гипертензии
 

  • Рекомендуется проводить коррекцию ВЧД при превышении порога 20 мм рт.ст. пострадавшим детям с ЧМТ (0-18 лет) [3,7, 9,11,18–20, 65]

Уровень убедительности рекомендаций B (Уровень достоверности доказательств - 2)

Комментарии:


Лечение тяжелой ЧМТ у детей, так же, как и у взрослых, в большой степени сфокусировано на контроле ВЧД и сохранении ЦПД. Допустимо кратковременное повышение ВЧД с возвратом к нормальным значениям в течение <5 минут, однако продолжительное повышение ВЧД ≥20 мм рт.ст в течение ≥5 минут требует лечения (1). Оптимальные пороговые и целевые значения ВЧД при ЧМТ у детей все еще уточняются и зависят от возраста [17-19]. Публикации по этому вопросу практически отсутствуют; только в одном исследовании пороговые значения ВЧД начала терапии варьировали в зависимости от возраста и составляли 15, 18 и 20 мм рт.ст. у детей 0-24 месяцев, 25-96 месяцев и 97-156 месяцев, соответственно [23].


Выделяют базовую (профилактическую) и экстренную терапию внутричерепной гипертензии [10].


Базовая (профилактическая) терапия направлена на профилактику и устранение факторов, которые могут ухудшить или ускорить развитие внутричерепной гипертензии. К специфическим факторам, которые могут привести к повышению внутричерепного давления, относят нарушение венозного оттока из полости черепа (неправильное положение головы больного, психомоторное возбуждение), расстройства дыхания (обструкция дыхательных путей, гипоксия, гиперкапния), гипертермию, артериальную гипо- и гипертензию, судорожный синдром.


1.2.6. Экстренная терапия
 

  • Рекомендуется пострадавшим детям с ЧМТ (0-18 лет) при повышении внутричерепного давления более 20 мм рт.ст. устранить все факторы, которые могут ухудшить или ускорить дальнейшее повышение внутричерепного давления [11, 18].

Уровень убедительности рекомендаций С (Уровень достоверности доказательств - 5)
 

  • Рекомендуется пострадавшим детям с ЧМТ (0-18 лет) придать головному концу кровати возвышенное положение с углом от 30° до 40°, постепенно увеличивая угол возвышения. Голова должна быть в положении, исключающим компрессию шейных вен [11, 18, 90]

Уровень убедительности рекомендаций С (Уровень достоверности доказательств - 4)
 

  • Рекомендованы всем детям с тяжелой ЧМТ (ШКГ ≤8) следующие мероприятия [66]:

    – контроль гемодинамики и дыхания, исключить обструкцию дыхательных путей;

    – купировать гипертермию (стремиться поддерживать нормотермию);

    – купировать судороги (если имеются);

    – контроль внутрибрюшного (внутрибрюшное кровотечение, кишечная непроходимость и т.д.) и внутригрудного давления (пневмо-, гемоторакс);

    – обеспечить глубокую седацию и релаксацию.

Уровень убедительности рекомендаций С (Уровень достоверности доказательств - 5)
 

  • Рекомендовано пострадавшим детям с ЧМТ (0-18 лет) при стойком повышении внутричерепного давления более 20 мм рт.ст. повторное КТ исследование головного мозга для исключения внутричерпных повреждений, требующих экстренного хирургического вмешательства (эпи-, субдуральные, внутримозговые гематомы, окклюзионная гидроцефалия, развитие дислокационного синдрома) [17-19,23, 66].

Уровень убедительности рекомендаций С (Уровень достоверности доказательств - 5)


1.2.6. Базовая терапия внутричерепной гипертензии

Вентрикулярный дренаж
 

  • Рекомендуется при возможности пострадавшим детям с ЧМТ (0-18 лет) устанавливать наружный вентрикулярный дренаж, совмещенный с датчиком внутричерепного давления. Такая опция дает возможность измерять ВЧД и при необходимости дренировать ликвор. Дренирование ликвора может осуществляться только под контролем измерения внутричерепного давления [9,15-17,18].

Уровень убедительности рекомендаций С (Уровень достоверности доказательств - 5)

Комментарии:

Вентрикулярный дренаж устанавливается больным с ТЧМТ с уровнем сознания по ШКГ <8 баллов при возможности выполнения манипуляции (после нейровизуализации). После открытия вентрикулярного дренажа, выпустить не более 2 мл ликвора. Контроль ВЧД проводить в условиях закрытого дренажа через 15-20 сек. При отсутствии эффекта произвести повторное выведение. Скорость выведения не более 20 мл в час.


Гиперосмолярные растворы

(Растворы, влияющие на водно-электролитный баланс) (код АТХ В05ВВ)
 

  • Рекомендуется (пострадавшим детям с ЧМТ (0-18 лет) не допускать стойкого (>72 часов) повышения уровня натрия выше 170 мг-экв/мл для предотвращения вторичных повреждений мозга [11,18]

Уровень убедительности рекомендаций С (Уровень достоверности доказательств - 5)
 

  • Рекомендуется при повышенном ВЧД у детей использовать #манитол** (код АТХ B05BC01), хотя доказательная база не представлена [149].

Уровень убедительности рекомендаций С (Уровень достоверности доказательств - 4)

Комментарии:

#Маннитол** применяют болюсно в дозе 0,25-1,0 г/кг массы тела. Суточная доза вводимого #маннитола** не должна превышать 140-180 г. [11, 18, 149]

Маннитол** широко используется при повышенном ВЧД у детей с ЧМТ и, несмотря на отсутствие доказательной базы, зарекомендовал себя как эффективный и безопасный препарат в лечении внутричерепной гипертензии. Целесообразно применять #маннитол** до начала проведения мониторинга ВЧД, если имеются признаки транстенториального вклинения или ухудшения неврологического статуса, не связанные с воздействием экстракраниальных факторов [17,18].
 

  • Не рекомендовано введение #маннитола** (B05BC растворы с осмодиуретическим действием) при гипернатриемии (Na >160 ммольл) и гиперосмолярности (Осм >320 мосмоль/л) пострадавшим детям с ЧМТ (0-18 лет) [11,17,18,149]

Уровень убедительности рекомендаций С (Уровень достоверности доказательств - 5)


Применение барбитуратов

  • Рекомендуется лечебный наркоз высокими дозами барбитуратов у пострадавших (детей) с тяжелой ЧМТ при стабильной гемодинамике и наличии рефрактерной внутричерепной гипертензии, устойчивой к применению других методов консервативного лечения [16, 122].

Уровень убедительности рекомендаций С (Уровень достоверности доказательств - 4)

Комментарии:

При проведении лечебного барбитурового наркоза целесообразно контролировать артериовенозную разницу по кислороду, поскольку существует опасность развития олигемической церебральной гипоксии [6].


Уточнить форму и дозу по инструкции Тиопентал натрия** (N01AF барбитураты): нагрузочная доза 8 мг/кг; поддерживающая доза: 3-5 мг/кг/час [88, 122]


Первоначально вводят препарат в дозе 8 мг/кг в час, с последующей инфузией 3 доз по 5 мкг/кг в час и поддержанием достигнутой концентрации барбитуратов в плазме крови введением их при помощи автоматического перфузора в дозе 1 мг/кг в час. Продолжительность инфузии не менее 48 часов.


Использование барбитуратов при высоких значениях ВЧД у детей с тяжелой ЧМТ практикуется с 1970-х годов. Одной из первых была публикация Marshall et al. которые сообщили, что использование барбитуратов у пациентов с рефрактерной внутричерепной гипертензией улучшает исходы ТЧМТ.


Клинические исследования по применению барбитуратов у детей ограничены описанием двух случаев, что не позволяет сделать четкие выводы. На основании этих данных можно сделать только предположение, что барбитураты эффективны в лечении стойкой ВЧГ у детей, однако влияние барбитуратов на выживаемость или улучшение неврологического исхода не установлено. Применение больших доз барбитуратов приводит к снижению артериального давления, как у детей, так и у взрослых, что требует соответствующего мониторинга гемодинамики [3,11,17-20].
 

  • Не рекомендовано использовать глюкокортикоиды (Н02АВ) для улучшения результатов выхода или снижения ВЧД у детей с ТЧМТ [18]

Уровень убедительности рекомендаций С (Уровень достоверности доказательств - 5)


Гипервентиляция
 

  • Рекомендуется (пострадавшим детям с ЧМТ (0-18 лет) рассматривать гипервентиляцию следует как временную вынужденную меру для снижения повышенного внутричерепного давления, например, при транспортировке больного в операционную, при неэффективности всех консервативных мер и угрозе развития/нарастания дислокационного синдрома. [18, 89].

Уровень убедительности рекомендаций С (Уровень достоверности доказательств - 5)

Комментарии:

При использовании гипервентиляции желательно контролировать достаточность снабжения мозга кислородом, определяя SvjO2 и/или PbrO2. Нормальными считают показатели SvjO2, находящиеся в пределах 55-75%, при условии достаточной оксигенации артериальной крови. Норма PbrO2 составляет 25-35 мм рт. ст. при напряжении кислорода в артериальной крови 80-100 мм рт.ст [11].
 

  • Не рекомендуется гипервентиляция до РаСО2 <30 мм рт.ст с целью профилактики развития внутричерепной гипертензии (особенно в первые 48 часов) у пострадавших детей с ЧМТ (0-18 лет. [17-19]. Гипервентиляция противопоказана при рСО2 <28 мм рт.ст.

Уровень убедительности рекомендаций С (Уровень достоверности доказательств - 5)

Комментарии:

Снижение внутричерепного давления при гипервентиляции обусловлено развитием вазоконстрикции (вызванного гипокапнией) и снижением объема мозгового кровотока (МК). В недавних исследованиях с участием взрослых и детей показано, что гипервентиляция снижает оксигенацию мозга и приводит к развитию ишемии (3, 7). В исследовании Stringer et al. (10) авторы показали, что гипервентиляция вызывала одновременно снижение МК как в поврежденных, так и предположительно интактных участках мозга. Авторы показали взаимосвязь между уровнем гипокапнии и частотой церебральной ишемии. Частота региональной ишемии составила 28,9% во время нормокапнии и возрастала до 59,4% и 73,1% при РаСО2 25-35 мм рт.ст. и <25 мм рт.ст., соответственно. Экспериментальные исследования показали, что профилактическая гипокапния помимо снижения МК изменяет буферную способность спинномозговой жидкости, и значение этого эффекта может быть важнее, чем влияние на МК (5).


