Комбинированные врожденные и приобретенные дефекты и деформации челюстно-лицевой локализации
Версия: Клинические рекомендации РФ 2025 (Россия)
Общая информация
Краткое описание
Разработчик клинической рекомендации
Ассоциация общественных объединений "Стоматологическая Ассоциация России",
ООО «Общество специалистов в области челюстно-лицевой хирургии»
Одобрено Научно-практическим Советом Минздрава России
Клинические рекомендации
Комбинированные врожденные и приобретенные дефекты и деформации челюстно-лицевой локализации
Год утверждения (частота пересмотра): 2025
Пересмотр не позднее: 2027
Возрастная категория: Дети
Определение заболевания или состояния (группы заболеваний или состояний)
Приобретённые дефекты и деформации мягких тканей и костей челюстно-лицевой локализации – это изъяны тканей, возникающие вследствие заболеваний, травм или последствий лечения, характеризующиеся нарушением целостности костных структур и мягких тканей лица, сопровождающиеся рубцовыми изменениями слизистой оболочки полости рта, носо-, рото- и гортаноглотки и стойкими нарушениями функции жевательного и речевого аппарата, приводящие к утрате исходного эстетического внешнего вида, ухудшению качества жизни и социальной дезадаптации человека.
Травмы ЧЛО у детей сопровождаются не только значительными повреждениями ее остром периоде, но и последствиями, связанными с задержкой развития и роста тканей лица и челюстей, вызывая устойчивые посттравматические деформации.
Врожденные дефекты и деформации мягких тканей и костей челюстно-лицевой области у детей – это изменения, которые возникают в результате аномалий развития, проявляющиеся в нарушении структуры и функции тканей лица. Эти дефекты могут включать как мягкие ткани (например, кожу и слизистые оболочки), так и костные структуры.
Особенности кодирования заболевания или состояния (группы заболеваний или состояний) по Международной статистической классификации болезней и проблем, связанных со здоровьем
M19.0 Первичный артроз других суставов
M19.1 Посттравматический артроз других суставов
M19.2 Другой вторичный артроз
M19.8 Другой уточненный артроз
Классификация
Классификация заболевания или состояния (группы заболеваний или состояний)
1. По этиологии
1) Посттравматические – как результат воздействия физических факторов: механической травмы (огнестрельной и неогнестрельной (в том числе производственной (промышленной и сельскохозяйственной) и непроизводственной (бытовой, уличной, спортивной, транспортной, операционной)); термической (ожогов и обморожений); электротравмы; химической травмы: кислотами, щелочами и другими агрессивными веществами.
2) Послеоперационные – после удаления доброкачественных и злокачественных опухолей и опухолеподобных образований;
3) Постинфекционные – после перенесённых инфекций (неспецифических и специфических гнойно-воспалительных процессов мягких тканей и костей лицевого черепа) и некрозы тканей в результате выраженных расстройств кровообращения;
4) После лучевого воздействия на ткани челюстно-лицевой области;
5) Костный (остеонекроз или бифосфатный) некроз челюстей;
6) После асептического воспаления;
7) Врожденные дефекты челюстно-лицевой области.
2. По локализации
Существует множество классификаций, описывающих дефекты нижней челюсти, разработанных различными авторами (Дунаевский В.А., 1957; Павлов Б.Л., 1972; Ходорковский М.А., 1999; Матякин А.Е., А.А. Уваров и др., 1993; David d et al., 1989; Carion J.L., Payement G. et al., 1994). Эти классификации были созданы в контексте использования аваскулярных костных трансплантатов, однако некоторые из них остаются актуальными и в настоящее время.
Выбор донорской зоны для забора васкуляризированного костного трансплантата зависит от локализации дефекта нижней челюсти, что делает необходимым использование системы деления челюсти на сектора. Наиболее широко применяется классификация J.B. Boyd et al. (1991), которая основывается на величине поражения и вовлечении в дефект «ключевых зон» (мыщелковый отросток, угол нижней челюсти и подбородочный отдел). Эстетические и функциональные результаты операции во многом зависят от точного восстановления этих участков.