Несмотря на отсутствие опубликованных данных о пользе применения гипервентиляции у детей с тяжелой ЧМТ, ее продолжают широко использовать. Не проведено ни одного рандомизированного контролируемого исследования влияния гипервентиляции на различные аспекты тяжелой ЧМТ у детей, такие как рефрактерная внутричерепная гипертензия или развитие дислокационного синдрома.


Гипотермия
 

  • Рекомендовано (пострадавшим детям с ЧМТ (0-18 лет) проведение умеренной гипотермии (32-33ºС) сразу после тяжелой ЧМТ в течение 48 часов с целью предотвращения развития вторичных повреждений мозга [4,12,19].

Уровень убедительности рекомендаций С (Уровень достоверности доказательств - 5)
 

  • Рекомендовано (пострадавшим детям с ЧМТ (0-18 лет) при использовании гипотермии повторное согревание проводить со скоростью 0,5-1,0 градус Цельсия каждые 12-24 часа [18].

Уровень убедительности рекомендаций С (Уровень достоверности доказательств - 5)

Комментарии:

Охлаждать больного до необходимой температуры необходимо очень быстро (в течение 30-60 мин), а согревать очень медленно (0,2-0,3°С в час). Охлаждение больного может сопровождаться серьезными осложнениями: гипокоагуляцией, повышением диуреза, электролитными расстройствами, нарушением увлажнения дыхательной смеси, инфекционными осложнениями (из рекомендаций для взрослых).


Существуют значительные сомнения относительно профилактического использования гипотермии у детей с ЧМТ. В ряде исследований, включая два исследования II класса доказательности, показано, что легкая или умеренная гипотермия в сравнении с нормотермией способствует уменьшению внутричерепной гипертензии. Однако эффективность такой терапии по сравнению с другими методами лечения, включая препараты первой линии или целенаправленную терапию стойкой внутричерепной гипертензии, остается неясной. Кроме того, противоречивые результаты получены относительно влияния гипотермии на смертность и/или исходы.


1.2.8. Профилактика и лечение легочных осложнений
 

  • Рекомендуется детям с тяжелой ЧМТ:

    1. Для профилактики гастро-эзофагального рефлюкса пострадавшим необходимо придавать положение на боку с возвышенным головным концом кровати [90, 91, 131, 132] и осуществлять энтеральное питание через назоеюнальный зонд [92, 93, 133, 134].

    2. Необходимо проведение ранней интубации трахеи и поддержание необходимого давления в манжете эндотрахеальной трубки (20-25 см вод. ст.). Для предотвращения аспирации используют метод постоянной надманжеточной аспирации [94, 95, 135, 136].

    3. При продолжительности ИВЛ боле 5 суток необходимо выполнение трахеостомии [96,137].

Уровень убедительности рекомендаций С (Уровень достоверности доказательств - 4)

Комментарии:

Показания для наложения трахеостомии:

a) Травмы лицевого скелета

b) Синуситы

c) Длительность стояния трубки более месяца

d) Бульбарные расстройства
 

  • Рекомендуется на поздних сроках лечения тяжелых поражений головного мозга при наличии у больного признаков дисфагии чрезкожная эндоскопическая гастростомия [3,7].

Уровень убедительности рекомендаций С (Уровень достоверности доказательств - 5)
 

  • Рекомендуется (пострадавшим детям с ЧМТ (0-18 лет) предотвращать кросс-контаминацию и колонизацию через руки персонала для снижения инфекционных осложнений [7,11].

Уровень убедительности рекомендаций С (Уровень достоверности доказательств - 5)

Комментарии:

Необходимо осуществлять тщательную обработку аппаратуры для ИВЛ, фибробронхоскопов и проводить регулярный мониторинг бактериологической загрязненности аппаратов ИВЛ после стерилизации.


Поддерживать порядок индивидуального применения аппаратов для аспирации исключать повторное употребление санационных катетеров. По возможности следует применять специальные закрытые системы для санации трахеобронхиального дерева и комбинированные дыхательные фильтры. Санацию трахеобронхиального дерева необходимо осуществлять в стерильных перчатках. После любых манипуляций с больным следует обрабатывать руки и перчатки специальными спиртовыми дезинфицирующими растворами. Для вытирания рук после мытья проточной водой следует использовать одноразовые бумажные полотенца или салфетки.
 

  • При назначении антибактериальной терапии у детей для достижения максимальной эффективности рекомендуется учитывать фармакокинетические свойства антибиотиков, подбирать дозы препаратов с учетом их минимально подавляющих концентраций и проводить плановую ротацию препаратов [124].

Уровень убедительности рекомендаций С (Уровень достоверности доказательств - 5)


1.2.9. Профилактика и лечение внутричерепных гнойных осложнений
 

  • Рекомендуется ранняя санация придаточных пазух носа при наличии в них гнойного содержимого. Больным с ЧМТ при проведении в послеоперационном периоде КТ головы необходимо также исследовать придаточные пазухи носа. При подозрении на наличие синусита, пациент должен быть осмотрен врачом-отоларингологом [11]

Уровень убедительности рекомендаций С (Уровень достоверности доказательств - 5)
 

  • Рекомендуется соблюдение правил асептики при нейрохирургических манипуляциях в отделениях реанимации (перевязки и поясничные пункции). Необходимо соблюдение правил асептики персоналом нейрореанимационного отделения [7].

Уровень убедительности рекомендаций С (Уровень достоверности доказательств - 5)

Комментарии:

При развитии внутричерепнх гнойных осложнений может быть использовано интратекальное введение через поясничную пункцию, через поясничный дренаж, либо через вентрикулярный катетер. Поясничный дренаж необходимо устанавливать при цитозе более 400-500 клеток в мм3. Во избежание дислокации головного мозга поясничную пункцию и установку поясничного дренажа не проводят при наличии признаков аксиальной или выраженной поперечной дислокации по данным компьютерной томографии головного мозга.


При наличии клинических и КТ признаков вентрикулита устанавливают катетеры в передние рога обоих боковых желудочков. Антибиотикотерапию назначают согласно посеву цереброспинальной жидкости. Антибактериальные препараты по дренажу вводят 2-6 раз в сутки. Введение антибиотиков осуществляет врач-нейрохирург. Интратекальное введение антибактериальных препаратов системного действия осуществляют в разведении физиологическим раствором хлорида натрия** (код АТХ B05XA). Предпочтительно применение #Ванкомицина** 5 мг интратекально (код АТХ J01XA01) Антибиотики глипопептидной структуры) [125, 151, 154]. В остальное время дренаж устанавливают на пассивный отток.


При проведении вентрикулярного или поясничного дренирования следует избегать гипердренирования цереброспинальной жидкости при помощи установки «колена» дренирующей системы на уровне отверстия Монро или использования специальных закрытых систем, позволяющих одновременно измерять ликворное давление и осуществлять фиксированный сброс цереброспинальной жидкости. Парентеральную антибиотикотерапию прекращают через 3-4 дня после полного регресса симптомов менингита или вентрикулита (рекомендации).


1.2.10 Посттравматические судороги
 

  • Рекомендуется для детской категории пострадавших (0-18 лет) для предотвращения судорог назначение противоэпилептических препаратов в начальных терапевтических дозах при наличии риск-факторов развития посттравматических судорог, а также наличия неспровоцированных пароксизмов и эпилептической активности на ЭЭГ [11, 17,19].

Уровень убедительности рекомендаций С (Уровень достоверности доказательств - 5)
 

  • Рекомендуется для детской категории пострадавших (0-18 лет) при выборе противоэпилептических препаратов для проведения профилактической противосудорожной терапии отдавать предпочтение лекарственным средствам с нейропротективным эффектом (код АТХ N03A (производные гидантоина (код АТХ N03AB), барбитураты (код АТХ N03AA), производные жирных кислот.) [104]

Уровень убедительности рекомендаций С (уровень достоверности доказательств – 4)
 

  • Фенитоин** (код АТХ N03AB02) может быть рекомендован детям с трех лет с учетом лекарственной формы для профилактики ранних посттравматических судорог (ПТС) [17-19]. Учитывая высокую вероятность нарушения метаболизма у пациентов с ТЧМТ, рекомендуется мониторировать уровень препарата. [147]

Уровень убедительности рекомендаций С (Уровень достоверности доказательств - 5)

Комментарии:

К посттравматическим судорогам относят судорожные припадки, развивающиеся в течение 7 дней после травмы, или позднее, спустя 8 дней после выхода из комы (1). Риск-факторы развития посттравматических судорог включают в себя тяжесть повреждения, локализацию и характер повреждения, наличие костных отломком или инородных тел в веществе мозга, вдавленный перелом черепа, фокальный неврологический дефицит, утрату сознания, снижение уровня бодрствования по шкале комы Глазго <10, длительность посттравматической амнезии, наличие субдуральной или эпидуральной гематомы, проникающее ранение, хронический алкоголизм и возраст. Частота случаев ПТС у детей с ЧМТ составляет примерно 10%. У младенцев и детей младшего возраста порог судорожной готовности ниже.


В качестве механизмов развития посттравматической эпилепсии рассматриваются патофизиологические изменения в гиппокампе, включая аксональный спрутинг, нарушение калиевой деполяризации плазматической мембраны глиальных клеток, нарушение функции коллатералей Шаффера, апаптознейронов прилежащих к очагу и активацию пути передачи сигнала в гиппокампе TrkB-ERK1/2- CREB/ELK-1. В последних исследованиях высказано предположение о роли альбумин-индуцированных изменений электрофизиологических свойств астроцитов, опосредованных рецептором трансформирующего фактора роста-β и приводящих к аккумуляции внеклеточного калия (27, 28).


Для диагностики посттравматической эпилепсии наиболее значимыми являются компьютерная томография, электроэнцефалография и магнитно-резонансная томография. Указанные методы нейровизуализации в остром периоде черепно-мозговой травмы позволяют выявить очаги повреждения, соответствующие факторам риска развития посттравматической эпилепсии.


При ЭЭГ-исследовании обращают внимание на наличие паттернов эпилептической активности или эпилептических приступов согласно критериям выявления эпилептиформной активности. При этом важно отметить, что при развитии эпилептических приступов необходимо проведение КТ (МРТ) головного мозга и ЭЭГ-исследования.


1.2.11. Питание пострадавших с тяжелой ЧМТ

Острый и ранний период ТЧМТ характеризуется развитием гипреметаболизма, гиперкатаболизма, что является причиной формирования недостаточности питании и потери значительной части мышечной массы у данной категории пациентов. Установлена прямая корреляционная зависимость между недостаточностью питания тяжелобольных и их летальностью – чем выше энергетический дефицит, тем чаще у них наблюдается тяжелая полиорганная недостаточность и летальный исход. Еще в 1936 году H.O. Studley отмечал, что при потерях больными более 20% массы тела послеоперационная летальность достигала 33%, тогда как при адекватном питании она составляла не более 3,5%.