Классификация J.B. Boyd основана на системе, предложенной Б.Л. Павловым в 1972 году, и выделяет три сектора нижней челюсти (Рисунок 1):
H – боковые дефекты любой длины в области ветви с суставной головкой, углом и половиной подбородка (включает 1, 2 или 3 «ключевые зоны»);
L – дефекты аналогичные сектору H, но без мыщелкового отростка (включает 1 или 2 «ключевые зоны»);
C – дефекты центрального сегмента, содержащего 4 резца и 2 клыка (включает 1 «ключевую зону»).
Комбинации этих обозначений возможны (например, дефект от угла до угла обозначается как LCL). С точки зрения хирургической тактики такое деление позволяет точно определить количество необходимых остеотомий.

Рисунок 1. Классификация J.B. Boyd
В 1993 году J.B. Boyd с соавторами предложили дополнить классификацию обозначениями для утраченных околочелюстных мягких тканей: «с» – дефект кожи, «м» – слизистой оболочки, «sm» – кожи и слизистой оболочки.
Некоторые хирурги отмечают недостаток классификации J.B. Boyd в том, что она не учитывает множество возможных вариантов дефектов нижней челюсти в рамках одного класса и не предоставляет информации о локализации мягкотканевых дефектов, которые часто сопровождают костные у онкологических пациентов. Однако этот недостаток может рассматриваться как преимущество, упрощающее классификацию. Например, при опухоли в области дна рта при половинной резекции нижней челюсти у онкологического больного необходимо формировать малоберцовый трансплантат с большим мягкотканевым компонентом для успешной реконструкции как костной структуры нижней челюсти, так и мягких тканей со стороны полости рта. Аналогичные принципы применимы к другим локализациям опухолей и выбору наиболее подходящего трансплантата.
В настоящее время наиболее распространенной при оценке дефектов верхней челюсти является классификации J. S. Brown и R. J. Shaw (2010) (Рисунок 2), в которой, кроме дефекта костных структур, дополнительно учитывают все его составляющие: покровные ткани, ротоглотку, основание черепа, твёрдую мозговую оболочку. Предложены следующие символы для обозначения дефектов:
– верхней челюсти – MXD,
– покровных тканей и кожи – S,
– глотки – Ph,
– основания черепа – Bs,
– твёрдой мозговой оболочки – Dm.
Такой подход необходим для определения тактики реконструкции и выбора аутотрансплантата в зависимости от составляющих дефекта.

Рисунок 2. Модифицированная классификация дефектов верхней челюсти J.S. Brown и R.J. Shaw.

Рисунок 3. Классификация дефектов верхней челюсти, предложенная в 2010 г. Z. Durrani и соавт. (адаптировано из [14]): а – альвеоэктомия, б, в, г, д – максиллэктомия субтотальная, тотальная, радикальная, сочетанная соответственно.
Этиология и патогенез
Этиология и патогенез заболевания или состояния (группы заболеваний или состояний)
Врожденные дефекты могут быть обусловлены следующими факторами:
-
Генетические факторы. Наследственные заболевания и мутации могут приводить к аномалиям развития челюстно-лицевой области. Например, синдромы, такие как синдром Гольденхара, синдром Патау и другие, могут быть связаны с врожденными дефектами.
-
Экологические факторы. Воздействие неблагоприятных факторов окружающей среды во время беременности (например, токсические вещества, радиация) может нарушить нормальное развитие плода.
-
Инфекционные агенты. Инфекции, перенесенные матерью во время беременности (например, краснуха, цитомегаловирус), могут привести к аномалиям в развитии челюстно-лицевой области у ребенка.
-
Недостаток питательных веществ. Дефицит витаминов и минералов (например, фолиевой кислоты) в период беременности может способствовать развитию врожденных дефектов.