За последние десятилетия понимание роли молекулярных и биологических эффектов питательных веществ в поддержании гомеостаза у критически больных значительно продвинулось вперед. Основными задачами нутритивной поддержке в комплексной терапии ТЧМТ являются: сохранение мышечной массы тела, поддержание адекватного иммунного ответа и предотвращение метаболических осложнений [3,7, 11, 13].
 

  • Рекомендуется раннее начало энтерального питанием рассматривается как терапевтическая стратегия, которая позволяет сократить продолжительность пребывания пациента в отделении интенсивной терапии, уменьшить количество осложнений и благоприятно повлиять на исход выздоровления [97, 137]

Уровень убедительности рекомендаций С (Уровень достоверности доказательств - 4)


Начало энтерального кормления
 

  • Рекомендована нутритивная терапия (зондовое питание) для восстановления метаболизма и поддержания витальных функций в виде энтерального питания (ЭП) ребенку с черепно-мозговой травой (0-18 лет), который не может принимать пищу обычным путем [18].

Уровень убедительности рекомендаций С (Уровень достоверности доказательств - 5)
 

  • Рекомендуется ЭП для детской категории пострадавших (0-18 лет) начинать в течение первых 24-48 часов после поступления в ОРИТ при отсутствии противопоказаний [97]

Уровень убедительности рекомендаций С (Уровень достоверности доказательств - 4)

Комментарии:

ЭП способствует сохранению барьерной и иммунологической функции кишечника, за счет нормализации микробиома, синтеза секреторных IgA (GALT). Важно достигнуть 80% объёма от расчетных потребностей в белке и калориях к 5-7 суткам после начала ЭП
 

  • Для оценки нутритивного статуса пациента в рутинной практике необходимо проводить антропометрическую оценку, включающую измерение роста, веса и индекса массы тела (ИМТ), а также динамику этих показателей [97, 126].

Уровень убедительности рекомендаций С (Уровень достоверности доказательств - 4)

Комментарии:

Традиционные лабораторные инструменты оценки питания (показатели общего белка, сывороточного альбумина, преальбумина, ретинол-связывающий белок и антропометрия) не доказали свою достоверность как маркеры состояния мышечной массы.


Выбор способа кормления
 

  • ЭП рекомендуется предпочтительным способом кормления пациентов в критическом состоянии, при отсутствии противопоказаний [97, 127].

Уровень убедительности рекомендаций С (Уровень достоверности доказательств - 4)
 

  • Рекомендуется пациентам, получающим ЭП, оценить на предмет риска развития аспирации [100, 128].

Уровень убедительности рекомендаций С (Уровень достоверности доказательств - 5)
 

  • Рекомендуются для детской категории пострадавших (0-18 лет) при выявлении признаков дисфагии альтернативные пути алиментации: назогастральный или назоеюнальный, при прогнозе длительного зондового кормления показана установка гастростомы [101, 129]

Уровень убедительности рекомендаций С (Уровень достоверности доказательств - 4)
 

  • Если при поступлении имеются признаки белково-энергетической недостаточности, а ЭП невозможно, рекомендуется начать ПП как можно скорее после поступления и проведения адекватных реанимационных мероприятий [102,138]

Уровень убедительности рекомендаций С (Уровень достоверности доказательств - 5)


Дозирование энтерального питания

  • Рекомендуется проводить расчет объема ЭП для детской категории пострадавших (0-18 лет), определяемый потребностями в энергии, на основе применения непрямой калориметрии [103, 139]

Уровень убедительности рекомендаций С (Уровень достоверности доказательств - 5)

Комментарии:

При отсутствии непрямой калориметрии возможно использование расчетных уравнений. Прогностические уравнения следует использовать с осторожностью, поскольку они обеспечивают менее точную оценку потребности в энергии, чем непрямая калориметрия. У пациентов с ожирением расчет энергопотребностей, при использовании расчетных уравнений, проводится на долженствующий вес, недостаточности питания – на фактический
 

  • Рекомендуется для для детской категории пострадавших (0-18 лет) проводить мониторинг энергопотребностей у детей регулярно не реже 1 раза в 7 дней для контроля нутритивных потребностей. Если не удается восполнить 100% объем целевых потребностей к 7-10 дню только энтеральным путем, возможна коррекция нутритивных потребностей с использованием ПП [18, 129]

Уровень убедительности рекомендаций С (Уровень достоверности доказательств - 5)
 

  • Рекомендуется для детской категории пострадавших (0-18 лет) проводить постоянную оценку белковых потерь для своевременной коррекции нутритивных потребностей [127,134].

Уровень убедительности рекомендаций С (Уровень достоверности доказательств - 5)

Комментарии:

Использование дополнительных модульных протеиновых добавок или смесей для энтерального питания с повышенным содержанием белка помогает сократить потери азота, что способствует снижению потери мышечной массы

Позиционирование пациента во время кормления.
 

  • Рекомендуется для снижения риска аспирационных осложнений у пациентов с ТЧМТ, при отсутствии противопоказаний, приподнимать на 45-градусное изголовье кровати [91,97].

Уровень убедительности рекомендаций С (Уровень достоверности доказательств - 4)


Повышение толерантности к энтеральному питанию
 

  • Рекомендуется использование протоколов энтерального питания, что улучшает контроль за ведением пациентов с ТЧМТ [97,98,100]

Уровень убедительности рекомендаций С (Уровень достоверности доказательств - 4)

Комментарии:

Регулярный контроль переносимости ЭП позволяет выявлять ранние признаки непереносимости, своевременно корректировать возникающие расстройства путем смены смеси для энтерального питания, режима, скорости введения смеси и/или объема кормления.


Для точной оценки энергопотребности больных необходимо использовать метод непрямой калориметрии. При отсутствии метаболографа энергетические потребности пациентов рассчитывают по формулам.


Питание можно осуществлять как энтерально, так и парентерально. Преимуществами энтерального питания перед парентеральным являются меньший риск развития гипергликемии и инфекционных осложнений. Для проведения энтерального питания устанавливают зонд назогастральный/орогастральный. При неэффективности гастрального варианта питания более 2 суток проводят установку зонда кишечного. В таком случае для питания больных следует использовать специальные полуэлементные смеси. При необходимости длительного энтерального зондового питания более 4 недель возможно наложение гастростомы (рекомендции). По возможности преимущество следует отдавать энтеральному питанию. У детей следует обеспечить от 130 до 160% метаболических расходов [15].


Применение парентерального питания у детей с ЧМТ имеет большое значение. Так же как и у взрослых, детям с ТЧМТ необходимо обеспечить энергетические потребности для эффективного восстановления повреждений, функционирования организма и предотвращения других патологических состояний, инициируемых травмой. У детей энергетические потребности, необходимые для нормального роста и развития, выше, чем у взрослых. Решение о применении парентерального питания, включая срок, количество, способ и состав такой поддержки, может существенно повлиять на краткосрочные и отдаленные исходы.


Результаты рандомизированного контролируемого исследования II класса показали отсутствие различий в исходах у детей при стандартном питании и питании, включающем в себя иммуномодуляторы.


2. Хирургическое лечение ЧМТ


2.1. Декомпрессивная трепанация черепа
 

  • Декомпрессивная трепанация черепа с пластикой твердой мозговой оболочки может быть рекомендована при угрозе/нарастании дислокационного синдрома или при развитии рефрактерной внутричерепной гипертензии у детей с ТЧМТ [3,4, 10,11,17–21, 67, 68].

Уровень убедительности рекомендаций В (Уровень достоверности доказательств - 1)

Комментарии:

ДКТЧ может применяться как сопутствующая процедура при удалении повреждений, вызывающих масс-эффект (внутричерепные гематомы, очаги ушиба), при угрозе нарастания отека мозга (вторичная ДК).


Декомпрессивную краниэктомию применяют в последнюю очередь при неэффективности мероприятий консервативной терапии. Основная цель ДКТЧ – увеличение внутричерепного объема, благодаря чему происходит снижение внутричерепного давления и улучшение функционального состояния мозга. Время проведения декомпрессии определяется результатами клинического обследования, динамикой неврологических нарушений, уровнем повышения ВЧД, или устойчивостью этого повышения к различным вариантам консервативного лечения. Первичная ДК как хирургический метод контроля внутричерепного давления остается предметом дискуссий. Применению ДКТЧ для контроля ВЧД у взрослых посвящены два рандомизированных исследования: исследование DECRA (1), результаты которого показали снижение ВЧД после ДКТЧ без улучшения исходов (2), и исследование RescueICP (3). В детской популяции такие исследования не проводились, доказательная база отсутствует.


Существует несколько видов декомпрессивной краниэктомии. Она может состоять из одно- и двусторонней подвисочной декомпрессии, гемисферных краниэктомий, круговой краниэктомии или бифронтальной краниэктомии. Выбор метода зависит от данных КТ-исследования.


Противопоказания к проведению декомпрессивной краниотомии:


Атоническая кома (3 балла ШКГ + двусторонний мидриаз + атония мышц и арефлексия) без последующего улучшения на фоне реанимационных мероприятий и связанная:

– с первичным ушибом ствола мозга по данным КТ (МРТ) с клиникой необратимого стойкого его повреждения (ШКГ 3 балла с момента травмы);

– с вторичным ишемическим повреждением ствола мозга на фоне дислокационного синдрома с клиникой стойкого необратимого поражения 3 балла ШКГ + двусторонний мидриаз + атония мышц и арефлексия);

– с реверберирующиим кровотоком (или отсутствие кровотока) по магистральным церебральным артериям основания мозга с двух сторон при ТКДГ в сочетании с клиникой атонической комы;

– с отсутствием кровотока в четырех бассейнах магистральных артерий головного мозга по данным МРТ ангиографии в сочетании с клиникой атонической комы;

– с отсутствием акустических вызванных потенциалов ответа с двух сторон в сочетании с реверберирующим (или отсутствующим) церебральным кровотоком


2.2. Хирургическое лечение острых эпидуральных гематом
 

  • Рекомендуется для устранения сдавления мозга удаление эпидуральной гематомы объемом более 30 см3 независимо от степени бодрствования. В отдельных случаях при незначительном превышении указанного объема эпидуральной гематомы и полностью компенсированном состоянии пострадавшего с отсутствием дислокационной симптоматики допустима консервативная тактика с динамическим КТ-контролем [7, 11,21].