Приобретенные дефекты могут возникать у детей вследствие следующих причин:
-
Травмы. Переломы и повреждения мягких тканей челюстно-лицевой области в результате несчастных случаев или травм могут привести к приобретенным деформациям.
-
Заболевания. Воспалительные процессы (например, остеомиелит), опухоли или другие патологии могут вызывать разрушение костной ткани и мягких тканей.
-
Хирургические вмешательства. Операции на челюстно-лицевой области (например, удаление опухолей или зубов) могут привести к образованию рубцов и деформациям.
-
Инфекции. Некоторые инфекции (например, паротит или герпес) могут вызывать воспаление и повреждение тканей лица.
К патогенетическим причинам врожденных дефектов относятся:
-
Нарушение эмбрионального развития. В результате генетических или экологических факторов происходит сбой в процессе формирования тканей и органов в ранние сроки беременности.
-
Аномалии миграции клеток. Неправильная миграция клеток во время эмбриогенеза может приводить к недостаточному развитию или неправильному расположению структур челюстно-лицевой области.
-
Дисфункция молекулярных сигналов. Нарушения в молекулярных сигналах, отвечающих за развитие тканей, могут приводить к аномалиям.
Приобретенные дефекты могут быть обусловлены:
-
Вторичные изменения тканей. Травмы или заболевания приводят к разрушению нормальной структуры тканей, что вызывает воспалительные реакции и образование рубцов.
-
Компенсаторные механизмы. При утрате функции отдельных структур (например, зубов) могут происходить изменения в смыке зубов и положении челюсти.
-
Хронические воспалительные процессы. Длительное воспаление может приводить к деструкции костной ткани и изменению анатомии челюстно-лицевой области.
Во всех случаях необходимо учитывать индивидуальные особенности пациента для выбора оптимального подхода к лечению и реабилитации.
Эпидемиология
Эпидемиология заболевания или состояния (группы заболеваний или состояний)
Врожденные пороки челюстно-лицевой системы у детей представляют собой значимую проблему в области педиатрической стоматологии и челюстно-лицевой хирургии. Эти пороки могут варьироваться от незначительных аномалий до серьезных деформаций, требующих комплексного лечения. Эпидемиология врожденных пороков челюстно-лицевой системы показывает, что их распространенность составляет примерно 1-3% среди новорожденных, что делает их одними из наиболее распространенных аномалий развития.
Наиболее часто встречающимися врожденными пороками являются заячья губа и волчья пасть. Эти аномалии могут проявляться как изолированно, так и в сочетании друг с другом. Заячья губа встречается у 1 из 1000-1500 новорожденных, тогда как волчья пасть имеет аналогичную частоту. Эти пороки чаще наблюдаются у мальчиков, хотя волчья пасть может встречаться с равной частотой у обоих полов.
Другие врожденные аномалии челюстно-лицевой системы включают микрогнатию, макрогнатию, а также различные формы дисплазии и асимметрии лица. Микрогнатия, например, может быть связана с синдромами, такими как синдром Патау или синдром Тричера Коллинза. Частота этих аномалий варьируется в зависимости от географического региона и этнической принадлежности.
Факторы риска для развития врожденных пороков челюстно-лицевой системы включают генетическую предрасположенность, воздействие тератогенных факторов во время беременности (таких как алкоголь, наркотические средства или некоторые медикаменты), а также наличие сопутствующих заболеваний у матери. Например, женщины с диабетом или ожирением имеют повышенный риск рождения ребенка с врожденными аномалиями.
Важно отметить, что ранняя диагностика и мультидисциплинарный подход к лечению таких пороков могут значительно улучшить качество жизни детей и их семей. Современные методы визуализации, такие как ультразвуковое исследование и магнитно-резонансная томография, позволяют выявлять некоторые из этих аномалий еще до рождения ребенка. После рождения необходима комплексная оценка состояния ребенка с привлечением специалистов различных профилей – врачей-детских хирургов, врачей-ортодонтов и медицинских логопедов – для разработки индивидуального плана лечения.