Уровень убедительности рекомендаций С (Уровень достоверности доказательств - 5)

Комментарии:

  1. При меньшем объеме гематомы показанием к удалению являются общий объем патологического очага более 60 см3, компрессия охватывающей цистерны, снижение бодрствования пострадавшего от момента получения травмы до операции.

  2. Эпидуральная гематома объемом менее 30 см3, толщиной менее 15 мм, при смешении срединных структур менее 3 мм у больных, сохраненном бодрствовании, отсутствии очаговой неврологической симптоматики, может подлежать консервативному лечению (при тщательном неврологическом и КТ контроле в нейрохирургическом стационаре) [11,18,21].

В отношении методов хирургического вмешательства нет единого мнения, однако считается, что краниотомия обеспечивает более полную эвакуацию гематомы [1,3,4,10,21].


2.3. Хирургическое лечение острых субдуральных гематом
 

  • Рекомендуется экстренное хирургическое вмешательство по удалению гематомы независимо от уровня бодрствования пострадавшего при острой субдуральной гематоме объемом более 30 см3 толщиной более 10 мм или смешении срединных структур более 5 мм [11, 21].

Уровень убедительности рекомендаций C (Уровень достоверности доказательств - 5)
 

  • Хирургическое вмешательство в объеме первичной декомпрессивной трепанации черепа и удаления субдуральной гематомы рекомендуется пострадавшим с гематомой толщиной менее 10 мм и смещением срединных структур менее 5 мм, при снижении степени бодрствования по ШКГ на 2 балла и более с момента получения травмы до поступления в клинику, нарастании дислокационного синдрома и повышения ВЧД более 20 мм рт.ст. [11, 17, 18, 21]

Уровень убедительности рекомендаций C (Уровень достоверности доказательств - 5)
 

  • Рекомендовано для детской категории пострадавших (0-18 лет) выполнение декомпрессивной трепанации черепа для дренирования травматической субдуральной гематомы в случаях острой субдуральной гематомы, вызывающей смещение средней линии и рефрактерную внутричерепную гипертензию [11,18, 148].

Уровень убедительности рекомендаций B (Уровень достоверности доказательств - 3)


2.4. Хирургическое лечение ушибов мозга
 

  • Рекомендуется для детской категории пострадавших (0-18 лет) оперативное лечение при очаговых размозжениях мозга, вызывающих прогрессивное ухудшение неврологического статуса, стойкую внутричерепную гипертензию, рефрактерную к консервативному лечению, а также при наличии признаков масс-эффекта на компьютерных томограммах [11,18,21].

Уровень убедительности рекомендаций С (Уровень достоверности доказательств - 5)

Комментарии:

Показанием к хирургическому удалению очагов ушиба при снижении бодрствования до комы с очагами ушибов в лобных и височных долях объемом более 20 см3, если смещение срединных структур более 5 мм и/или имеются признаки сдавления цистерн мозга на компьютерных томограммах, а также если объем очага ушиба превышает 50 см3.


Больные с очагами ушибов головного мозга без признаков неврологического ухудшения, а также с управляемым ВЧД и незначительным масс-эффектом на компьютерной томограмме могут лечиться консервативно при условии мониторного контроля и КТ в динамике [21, 105]


2.5. Показания к операциям при повреждениях структур задней черепной ямки
 

  • Рекомендуется для детской категории пострадавших (0-18 лет) хирургическое лечение при повреждениях задней черепной ямки, включающих в себя эпидуральные гематомы объемом более 10 см3, толщиной более 15 мм, с окклюзионной гидроцефалией и латеральной дислокацией, и сдавлением IV желудочка [11,21].

Уровень убедительности рекомендаций С (Уровень достоверности доказательств - 5)

Комментарии:

Консервативное лечение у больных с повреждениями структур задней черепной ямки можно проводить при эпидуральных гематомах объемом менее 10 см3, латеральных повреждениях мозжечка менее 10 см3, отсутствии смещения IV желудочка и стволовой симптоматики.


Выжидательная тактика у больных с повреждениями структур задней черепной ямки возможна при эпидуральных гематомах объемом от 10 до 20 см3, повреждениях мозжечка от 10 до 20 см3 при латеральном расположении [21].
 

  • Рекомендуется при определении тактики лечения учитывать степень бодрствования, состояние глазного дна, данные акустических стволовых вызванных потенциалов. Таким больным необходимы динамические КТ-исследования с учетом риска возникновения отсроченных гематом, быстрого развития окклюзии ликворных путей и декомпенсации больного [7,11,15].

Уровень убедительности рекомендаций С (Уровень достоверности доказательств - 5)


2.6. Хирургическое лечение вдавленных переломов костей черепа
 

  • Рекомендуется для детской категории пострадавших (0-18 лет) хирургическое вмешательство при вдавленных переломах черепа больше толщины кости. [21].

Уровень убедительности рекомендаций С (Уровень достоверности доказательств - 5)

Комментарии:

Показанием к хирургическому лечению являются:

  • вдавление костных отломков более чем на толщину кости,

  • повреждение т.м.о.,

  • повреждение воздухоносных пазух, пневмоцефалия,

  • наличие гематомы,

  • косметический дефект,

  • загрязненность раны.

Устранение вдавления и хирургическая обработка раны являются основными элементами операции. Лечебные мероприятия при открытых вдавленных переломах должны включать использование антибактериальных препаратов системного действия.


Больные с вдавленным переломом черепа рекомендуется лечиться консервативно, если вдавление менее толщины кости и отсутствуют: признаки повреждения твердой мозговой оболочки. Пострадавшие дети в возрасте до 1 года с вдавленными переломами по типу «целлулоидного мячика» при вдавлении менее 5 мм могут также могут лечиться консервативно [11,21]
 

  • Рекомендуется детям с вдавленным переломом черепа для снижения риска инфицирования раннее хирургическое вмешательство. [18,20].

Уровень убедительности рекомендаций С (Уровень достоверности доказательств - 5)
 

  • Рекомендуется для детской категории пострадавших (0-18 лет) при отсутствии инфицирования раны первичная костная пластика. [18,20].

Уровень убедительности рекомендаций С (Уровень достоверности доказательств - 5)
 

  • Консервативное лечение закрытого вдавленного перелома в каждом случае рекомендуется решать индивидуально (пострадавшим детям с ЧМТ (0-18 лет). [18,20].

Уровень убедительности рекомендаций С (Уровень достоверности доказательств - 5)
 

3. Иное лечение. При черепно-мозговой травме у детей иные методы лечения не применяются


Медицинская реабилитация


Медицинская реабилитация и санаторно-курортное лечение, медицинские показания и противопоказания к применению методов медицинской реабилитации, в том числе основанных на использовании природных лечебных факторов


Цель реабилитации – максимально скорое возможное восстановление утраченной функции, и повышение качества жизни как ребенка, так и членов его семьи [69,70].


В рамках ранней реабилитации принципиально важно выявление основного патогенетического звена, препятствующего дальнейшему восстановлению [26, 71]. Принципиальное значение имеет возрастной аспект. Чем младше ребенок, тем больше отличий в комплексе реабилитационных мероприятий, где на первый план выдвигается чрезвычайно сложная задача: восстановить условия для дальнейшего развития двигательных и когнитивных функций.


Патогенетическое воздействие повреждающего фактора на организм растущего ребенка должно постоянно перепроверяться, а цели и задачи реабилитации – постоянно уточняться для того, чтобы облегчить прохождение соответствующих этапов развития и восстановления. Это обуславливает необходимость регулярных мультидисциплинарных обсуждений в процессе реабилитации, особенно в раннем периоде, когда процессы спонтанного восстановления наиболее выражены [6.8.12,26]


Реабилитация должна опираться на сохранные функции пациента (M.Dimitrijevic, 2012 г.) Обязательным в реабилитации детей с последствиями тяжелой ЧМТ является использование Международной классификации функционирования для оценки степени нарушенных функций, определения прогноза восстановления и постановки реабилитационного диагноза [6].
 

  • Рекомендуется проведение комплексной этапной реабилитации детям, перенесшим тяжелую черепно-мозговую травму, после стабилизации и восстановления витальных функций [69, 72, 73]

Уровень убедительности рекомендаций С (Уровень достоверности доказательств - 3)
 

  • Реабилитацию рекомендовано для детской категории пострадавших (0-18 лет) начинать как можно раньше в острейшем и остром периодах ЧМТ в реанимации, продолжаться в палате интенсивной терапии нейрохирургического/травматологического отделения, на койках специализированного отделения (первый-ранний этап реабилитации при V-IV уровнях курации) с привлечением мультидисциплинарной команды специалистов [6,8,26, 74-79]

Уровень убедительности рекомендаций В (Уровень достоверности доказательств - 2)

Комментарии:

После выписки из первичного стационара реабилитация продолжается на втором этапе в условиях круглосуточного отделения\центра для пациентов с повреждениями ЦНС (второй этап реабилитации – при III-IV уровнях курации). Третий этап реабилитации проводится в условиях амбулаторного реабилитационного отделения, реабилитационного дневного стационара, в форме дистанционной реабилитации. Для каждого этапа характерны свои цели, задачи, состав мультидисциплинарной команды [6, 8].
 

  • Рекомендуется для детской категории пострадавших (0-18 лет) включать в мультидисциплинарную команду специалистов двигательной и когнитивной реабилитации, в т.ч. педагога-дефектолога [79]

Уровень убедительности рекомендаций С (Уровень достоверности доказательств - 4)
 

  • Рекомендуется для детской категории пострадавших (0-18 лет) на всех этапах с учетом преемственности и определения реабилитационного потенциала формировать индивидуализированную реабилитационнаю программу с учетом перспективных для реабилитации патофизиологических механизмов [1-4, 71, 72, 79, 80]

Уровень убедительности рекомендаций С (Уровень достоверности доказательств - 4)


Госпитализация


Организация оказания медицинской помощи


1. Догоспитальный этап:

- медицинская помощь оказывается фельдшером, врачом СМП, предпочтение отдается специализированным педиатрическим бригадам

- производится восстановление и стабилизация витальных функций

- оценка тяжести состояния

- незамедлительная доставка в специализированный педиартический стационар

- при транспортировке пациента средней тяжести/тяжелого пациента с угрозой развития витальных нарушений (ШКГ <12 баллов) фельдшер/врач СМП обязан сообщить в стационар о транпортируемом пациенте.