Доброкачественные опухоли эпителиального происхождения у детей встречаются достаточно часто, особенно в возрасте от 5 до 15 лет. Одной из наиболее распространенных является амелобластома, которая составляет около 18% всех доброкачественных опухолей и опухолеподобных образований челюстей. Эта опухоль чаще локализуется на нижней челюсти, особенно в области ее угла и ветви. Остеобластокластома, хотя и практически не встречается у детей до 12 лет, может быть диагностирована у подростков и составляет 15-20% всех доброкачественных опухолей костей.
Миксома также является одной из наиболее распространенных опухолей челюстно-лицевой области у детей и подростков, чаще всего обнаруживаясь в возрасте от 10 до 30 лет с равной частотой поражения верхней и нижней челюстей. Удельная составляющая миксомы составляет около 8%. Фиброзная дисплазия выявляется чаще в период прорезывания постоянных зубов и полового созревания, когда происходит активизация эндокринной системы и интенсивный рост челюстей и других костей лицевого скелета.
Среди травм наиболее часто встречаются бытовые травмы. Мальчики чаще подвергаются бытовым травмам по сравнению с девочками, особенно в возрасте от 5 до 15 лет, когда они наиболее активны. Транспортные травмы также имеют место среди детей, особенно в теплое время года (апрель-сентябрь), и они чаще встречаются у мальчиков. Огнестрельные ранения с повреждением костей составляют около 10-15%, но их частота среди детей значительно ниже по сравнению со взрослыми. Производственные травмы среди детей встречаются реже, но могут иметь место в случае несчастных случаев на производстве или во время трудового обучения.
Остеомиелитический процесс может развиваться у детей всех возрастов, но чаще всего он наблюдается в подростковом возрасте (от 12 до 18 лет), причем остеомиелит у мальчиков встречается чаще, чем у девочек. Локализация остеомиелита также имеет свои особенности: остеомиелит верхней челюсти составляет около 15% всех случаев, тогда как остеомиелит нижней челюсти – около 85%. Одонтогенный остеомиелит нижней челюсти встречается чаще (68%) по сравнению с верхней (32%). Частота встречаемости бисфосфонатного остеонекроза среди детей, получающих препараты на основе золедроновой кислоты** (бисфосфонаты), составляет от 11 до 27%. Остеорадионекроз нижней челюсти также наблюдается чаще, чем верхней, и составляет от 10% до 40% среди пациентов детского возраста, которые получали лучевую терапию в области головы и шеи.
Частичное вторичное отсутствие зубов (потеря зубов вследствие несчастного случая, удаления или локализованного пародонтита) наиболее часто встречающаяся патология, которая может сопровождаться атрофией альвеолярного отростка (части) челюсти. Является одним из самых распространённых заболеваний: по данным Всемирной организации здравоохранения, им страдают до 75% населения в различных регионах земного шара и встречается во всех возрастных группах пациентов.
Клиническая картина
Cимптомы, течение
Клиническая картина заболевания или состояния (группы заболеваний или состояний)
Как при приобретенных, так и при врожденных дефектах челюстно-лицевой области, могут иметь место следующие нарушения:
-
Нарушение целостности тканей. Врожденные и приобретённые дефекты могут проявляться в виде аномалий, таких как заячья губа или волчья пасть, а также других изменений, которые затрагивают как мягкие, так и костные ткани.
-
Функциональные нарушения. Дети с такими изменениями могут сталкиваться с трудностями при жевании, глотании и произнесении слов. Это связано с тем, что аномалии в строении челюсти и лица могут мешать нормальному функционированию ротовой полости.
-
Эстетические изменения. Врожденные и приобретенные дефекты могут значительно влиять на внешний вид ребенка, что может вызвать у него неуверенность в себе и затруднения в общении с другими детьми.
-
Качество жизни. Дети с такими изменениями могут испытывать дискомфорт и ограничения в своих действиях, что может повлиять на их игры и взаимодействие со сверстниками.