2. Приемное отделение

Госпитализация пострадавших детей с витальными нарушениями, либо с угрозой развития последних рекомендуется через противошоковую палату, где должны быть продолжены/начаты реанимационные мероприятия. Реанимационные мероприятия сопровождают диагностический этап и носят непрерывный характер. Главная цель выявить и устранить основный патофизиологический механизм, представляющий угрозу для жизни


В противошоковую палату направляются пациенты, имеющие следующие симптомы

  1. Нестабильность гемодинамики

  2. Нарушения дыхания

  3. ШКГ <13 баллов

  4. Парезы, параличи

  5. Подозрение (наличие) на травму позвоночника и спинного мозга

  6. Судороги

  7. Подозрение/наличие повреждения грудной клетки

  8. Открытые переломы

  9. Подозрение на нестабильные переломы костей таза
     

  • Рекомендуется первичный осмотр пациента с СЧМТ выполнять консилиумом врачей с привлечением врача-нейрохирурга, врача-анестезиолога-реаниматолога, врача-детского хирурга, врача-травматолога-ортопеда [33]

Уровень убедительности рекомендаций С (Уровень достоверности доказательств - 4)

Комментарии:

При необходимости с учетом локализации и характера повреждений привлекаются детские врачи других специальностей: врачи-офтальмологи, врачи-оториноларингологи, врачи-челюстно-лицевые хирурги, врачи-урологи и т.д.


Цель консилиума – диагностика всех повреждений, выявление ведущего повреждения, представляющего угрозу для жизни, определение этапности и объема оказания специализированной помощи.


При отсутствии противошоковой палаты пострадавшие могут быть госпитализированы в отделение реанимации, минуя приемное отделение.


3. Госпитальный этап

Пациенты с легкой и среднетяжелой ЧМТ (ШКГ 15-13 баллов) госпитализируются в отделение нейрохирургии.


Пациенты со среднетяжелой и тяжелой ЧМТ (ШКГ 12-3 балла) госпитализируются в отделение реанимации.


Пациентам, не требующим проведения экстренных хирургических вмешательств в условиях восстановления и стабилизации витальных функций, выполняется расширенный нейромониторинг, включающий в себя мониторинг ВЧД и церебрального перфузионного давления.


Пациенты, требующие проведения экстренных хирургических вмешательств должны быть доставлены в операционную.


После стабилизации состояния пострадавшего ребенка пациент переводится в отделение нейрохирургии.


4. Этап реабилитации Реабилитационные мероприятия начинаются в условиях отделения реанимации и продолжаются на всех этапах оказания специализированной помощи (I-II этап реабилитации).


Профилактика


Профилактика и диспансерное наблюдение, медицинские показания и противопоказания к применению методов профилактики

Пострадавшие дети с ЧМТ различной степени тяжести подвержены риску развития посттравматических осложнений. Вероятность развития осложнений прямо пропорциональна тяжести повреждения мозга. К осложнениям относятся посттравматическая эпилепсия, гидроцефалия, ликворея, дефекты свода черепа, хронические гематомы, субдуральные скопления [81-83].
 

  • Рекомендуется после окончания лечения динамическое наблюдение врача-детского нейрохирурга или врача-детского невролога в течение первого года 1 раз в 3 месяца, затем 1 раз в 6 месяцев, далее по необходимости [81-85]

Уровень убедительности рекомендаций С (Уровень достоверности доказательств - 4)

Комментарии:

Обследование на первом году диспансерного наблюдения включает в себя КТ/МРТ головного мозга, электроэнцефалографию, консультацию врача-невролога, врача-офтальмолога, врача-оторинолоринголога.


Информация

Источники и литература

  1. Клинические рекомендации Ассоциации детских нейрохирургов России
    1. 1. Артарян А.А., Иова А.С., Гармашов Ю.А. ,Банин А.В. . Черепно-мозговая травма у детей/ Клиническое руководство, том 2, Москва, «Антидор». - 2001., С. 603-648. 2. Валиуллина С.А, Семенова Ж.Б, Шарова Е.В. Организационно-экономические и управленческие аспекты оказания медицинской помощи детям с черепно-мозговой травмой. - Российский педиатрический журнал №2 2010 . 3. Коновалов А.Н., Потапов А.А., Лихтерман Л.Б. // Черепно-мозговая травма. Клиническое руководство. В 3х томах // Москва, 1998-2002 4. Крылов В.В., Талыпов А.Э., Пурас Ю.В. Декомпрессивная трепанация черепа при тяжелой черепно-мозговой травме// Москва ,2014 5. Лекманов А.У., Петлах В.И. Неотложная медицинская помощь детям, пострадавшим в дорожно-транспортных происществиях// Российский вестник детской хирургии, анестезиологии и реаниматологии, 2012, №4, с. 79-87 6. Международная классификация функционирования детей и подростков, ограничений жизнедеятельности и здоровья (МКФ-ДП). – М.: 2016 2 7. Потапов А.А., Крылов В.В., Лихтерман Л.Б., Талыпов А.Э., Гаврилов А.Г., Петриков С.С., Клинические рекомендации «Лечение пострадавших с тяжелой черепно-мозговой травмой». Проект Ассоциации нейрохирургов России, 2015. 8. Приказ Министерства здравоохранения РФ от 23 октября 2019г. № 878н "Об утверждении Порядка организации медицинской реабилитации детей" 1 9. Рошаль Л.М, Семенова Ж.Б, Багаев В.Г, и др Протокол оказания помощи пострадавшим детям с тяжелой изолированной и сочетанной черепно-мозговой травмой на догоспитальном этапе (Методические рекомендации Департамента здравоохранения) г.Москва, 2008 год 10. Семенова Ж.Б. Этапы оказания помощи детям с черепно-мозговой травмой. Задачи нейрохирурга. Ж. Неврология и нейрохирургия детского возраста № 3-4, 2012, стр 75-83 11. Семенова Ж.Б., Мельников А.В., Саввина И.А., Лекманов А.У., Хачатрян В.А., Горелышев С.К. Рекомендации по лечению детей с черепно-мозговой травмой. Российский вестник детской хирургии, анестезиологии и реаниматологии. 2016. Т. 6. № 2. С. 112-131. 12. Kraus J.F. Neurotrauma. Chapter 2. Epidemiology of brain ingury. Ed. R. Narayan et al.- McGraw Hill – USA. – 1996. – P. 13-30. 13. A.S.P.N. Clinical guidelines: nutrition support of the critically ill child 14. Andrew I.R. Maas, Mark Dearden, Franco Servadei, Nino Stocchetti and Andreas Unterberg Current Recomendations for Neurotrauma” CurrOpinCrit Care 2000, 6:281- 292 15. Bullock M. R et al. // Surgical Management of Traumatic Brain Injury 2002// Brain Trauma Foundation, USA 16. Lewartowska-Nyga D., Nyga K., Skotnicka-Klonowicz G. Can Infrascanner be useful in hospital emergency de-partments for diagnosing minor head injury in children? //Developmental period medicine. – 2017. – Т. 21. – №. 1. – С. 51-59. 17. Guidelines for acute medical management of severe traumatic brain injury in infants, children, and adolenscents // PediatrCrit Care Med - 2012 - Vol. 13 - No. 1 (Suppl.) 18. Guidelines for the Management of Pediatric Severe Traumatic Brain Injury, Third Edition: Update of the Brain Trauma Foundation Guidelines// PediatrCrit Care Med – 2019; 20:S1-S82 19. Guidelines for the Pre-hospital Management of Severe Traumatic Brain Injury, Second Edition, Brain Trauma Foundation, 2007 20. Guidlines for the management of severe traumatic brain injury // J of Neurotrauma, v 24, 1(suppl.) - 2007 21. Guidlines for the Surgical Management of Trauma Brain Injury // Neurosurgery- 58-S2- 1-S2-3, 2006 22. Hwang S.Y., Ong J.W., Ng Z.M., Foo C.Y., Chua S.Z., Sri D., Lee J.H., Chong S.L. // Long-term outcomes in children with moderate to severe traumatic brain injury: a singlr-centre retrospective study / Brain Inj. – 2019. – 33(11). – P.1420-1424. DOI: 10.1080/02699052.2019.1641625. 4 23. Meshcheryakov S. V., Z. B. Semenova, V. I. Lukianov, E. G. Sorokina, O. V. Karaseva //Prognosis of Severe Traumatic Brain Injury Outcomes in Children / Acta Neurochirurgica Supplement. – 2018. – 126. – P.11-17/ 4 24. Nilesh M Mehta,Charlene Compher,A.S.P.E.N. Board of Directorshttps://pubmed.ncbi.nlm.nih.gov/ 25. P. Perel, M. Arango, T. Clayton [et al.] // Predicting outcome after traumatic brain injury: practical prognostic models based on large cohort of international patients. MRC CRASH Trial Collaborators [Text] / BMJ. – 2008. – Vol. 336, N.7641. – P. 425-429. 3 26. Pediatric rehabilitation: principles and Practice / [edited by] Michael A. Alexander, Dennis J. Matthews; associate editor Kevin P. Murphy. – Fifth edition. – 622p. 3 27. Robertson CS, Zager EL, Narayan RK, Handly N, Sharma A, Hanley DF, Garza H, Maloney-Wilensky E, Plaum JM, Koenig CH, Johnson A, Morgan T.; Clinical Evaluation of a Portable Near-Infrared Device for Detection of Traumatic Intracranial Hematomas; J Neurotrauma 2010;27(9):1597-1604 28. Samuel F. Huth, Antony Slater, Michaela Waak, Karen Barlow, Sainath Raman // Predicting Neurological Recovery after Traumatic Brain Injury in Children: A Systematic Review of Prognostic Models / J Neurotrauma. – 2020. – Oct 15. – 37(20). P.2141-2149. DOI: 10.1089/neu.2020.7158. 2 29. Semenova ZhB, Marshintsev AV, Melnikov AV, Meshcheryakov SV, Adayev AR, Lukyanov VI.; Infrascanner TM in the diagnosis of intracranial lesions in children with traumatic brain injuries.; Brain Inj. 2016;30(1):18-22 30. Sharon Shaklai, Relly Peretz Fish, M. Simantov, Z. Groswasser // Prognostic factors in childhood-acquired brain injury // Brain Inj. – 2018. – 32(5). – P.533-539. DOI: 10.1080/02699052.2018.1431843. 31. Shirley I. Stiver, M.D., Ph.D., and Geoffrey T. Manley, M.D., Ph.D.: Prehospital management of traumatic brain injury; Neurosurg Focus 25 (4): E5, 2008 32. Woolf S. H. // Practice guidelines, a new reality in medicine. II. Methods of developing guidelines. // ArchInternMed. 1992 May;152(5):946-52. 33. Kambal M. A. et al. Managing traumatic brain injury in children: When do we need a computed tomography of the head? //Sudanese journal of paediatrics. – 2014. – Т. 14. – №. 1. – С. 89. 34. Pandor, A., Harnan, S., Goodacre, S., Pickering, A., Fitzgerald, P., & Rees, A. (2012). Diagnostic Accuracy of Clinical Characteristics for Identifying CT Abnormality after Minor Brain Injury: A Systematic Review and Meta-Analysis. Journal of Neurotrauma, 29(5), 707–718. doi:10.1089/neu.2011.1967 35. Saadat S. et al. Determinants of mortality in patients with traumatic brain injury //Ulus Travma Acil Cerrahi Derg. – 2012. – Т. 18. – №. 3. – С. 219-224. 36. Chong, S.-L., Barbier, S., Liu, N., Ong, G. Y.-K., Ng, K. C., & Ong, M. E. H. (2015). Predictors for moderate to severe paediatric head injury derived from a surveillance registry in the emergency department. Injury, 46(7), 1270–1274. doi:10.1016/j.injury.2015.04.002 37. Yanagawa Y. Studying patients of severe traumatic brain injury with severe abdominal injury in Japan //Journal of Emergencies, Trauma and Shock. – 2011. – Т. 4. – №. 3. – С. 355. 38. Ho C. H. et al. Impact of grouping complications on mortality in traumatic brain injury: A nationwide population-based study //PloS one. – 2018. – Т. 13. – №. 1. – С. e0190683. 39. Stewart T. C., Alharfi I. M., Fraser D. D. The role of serious concomitant injuries in the treatment and outcome of pediatric severe traumatic brain injury //Journal of trauma and acute care surgery. – 2013. – Т. 75. – №. 5. – С. 836-842. 40. Kamal H. M. et al. Fall of platelet count in children with traumatic brain injury: is it of value? //Chinese journal of traumatology. – 2011. – Т. 14. – №. 6. – С. 336-342. 41. Affonseca C. A. et al. Coagulation disorder in children and adolescents with moderate to severe traumatic brain injury //Jornal de pediatria. – 2007. – Т. 83. – С. 274-282. 42. Talving, P., Lustenberger, T., Lam, L., Inaba, K., Mohseni, S., Plurad, D., … Demetriades, D. (2011). Coagulopathy After Isolated Severe Traumatic Brain Injury in Children. The Journal of Trauma: Injury, Infection, and Critical Care, 71(5), 1205–1210. doi:10.1097/ta.0b013e31820d151d 43. Rahimi, S., Bidabadi, E., Mashouf, M., Seyed Saadat, S. M., & Rahimi, S. (2013). Prognostic value of arterial blood gas disturb-ances for in-hospital mortality in pediatric patients with severe traumatic brain injury. Acta Neurochirurgica, 156(1), 187–192. doi:10.1007/s00701-013-1929-0 44. Yang, K., Zhao, M., Sun, J., & Nie, X. (2021). Accuracy of PECARN decision rule in minor blunt head trauma in pediatric emergency department: A meta‐analysis. International Journal of Clinical Practice. doi:10.1111/ijcp.14586 45. Van Goethem, J. W. M., Maes, M., Özsarlak, Ö., van den Hauwe, L., & Parizel, P. M. (2005). Imaging in spinal trauma. European Radi-ology, 15(3), 582–590. doi:10.1007/s00330-004-2625-5 46. Tasker R. C. Skull x rays, CT scans, and making a decision in head injury //Archives of disease in childhood. – 2005. – Т. 90. – №. 8. – С. 774-775 47. Liesegang J., Siggelkow C., Weichert H. C. Computer tomographic and neurologic observations in the acute phase of closed craniocerebral injuries //Neurochirurgia. – 1984. – Т. 27. – №. 3. – С. 62-65. 48. Dash M. et al. ECG changes in pediatric patients with severe head injury //Journal of neurosurgical an-esthesiology. – 2003. – Т. 15. – №. 3. – С. 270-273. 49. Biyyam D. R. et al. CT Findings of Pediatric Handlebar Injuries //RadioGraphics. – 2020. – Т. 40. – №. 3. – С. 815-826. 50. Shang X. L., Zhang Y. Z., Zhang X. L. Diagnoses of bronchus and lung trauma by computed tomography and X-ray examination in 37 cases: a comparative study //Di 1 jun yi da xue xue bao= Academic Journal of the First Medical College of PLA. – 2002. – Т. 22. – №. 4. – С. 380-381.