Приобретенные и врожденные дефекты челюстно-лицевой области могут вызывать ряд серьезных нарушений, которые затрагивают как физическое, так и психологическое состояние ребенка. Одним из наиболее заметных аспектов является нарушение целостности тканей. Врожденные аномалии, такие как заячья губа или волчья пасть, представляют собой примеры изменений, которые могут затрагивать как мягкие, так и костные ткани. Эти дефекты могут варьироваться по степени выраженности и локализации, что в свою очередь влияет на подходы к их лечению и реконструкции.
Функциональные нарушения также являются важной составляющей проблемы. Дети с такими изменениями часто сталкиваются с трудностями при жевании, глотании и произнесении слов. Аномалии в строении челюсти и лица могут препятствовать нормальному функционированию ротовой полости, что приводит к затруднениям в выполнении базовых жизненных функций. Эти функциональные ограничения могут негативно сказаться на питании ребенка и его способности к социализации.
Эстетические изменения, вызванные врожденными или приобретенными дефектами, также играют значительную роль в жизни ребенка. Внешний вид может существенно изменяться из-за аномалий в строении лица, что может привести к снижению самооценки и неуверенности в себе. Дети с такими изменениями могут испытывать трудности в общении со сверстниками, что может усугубить их социальную изоляцию и привести к эмоциональным проблемам.
Качество жизни детей с дефектами челюстно-лицевой области также может значительно пострадать. Они могут испытывать дискомфорт и ограничения в своих действиях, что влияет на их способность участвовать в играх и взаимодействовать с другими детьми. Эти ограничения могут привести к снижению уровня активности и общему ухудшению психоэмоционального состояния ребенка.
Таким образом, врожденные и приобретенные дефекты челюстно-лицевой области представляют собой комплексную проблему, требующую междисциплинарного подхода для эффективного лечения и реабилитации детей. Необходимость учета всех этих аспектов подчеркивает важность ранней диагностики и своевременного вмешательства для минимизации негативных последствий для здоровья и качества жизни ребенка.
Диагностика
Диагностика заболевания или состояния (группы заболеваний или состояний) медицинские показания и противопоказания к применению методов диагностики
1. Жалобы и анамнез
Диагностика дефектов челюстно-лицевой области строится на сборе анамнеза, жалоб и клиническом обследовании пациента. Если причиной имеющихся жалоб являются какие-либо патологические процессы в челюстно-лицевой области (включая травмы, онкологические заболевания, врожденные дефекты), или они являются следствием выполненного ранее лечения или других вмешательств в данной области, необходимо рассмотреть возможность реконструктивно-пластического лечения и реабилитации. Так дети с приобретенными и врожденными дефектами челюстно-лицевой области часто предъявляют разнообразные жалобы, которые могут варьироваться в зависимости от типа и степени выраженности дефекта. Основные жалобы включают:
-
Трудности при жевании и глотании. Дети могут сообщать о болях или дискомфорте во время еды, а также о затруднениях при проглатывании пищи. Это может быть связано с неправильным смыканием челюстей или аномалиями в строении зубочелюстной системы.
-
Проблемы с речью. Часто родители отмечают, что ребенок испытывает трудности в произнесении определенных звуков или слов. Это может быть связано с недостаточной подвижностью мягкого неба или аномалиями в строении губ и языка.
-
Эстетические жалобы. Дети могут выражать недовольство своим внешним видом, особенно если дефекты приводят к заметным изменениям в форме лица. Это может вызывать у них неуверенность в себе и социальную изоляцию.
-
Боль и дискомфорт. Некоторые дети могут жаловаться на периодические боли в области челюсти, лица или ушей, что может быть связано с неправильным прикусом или воспалительными процессами.
-
Ограничения в физической активности. В некоторых случаях дети могут испытывать ограничения в играх и физической активности из-за дискомфорта или страха травмироваться.