Информация


Список сокращений

МКБ 10 – Международная классификация 10 пересмотра

ЧМТ – черепно-мозговая травма

АТФ – аденозинтрифосфат

ГЭБ – гематоэнцефалический барьер

СГМ – сотрясение головного мозга

СКТ – спиральная компьютерная томография

ШКГ – шкала комы Глазго

ДАП – Диффузное аксональное повреждение мозга

ВЧД – внутричерепное давление

ДТЧ – декомпрессивная трепанация черепа

ВЧГ – внутричерепная гипертензия

УЗИ – ультразвуковое исследование

ТМО – твердая мозговая оболочка

ТЧМТ – тяжелая черепно-мозговая травма

ОЭГ – острая эпидуральная гематома

КТ – компьютерная томография

МРТ – магнитно-резонансная томография

ЭКГ – регистрация электрокардиограммы

ЭЭГ – электроэнцефалография


Термины и определения

Доказательная медицина – подход к медицинской практике, при котором решения о применении профилактических, диагностических и лечебных мероприятий принимаются исходя из имеющихся доказательств их эффективности и безопасности, а такие доказательства подвергаются поиску, сравнению, обобщению и широкому распространению для использования в интересах пациентов.


Рабочая группа – двое или более людей одинаковых или различных профессий, работающих совместно и согласованно в целях создания клинических рекомендаций, и несущих общую ответственность за результаты данной работы. Состояние – изменения организма, возникающие в связи с воздействием патогенных и (или) физиологических факторов и требующие оказания медицинской помощи;


Уровень достоверности доказательств – отражает степень уверенности в том, что найденный эффект от применения медицинского вмешательства является истинным.


Уровень убедительности рекомендаций – отражает не только степень уверенности в достоверности эффекта вмешательства, но и степень уверенности в том, что следование рекомендациям принесет больше пользы, чем вреда в конкретной ситуации. Хирургическое вмешательство – инвазивная процедура, может использоваться в целях диагностики и/или как метод лечения заболеваний.


Стандарт – общепризнанные принципы диагностики и лечения, которые могут рассматриваться в качестве обязательной лечебной тактики (эффективность подтверждена несколькими рандомизированными исследованиями, мета-анализами или когортными клиническими исследованиями). Рекомендация. Лечебные и диагностические мероприятия, рекомендованные к использованию большинством экспертов по данным вопросам. Могут рассматриваться как варианты выбора лечения в конкретных клинических ситуациях (эффективность подтверждена отдельными рандомизированными исследованиями или когортными клиническими исследованиями).


Опция – лечебные или диагностические мероприятия, которые могут быть полезны (эффективность подтверждена мнением отдельных экспертов, в отдельных клинических случаях). Не рекомендуется – лечебные и диагностические мероприятия, не имеющие положительного эффекта или могущие принести вред (любой уровень подтверждения).
 

Критерии оценки качества медицинской помощи

№ п/п

Критерии качества

Оценка выполнения

1.

Выполнен осмотр врачом-нейрохирургом и/или врачом-травматологом-ортопедом и/или врачом-анестезиологом-реаниматологом не позднее 1 часа от момента поступления в стационар

Да/Нет

2.

Выполнена оценка состояния по шкале Глазго

Да/Нет

3.

Выполнена интубация трахеи и искусственная вентиляция легких (при состоянии по шкале Глазго 9 баллов и ниже)

Да/Нет

4.

Выполнен нейромониторинг, мониторинг дыхания, кровообращения, оксигенации крови (при состоянии по шкале Глазго 8 баллов и ниже)

Да/Нет

5.

Выполнена компьютерная томография головного мозга при наличии показаний не позднее 3 часов от момента поступления в стационар

Да/Нет

6.

Выполнена контрольная компьютерная томография и   магнитно-резонансная компьютерная томография головного мозга (при хирургическом вмешательстве по поводу внутричерепной гематомы)

Да/Нет

7

Выполнено нейрохирургическое вмешательство при наличии показаний к операции

Да\Нет

8

Выполнено удаление эпидуральной гематомы (при объеме эпидуральной гематомы объемом более 30 см3)

Да\Нет

 

Приложение А1. Состав рабочей группы по разработке и пересмотру клинических рекомендаций
 

  1. Семенова Жанна Борисовна, д.м.н, руководитель отделения нейрохирургии и нейротравмы НИИ неотложной детской хирургии и травматологии ДЗ г. Москвы, профессор кафедры детской нейрохирургии РМАНПО, главный внештатный специалист детский нейрохирург ДЗ г. Москвы и ЦФО Минздрава России

  2. Мельников Андрей Викторович, к.м.н, ведущий научный сотрудник отделения нейрохирургии и нейротравмы НИИ неотложной детской хирургии и травматологии ДЗ г Москвы

  3. Мещеряков Семен Владимирович, к.м.н, ведущий научный сотрудник отделения нейрохирургии и нейротравмы НИИ неотложной детской хирургии и травматологии ДЗ г Москвы

  4. Ахадов Толибджон Абдуллаевич, д.м.н., профессор, руководитель отделения лучевой диагностики НИИ неотложной детской хирургии и травматологии ДЗ г Москвы, Заслуженный врач РФ, Заслуженный деятель науки РФ.

  5. Саввина Ирина Александровна, д.м.н., профессор, главный научный сотрудник, руководитель отделения анестезиологии и реанимации нейрохирургического профиля № 12 ФГБУ "НМИЦ им. В.А. Алмазова" МЗ РФ, профессор кафедры анестезиологии и реаниматологии им. В.Л. Ваневского ГБОУ ВО "СЗГМУ им. И.И. Мечникова" МЗ РФ

  6. Лекманов Андрей Устинович, д.м.н., профессор, главный научный сотрудник НИИ хирургии детского возраста ГБОУ РНИМУ им. Н.И. Пирогова Минздрава России.

  7. Валиуллина Светлана Альбертовная, д.м.н., профессор, заместитель директора НИИ неотложной детской хирургии и травматологии ДЗ г Москвы, руководитель отделения восстановительного лечения, главный внештатный специалист детский реабилитолог ДЗ г Москвы.

  8. Понина Ирина Втальевна, педиатр отдела реабилитации. НИИ неотложной детской хирургии и травматологии ДЗ г Москвы

  9. Горелышев Сергей Кириллович, д.м.н., профессор, заведующий отделением детской нейрохирургии ФГАУ «ННПЦН им. ак. Н.Н. Бурденко» Минздрава России, главный внештатный детский специалист нейрохирург Минздрава России

  10. Хачатрян Вильям Арамович, д.м.н., профессор, руководитель отделения нейрохирургии детского возраста ФГБУ «СЗ НМИЦ им. В.А. Алмазова" МЗ РФ

Конфликт интересов отсутствует.



Приложение А2. Методология разработки клинических рекомендаций


В данных клинических рекомендациях все сведения ранжированы по уровню достоверности (доказательности) в зависимости от количества и качества исследований по данной проблеме.


Таблица 1. Шкала оценки уровней достоверности доказательств (УДД) для методов диагностики (диагностических вмешательств)

УДД

Расшифровка

1

Систематические обзоры исследований с контролем референсным методом или систематический обзор рандомизированных клинических исследований с применением мета-анализа

2

Отдельные исследования с контролем референсным методом или отдельные рандомизированные клинические исследования и систематические обзоры исследований любого дизайна, за исключением рандомизированных клинических исследований, с применением мета-анализа

3

Исследования без последовательного контроля референсным методом или исследования с референсным методом, не являющимся независимым от исследуемого метода или нерандомизированные сравнительные исследования, в том числе когортные исследования

4

Не сравнительные исследования, описание клинического случая

5

Имеется лишь обоснование механизма действия или мнение экспертов


Таблица 2. Шкала оценки уровней достоверности доказательств (УДД) для методов профилактики, лечения и реабилитации (профилактических, лечебных, реабилитационных вмешательств)

УДД

Расшифровка

1

Систематический обзор РКИ с применением мета-анализа

2

Отдельные РКИ и систематические обзоры исследований любого дизайна, за исключением РКИ, с применением мета-анализа

3

Не рандомизированные сравнительные исследования, в т.ч. когортные исследования

4

Не сравнительные исследования, описание клинического случая или серии случаев, исследования «случай-контроль»

5

Имеется лишь обоснование механизма действия вмешательства (доклинические исследования) или мнение экспертов


Таблица 3. Шкала оценки уровней убедительности рекомендаций (УУР) для методов профилактики, диагностики, лечения и реабилитации (профилактических, диагностических, лечебных, реабилитационных вмешательств)

УУР

Расшифровка

A

Сильная рекомендация (все рассматриваемые критерии эффективности (исходы) являются важными, все исследования имеют высокое или удовлетворительное методологическое качество, их выводы по интересующим исходам являются согласованными)

B

Условная рекомендация (не все рассматриваемые критерии эффективности (исходы) являются важными, не все исследования имеют высокое или удовлетворительное методологическое качество и/или их выводы по интересующим исходам не являются согласованными)

C

Слабая рекомендация (отсутствие доказательств надлежащего качества (все рассматриваемые критерии эффективности (исходы) являются неважными, все исследования имеют низкое методологическое качество и их выводы по интересующим исходам не являются согласованными)


Методы, использованные для формулирования рекомендаций – консенсус экспертов. Анализ стоимости не проводился и публикации по фармакоэкономике не анализировали.

Порядок обновления клинических рекомендаций каждые 3 года.



Приложение А3. Справочные материалы, включая соответствие показаний к применению и противопоказаний, способов применения и доз лекарственных препаратов, инструкции по применению лекарственного препарата


Данные клинические рекомендации разработаны с учётом следующих нормативно-правовых документов:

  1. Приказ Министерства Здравоохранения Российской Федерации от 15 ноября 2012 г. № 931н «Об утверждении порядка оказания медицинской помощи взрослому населению по профилю "нейрохирургия"».

  2. Приказ Министерства Здравоохранения Российской Федерации от 15 ноября 2012 г. № 927н «Об утверждении порядка оказания медицинской помощи пострадавшим с сочетанными, множественными и изолированными травмами, сопровождающимися шоком».

  3. Приказ Министерства Здравоохранения Российской Федерации от 20 июня 2013 г. № 388н «об утверждении порядка оказания скорой, в том числе скорой специализированной, медицинской помощи».

  4. Постановление Правительства Российской Федерации от 24.07.2000 № 554 "Об утверждении Положения о государственной санитарно-эпидемиологической службе Российской Федерации и Положения о государственном санитарно-эпидемиологическом нормировании" (Собрание законодательства Российской Федерации, 2000, № 31, ст. 3295; 2004, № 8, ст. 663; № 47, ст. 4666; 2005, № 39, ст. 3953)

  5. Приказ Министерства здравоохранения Российской Федерации от 31 июля 2020 г. № 788н "Об утверждении Порядка организации медицинской реабилитации взрослых" (зарегистрирован Министерством юстиции Российской Федерации 25 сентября 2020 г., регистрационный № 60039).

  6. Приказ Министерства труда и социальной защиты Российской Федерации от 3 сентября 2018 г. № 572н "Об утверждении профессионального стандарта "Специалист по медицинской реабилитации" (зарегистрирован Министерством юстиции Российской Федерации 17 сентября 2018 г., регистрационный N 52162).



Приложение Б. Алгоритмы действий врача


Алгоритм обследования пострадавших детей с легкой и среднетяжелой ЧМТ в условиях приемного отделения.


Таблица 3. Протокол проведения МРТ при ЧМТ для томографа 1,5 Т.


Примечания к таблице 3

  • Соблюдайте порядок импульсных последовательностей.

  • Последовательности 2DFLAIR, 2DT2 выполняются с прямоугольным полем обзора.

  • Фильтры нормализации при предварительном сканировании и коррекции искажений отключены во всех последовательностях.


Таблица 4. Протокол проведения МРТ при ЧМТ для томографа 3,0 Т.


Примечания к таблице 4:

  • Соблюдайте порядок импульсных последовательностей.

  • Последовательности 2DFLAIR, 2DT2 выполняются с прямоугольным полем обзора.

  • Фильтры нормализации при предварительном сканировании и коррекции искажений отключены во всех последовательностях.


Таблица 5. Алгоритм базовой и ВЧД ориентированной терапии детей с ТЧМТ


Таблица 6. Алгоритм принятия решения и выполнения декомпрессивной краниэктомии



Приложение В. Информация для пациента


Следует различать осложнения и последствия ЧМТ. К осложнениям ЧМТ относятся патологические, прежде всего гнойно-воспалительные процессы. Развитие осложнений у пациентов с черепно-мозговой травмой могут стать причиной летального исхода, глубокой инвалидизации с увеличением срока лечения, необходимости повторной госпитализации в стационар. Различного рода осложнения возникают у 5-10% пациентов с детского возраста ЧМТ. Знание этих осложнений и применяемые профилактические и лечебные меры позволяют улучшить прогноз и исход травматической болезни мозга. Для контроля осложнений необходимо находиться под наблюдением врача до полной стабилизации состояния пациента.


Последствия ЧМТ непосредственно связаны с самой травмой и гибелью нейронов в момент получения травмы. Тяжесть последствий напрямую зависит от тяжести травмы. Это эволюционно предопределенный и генетически закрепленный комплекс процессов в ответ на повреждение головного мозга и его покровов. К последствиям также относятся стойкие нарушения анатомической целости головного мозга, его оболочек и костей свода и основания черепа, возникшие вследствие черепно-мозговой травмы. В ряде случаев последствия черепно-мозговой травмы предполагают только хирургическое лечение. Своевременно выполненное хирургическое вмешательство позволяет оптимизировать прогноз и исход травмы.



Приложение Г1-ГN. Шкалы оценки, вопросники и другие оценочные инструменты состояния пациента, приведенные в клинических рекомендациях


Приложение Г1. Шкала комы Глазго

Название на русском языке: Шкала комы Глазго

Оригинальное название (если есть): Glasgowcomascale

Источник (официальный сайт разработчиков, публикация с валидацией): Buyukcam F. et al. Predicting the outcome in children with head trauma: comparison of FOUR score and Glasgow Coma Scale //Ulusal Travma Ve Acil Cerrahi Dergisi-Turkish Journal Of Trauma & Emergency Surgery. – 2012. – Т. 18. – №. 6.

Тип: шкала оценки

Назначение: для оценки уровня бодрствования


Содержание (шаблон):

Открывание глаз

Речевая реакция

Двигательная реакция

1 – нет

1 – нет

1 – нет

2 – на боль

2 – стоны или вздохи, речи нет

2 – разгибание на боль

3 – на звук

3 – раздельные слова

3 – сгибание на боль

4 – спонтанное

4 – фразовая речь

4 – отдергивание на боль

 

5 – развернутая речь

5 – локализация боли

 

 

6 – выполнение инструкций


Ключ (интерпретация):

Баллы суммируются. Возможный результат от 3 до 15.

15 баллов – ясное сознание

13-14 баллов – умеренное оглушение

11-12 баллов – глубокое оглушение

9-10 баллов – сопор

7-8 баллов – умеренная кома

4-6 балла – глубокая кома

3 балла – терминальная кома



Приложение Г2. Педиатрическая шкала комы Глазго

Название на русском языке: Педиатрическая шкала комы Глазго (для детей младше 4-х лет)

Оригинальное название (если есть):

Источник

Teasdale G, Jennett B. Assessment of coma and impaired consciousness. A practical scale. Lancet 1974,

Morray JP et al: Coma scale for use in brain-injured children. CriticalCareMedicine 12:1018, 1984. doi: 10.1097/00003246-198412000-00002 [152, 153]

Тип: шкала оценки

Назначение: для оценки уровня бодрствования


Содержание (шаблон):

Открывание глаз

Речевая реакция

Двигательная реакция

1 – нет

1 – отсутствует

1 – отсутствует

2 – на боль

2 – не успокаивается при плаче, беспокоен

2 – патологическое разгибание на боль

3 – на звук

3 – при плаче успокаивается, но ненадолго, стонет

3 – патологическое сгибание на боль

4 – спонтанное

4 – ребёнка при плаче можно успокоить, интерактивность неполноценная

4 – отдергивание на боль

 

5 – ребёнок улыбается, ориентируется на звук, следит за объектами, интерактивен

5 – локализация боли

 

 

6 – выполнение инструкций


Ключ (интерпретация):

Баллы суммируются. Возможный результат от 3 до 15.