Сбор анамнеза детей с приобретенными и врожденными дефектами челюстно-лицевой области представляет собой комплексный процесс, включающий как медицинские, так и социальные аспекты. Сбор анамнеза и жалоб следует производить не только у больного ребенка, но дополнительно получать сведения от сопровождающих лиц и родственников. В случае врожденных аномалий особое внимание уделяется наличию подобных проблем у родителей или других членов семьи, что может указывать на генетическую предрасположенность. Также важно учитывать анамнез беременности, включая возможные инфекции, токсикозы и прием медикаментов, поскольку эти факторы могут сыграть значительную роль в возникновении дефектов.
Для детей с приобретенными дефектами необходимо собрать информацию о травмах, операциях или заболеваниях, которые могли привести к изменениям в структуре челюсти и лица. Например, травмы головы или лица могут вызвать серьезные анатомические изменения, требующие дальнейшего вмешательства. Важно также оценить общее развитие ребенка, включая физическое, эмоциональное и социальное развитие. Наличие задержек в развитии может указывать на более серьезные проблемы и потребовать дополнительного внимания.
Социальная адаптация ребенка является еще одним важным аспектом анамнеза. Необходимо выяснить, как он справляется со своим состоянием в социальной среде: есть ли у него друзья, как он общается со сверстниками и испытывает ли трудности в школе. Эти факторы могут существенно влиять на психоэмоциональное состояние ребенка и его качество жизни.
Кроме того, информация о ранее проведенных хирургических вмешательствах или ортодонтическом лечении имеет значение для планирования дальнейшего лечения. Тщательный сбор жалоб и анамнеза является важным этапом диагностики и разработки индивидуализированного подхода к каждому пациенту с учетом его уникальных потребностей и обстоятельств. Это позволяет врачам не только более точно оценить текущее состояние здоровья ребенка, но и выработать оптимальную стратегию лечения для достижения наилучших результатов.
2. Физикальное обследование
При обследовании детей нужно соблюдать принцип максимальной информативности при минимальной инвазивности. Всем детям с дефектами ЧЛО необходимо проводить физикальное обследование для уточнения диагноза и определения тактики лечения, включающее:
-
оценка общего состояния пациента;
-
осмотр ЧЛО и полости рта;
-
пальпацию ЧЛО.
-
Рекомендуется при физикальном обследовании пациентов с приобретёнными дефектами и деформациями челюстно-лицевой локализации проведение общеклинического осмотра (цвет кожного покрова, слизистых, роговиц; частота сердечных сокращений; показатели артериального давления; частота дыхательных движений; пальпация живота и т.п.) пациентов с приобретёнными дефектами и деформациями челюстно-лицевой локализации для уточнения диагноза и определения тактики лечения [11].
Уровень убедительности рекомендации С (уровень достоверности доказательств 5).
Комментарии: Соматический статус у пациентов с приобретёнными дефектами и деформациями челюстно-лицевой локализации должен характеризоваться удовлетворительным общим состоянием, отсутствовать жалобы. Общее состояние пациентов не должно быть нарушено, температуры тела должна быть в пределах физиологической нормы.
-
Рекомендуется проведение внешнего осмотра пациентов с приобретёнными дефектами и деформациями челюстно-лицевой локализации с целью уточнения диагноза и определения тактики лечения [12; 18].
Уровень убедительности рекомендации С (уровень достоверности доказательств 4).
Комментарии: При внешнем осмотре пациентов с приобретёнными дефектами и деформациями челюстно-лицевой локализации выявляется нарушение конфигурации лица за счёт наличия послеоперационного (или посттравматического) дефекта, локализующегося в зоне костных структур нижней (верхней) челюсти, скуловых костей и дуг, костей носа, околочелюстных мягких тканей, слизистой оболочки и тканей полости рта. Кожа должна быть физиологической окраски, собираться в складку. Возможно наличие рубцовых изменений у пациентов после выполненных ранее оперативных вмешательств или травм. При пальпации регионарные лимфатические узлы не увеличены. У пациентов с онкологическим генезом дефектов челюстно-лицевой локализации, ранее оперированных, возможно наличие нескольких пальпируемых лимфатических узлов, безболезненных при пальпации, без признаков абсцедирования и метастазирования. Могут отмечаться признаки рубцовой контрактуры жевательных мышц при локализации дефекта челюсти или околочелюстных мягких тканей в области жевательных мышц. Приём пищи, глотание могут быть затруднены.
-
Рекомендуется проведение пальпации органов и тканей челюстно-лицевой локализации, пальпация органов полости рта с осмотром органов полости рта пациентам с приобретёнными дефектами и деформациями челюстно-лицевой локализации с целью уточнения диагноза и тактики лечения [12; 219].
Уровень убедительности рекомендаций С (уровень достоверности доказательств 5).
Комментарии: При проведении пальпации у пациентов с приобретёнными дефектами и деформациями челюстно-лицевой локализации в зоне локализации дефекта костных структур или околочелюстных мягких тканей и/или слизистой оболочки обращают внимание на наличие сообщения полости рта с полостью верхнечелюстной пазухи, на локализацию, степень смещаемости (возможность перемещения в ортотопическое положение) сохранившихся культей нижней челюсти, на объём открывания рта, на возможность смыкания губ, век [59;72;76].
-
Рекомендуется определение степени открывания рта и ограничения подвижности нижней челюсти у пациентов с приобретёнными дефектами и деформациями челюстно-лицевой локализации с целью уточнения диагноза и тактики лечения [12; 18; 219].
Уровень убедительности рекомендаций С (уровень достоверности доказательств 5).
Комментарии: При осмотре пациентов с приобретёнными дефектами и деформациями челюстно-лицевой локализации ограничение открывание рта может быть обусловлено локализацией дефекта тканей в области жевательных мышц, что приводит к их рубцовой контрактуре.
-
Рекомендуется проведение перкуссии при патологии полости рта, включая черепно-челюстно-лицевой области, пациентам с приобретёнными дефектами и деформациями челюстно-лицевой локализации с целью уточнения диагноза, определения тактики лечения и показаний для приема (осмотра, консультации) врачом-стоматологом-терапевтом первичного [16; 43; 220].
Уровень убедительности рекомендаций С (уровень достоверности доказательств 5).
Комментарии: При осмотре пациентов с приобретёнными дефектами и деформациями челюстно-лицевой локализации перкуссия зубов должна быть безболезненна. Полость рта должна быть санирована перед выполнением оперативного вмешательства в плановом порядке.
-
Рекомендуется определение степени патологической подвижности зубов у пациентов с приобретёнными дефектами и деформациями челюстно-лицевой локализации с целью уточнения диагноза и тактики лечения и показаний для консультации врачом-стоматологом-хирургом [12; 18; 219].
Уровень убедительности рекомендаций С (уровень достоверности доказательств 5).
Комментарии: При осмотре пациента с приобретёнными дефектами и деформациями челюстно-лицевой локализации не должно выявляться наличие патологической подвижности зубов. Полость рта должна быть санирована перед выполнением оперативного вмешательства в плановом порядке.
-
Рекомендуется определить снижение или отсутствие чувствительности кожи нижней губы и подбородка или верхней губы и подглазничной области на стороне дефекта костных структур и/или околочелюстных мягких тканей у пациентов с приобретёнными дефектами и деформациями челюстно-лицевой локализации [16; 43; 220].
Уровень убедительности рекомендаций С (уровень достоверности доказательств 5).
Комментарии: Симптом гипостезии участков кожи, слизистой оболочки и/или околочелюстных мягких тканей, обусловлен механическим нарушением целостности нерва, проходящего через участок челюстной кости в зоне дефекта, иннервирующего соответствующий участок околочелюстных мягких тканей и/или слизистой оболочки.
-
Рекомендуется проведение приема (осмотра, консультации) врача-терапевта первичного, в случае наличия у пациента с приобретёнными дефектами и деформациями челюстно-лицевой локализации сопутствующей патологии с целью диагностики и определения тактики лечения [12; 18].