15 баллов – ясное сознание

13-14 баллов – умеренное оглушение

11-12 баллов – глубокое оглушение

9-10 баллов – сопор

7-8 баллов – умеренная кома

4-6 балла – глубокая кома

3 балла – терминальная кома



Приложение Г3. КТ шкала Мarshall

Название на русском языке:

Оригинальноеназвание (еслиесть): Marshall computed tomographic classification

Источник (официальный сайт разработчиков, публикация с валидацией): Marshall L. F. et al. The diagnosis of head injury requires a classification based on computed axial tomography //J neurotrauma. – 1992. – Т. 9. – №. Suppl 1. – С. S287-S292.

Тип: шкала оценки

Назначение: оценить тяжесть травмы и определить тактику лечения.


Содержание (шаблон) и Ключ (интерпретация):

I

Нет видимой патологии

II

Диффузное повреждение (прослеживаются цистерны, смещение срединных структур 0-5мм и/или небольшой (<25см3) высокой или гетерогенной интенсивности очаг)

III

Диффузное повреждение и отек

IV

Диффузное повреждение и смещение

V

Эвакуированное объемное повреждение

VI

Не эвакуированное объемное повреждение >25см3



Приложение Г4. Бальная прогностическая КТ шкала

Название на русском языке: Бальная прогностическая КТ шкала

Оригинальное название (если есть): RotterdamCTscore

Источник (официальный сайт разработчиков, публикация с валидацией): Maas AI, Hukkelhoven CW, Marshall LF, Steyerberg EW. Prediction of outcome in traumatic brain injury with computed tomographic characteristics: a comparison between the computed tomographic classification and combinations of computed tomographic predictors. Neurosurgery. 57 (6): 1173-82; discussion 1173-82.

Тип: шкала оценки

Назначение: оценка тяжести повреждения и прогноз


Содержание (шаблон):

Базальные цистерны: 0 – не сдавлены, 1 – сдавлены, 2 – отсутствуют

Смещение срединных структур: 0 – нет или ≤5 mm, 1 – >5 mm

Эпидуральная гематома ≥25 мл: 0 – есть, 1 – нет

ВЖК или САК: 0 – нет, 1 - есть


Ключ (интерпретация):

Инструкция: после подсчета к сумме добавить еще 1 балл. Летальность через 6 месяцев после травмы

  • 1 балл: 0%

  • 2 балла: 7%

  • 3 балла: 16%

  • 4 балла: 26%

  • 5 баллов: 53%

  • 6 баллов: 61%



Приложение Г5. Классификация повреждений ствола R. Firsching

Название на русском языке: Классификация повреждений ствола R. Firsching

Оригинальноеназвание (еслиесть): Classification of Severe Head Injury Based on Magnetic Resonance Imaging

Источник (официальный сайт разработчиков, публикация с валидацией): Firsching R. et al. Classification of severe head injury based on magnetic resonance imaging //Acta neurochirurgica. – 2001. – Т. 143. – №. 3. – С. 263-271.

Тип: шкала оценки

Назначение: оценка тяжести повреждения, прогноз


Содержание (шаблон) и ключ (интерпретация):

Уровень повреждения

Градация

Только супратенториальные повреждения

Grade I

Односторонние повреждения ствола мозга на любом уровне ± супратенториальные повреждения

Grade II

Двухсторонние повреждения среднего мозга ± супратенториальные повреждения

Grade III

Двухсторонние повреждения моста ±

повреждения предыдущих групп

Grade IV



Приложение Г6. Шкала исходов Глазго

Название на русском языке: Шкала исходов Глазго

Оригинальное название (если есть): Glasgow Outcome Scale

Источник (официальный сайт разработчиков, публикация с валидацией): Crouchman M. et al. A practical outcome scale for paediatric head injury //Archives of disease in childhood. – 2001. – Т. 84. – №. 2. – С. 120-124.

Тип: шкала оценки

Назначение: оценка исходов пациента


Содержание (шаблон) и ключ (интерпретация):

Исход

Градация

Смерть

1

Стойкое вегетативное состояние.

Пациент не проявляет никаких корковых функций.

2

Тяжелая инвалидизация

В повседневной жизнедеятельности пациент зависит от окружающих в связи с умственными или физическими нарушениями или их сочетанием.

3

Умеренная инвалидизация

Пациент независим в повседневной жизни. Инвалидизация включает различные степени афазии, гемипареза или атаксии, равно как и нарушения интеллекта и памяти или личностные изменения.

4

Хорошее восстановление

Восстановление нормальной деятельности, даже несмотря на возможное наличие минимального неврологического или психологического дефицита.

5



Приложение Г7. Расширенная шкала исходов Глазго

Название на русском языке: Расширенная шкала исходов Глазго

Оригинальное название (если есть): Glasgow Outcome Scale–Extended

Источник (официальный сайт разработчиков, публикация с валидацией): Beers S. R. et al. Validity of a pediatric version of the Glasgow Outcome Scale–Extended //Journal of neurotrauma. – 2012. – Т. 29. – №. 6. – С. 1126-1139.

Тип: шкала оценки

Назначение: ценка состояния


Содержание (шаблон) и ключ (интерпретация) :

Расширенная ШИГ

Градация

Смерть в первые сутки

1

Смерть в течение месяца

2

Вегетативное состояние

3

Тяжелая нейромышечная несостоятельность

4

Тяжелая познавательная несостоятельность

5

Умеренная несостоятельность

6

Легкая несостоятельность

7

Хорошее восстановление

8

Полное восстановление

9

Пояснение: оценка выполняется в течение 1месяца после травмы



Приложение Г8. Шкала комы FOUR (Full Outline of Un Responsiveness)

Название на русском языке: Шкала комы FOUR

Оригинальноеназвание (еслиесть): FOUR (Full Outline of UnResponsiveness)

Источник (официальный сайт разработчиков, публикация с валидацией): Buyukcam F. et al. Predicting the outcome in children with head trauma: comparison of FOUR score and Glasgow Coma Scale //Ulusal Travma Ve Acil Cerrahi Dergisi-Turkish Journal Of Trauma & Emergency Surgery. – 2012. – Т. 18. – №. 6.

Тип: шкала оценки


Назначение: детализирует неврологический статус, распознает синдром запертого человека, дает оценку рефлексам ствола мозга, дает оценку дыхательному паттерну, выявляет различные стадии дислокации (вклинения) мозга. Шкала комы FOUR предоставляет дополнительную информацию о прогнозе у больных с низким баллом по шкале комы Глазго


Содержание (шаблон): Шкала комы FOUR включает 4 параметра с максимальной оценкой «4» по каждому из них: глазные реакции (открывание глаз и слежение), двигательные реакции (ответ на боль и выполнение простых команд), стволовые рефлексы (зрачковый, роговичный и кашлевой) и дыхательные паттерны (ритм дыхания и дыхательные попытки у пациентов на аппарате ИВЛ).

1. Глазные реакции (E)

Глаза открыты, слежение и мигание по команде 4 балла

Глаза открыты, но нет слежения 3 балла

Глаза закрыты, открываются на громкий звук, но слежения нет 2 балла

Глаза закрыты, открываются на боль, но слежения нет 1 балл

Глаза остаются закрытыми в ответ на боль 0 баллов

2. Двигательные реакции (M)

Выполняет команды (знак отлично, кулак, знак мира) 4 балла

Локализует боль 3 балла

Сгибательный ответ на боль 2 балла

Разгибательная поза на боль 1 балл

Нет ответа на боль или генерализованный миоклонический эпистатус 0 баллов

3. Стволовые рефлексы (B)

Зрачковый и корнеальный рефлексы сохранены 4 балла

Один зрачок расширен и не реагирует на свет 3 балла

Зрачковый или роговичный рефлексы отсутствуют 2 балла

Зрачковый и роговичный рефлексы отсутствуют 1 балл

Отсутствуют зрачковый, роговичный и кашлевой рефлексы 0 баллов

4. Дыхательный паттерн (R)

Не интубирован, регулярное дыхание 4 балла

Не интубирован, дыхание Чейн-Стокса 3 балла

Не интубирован, нерегулярное дыхание 2 балла

Сопротивляется аппарату ИВЛ 1 балл

Полностью синхронен с аппаратом ИВЛ или апноэ 0 баллов


Ключ (интерпретация):

Максимальное число баллов по шкале FOUR – 16, минимальное – 0.

16 – Ясное сознание

15 – Умеренное оглушение

13-14 – Глубокое оглушение

9-12 – Сопор

7-8 – Кома I

1-6 – Кома II

0 – Кома III

Пояснение: шкала комы FOUR разработана в Майо Клиник и представлена Э. Ф. Виждиксом и коллегами в 2005 году. Многочисленные исследования подтвердили валидность этой шкалы в условиях отделения нейрореанимации.



Приложение Г9. Шкала классификации сочетанной травмы ISS

Название на русском языке: Шкала классификации сочетанной травмы ISS

Оригинальное название (если есть):

Источник (официальный сайт разработчиков, публикация с валидацией): Brown J. B. et al. The value of the injury severity score in pediatric trauma: time for a new definition of severe injury? //The journal of trauma and acute care surgery. – 2017. – Т. 82. – №. 6. – С. 995.

Тип (подчеркнуть): шкала оценки

Назначение: 0ценка тяжести повреждений


Содержание (шаблон) и ключ (интерпретация):

(перевод баллов AISв баллы ISS)

Легкая (незначительная) <=8

Средняя степень 9-15

Тяжелая степень 16-24

Критическая >=25


Прикреплённые файлы

1. ( КР493_3_Черепно-мозговая_травма_у_детей.pdf )
Отправить файл себе на почту

Внимание!

  • Занимаясь самолечением, вы можете нанести непоправимый вред своему здоровью.  
  • Информация, размещенная на сайте MedElement и в мобильных приложениях "MedElement (МедЭлемент)", "Lekar Pro", "Dariger Pro", "Заболевания: справочник терапевта", не может и не должна заменять очную консультацию врача. Обязательно обращайтесь в медицинские учреждения при наличии каких-либо заболеваний или беспокоящих вас симптомов.  
  • Выбор лекарственных средств и их дозировки, должен быть оговорен со специалистом. Только врач может назначить нужное лекарство и его дозировку с учетом заболевания и состояния организма больного.  
  • Сайт MedElement и мобильные приложения "MedElement (МедЭлемент)", "Lekar Pro", "Dariger Pro", "Заболевания: справочник терапевта" являются исключительно информационно-справочными ресурсами. Информация, размещенная на данном сайте, не должна использоваться для самовольного изменения предписаний врача.  
  • Редакция MedElement не несет ответственности за какой-либо ущерб здоровью или материальный ущерб, возникший в результате использования данного сайта.
На главную
Наверх