Уровень убедительности рекомендаций С (уровень достоверности доказательств 4)
Комментарии: врач-терапевт оценивает общесоматический статус больного, уточняет диагноз сопутствующих заболеваний, определяет показания к проведению дополнительных методов исследований (ЭхоКГ, суточное мониторирование артериального давления (АД-мониторирование), УЗИ внутренних органов т.д.) [11].
-
Рекомендуется выполнение приема (осмотр, консультация) врача-офтальмолога первичного для уточнения диагноза при наличии у пациента с приобретёнными дефектами и деформациями челюстно-лицевой локализации глазодвигательных нарушений, эно- или экзофтальма, гипофтальма, анизокории, диплопии, изменении остроты зрения и других проявлений патологии органа зрения [209; 222; 234; 250].
Уровень убедительности рекомендаций С (уровень достоверности доказательств 5)
Комментарии: Врач-офтальмолог выполняет биомикрофотографию глазного дна с использованием фундус-камеры, биомикроскопию глазного дна, выявляет признаки атрофии зрительного нерва и отёка диска зрительного нерва, зрительные нарушения, которые могут свидетельствовать о развитии внутричерепной патологии.
-
Рекомендуется проведение приема (осмотр, консультация) врача-невролога первичного (по показаниям – врача-нейрохирурга) для уточнения диагноза пациентам с приобретенными дефектами и деформациями челюстно-лицевой локализации (при наличии в анамнезе изменения чувствительности в челюстно-лицевой локализации, изменение тонуса жевательной и мимической мускулатуры, головной боли, головокружения, потери сознания, потери памяти) на этапе постановки диагноза [209; 222; 234; 250].
Уровень убедительности рекомендаций С (уровень достоверности доказательств 5)
Комментарии: врач-невролог оценивает неврологический статус, определяет показания к проведению дообследования при подозрении на осложнения. При развитии невропатии ветвей тройничного нерва проводит осмотр, рекомендует дообследование, уточняет диагноз и назначает лечение.
-
Рекомендуется проведение приема (осмотра, консультации) врача-оториноларинголога первичного у пациентов с приобретёнными дефектами и деформациями челюстно-лицевой локализации для уточнения диагноза при наличии у пациента с приобретёнными дефектами и деформациями челюстно-лицевой локализации признаков повреждения и/или патологических изменений ЛОР-органов [209; 222; 234; 250].
Уровень убедительности рекомендаций С (уровень достоверности доказательств 5)
Комментарии: врач-оториноларинголог оценивает состояние ЛОР-органов, уточняет диагноз, корректирует комплексное лечение, составляет план мероприятий для предупреждения развития осложнений со стороны ЛОР-органов во время и после выполнения оперативного вмешательства по поводу приобретённых дефектов и деформаций челюстно-лицевой локализации. Особое внимание следует обращать на пациентов в послеоперационном периоде в том случае, если проводится продлённая интубация через носовой ход до 3-5 суток, и/или установлен назогастральный зонд в связи с имеющимися рисками развития гнойно-воспалительных осложнений в околоносовых пазухах и «восходящих» внутричерепных осложнений [45].
-
Рекомендуется осмотр (консультация) врачом-анестезиологом-реаниматологом первичный всем пациентам с приобретёнными дефектами и деформациями костей лицевого черепа перед выполнением анестезиологического пособия с применением комбинированного эндотрахеального наркоза или сочетанной анестезии перед проведением оперативного вмешательства с целью определения возможных противопоказания к его выполнению [11].
Уровень убедительности рекомендаций С (уровень достоверности доказательств 5)
Комментарии: выбор методики анестезии определяется общим состоянием больного и объёмом запланированного хирургического вмешательства по поводу приобретённых дефектов и деформаций челюстно-лицевой локализации. Реконструктивные операции в области головы и шеи зачастую сопряжены с выраженной кровопотерей и предполагают интраоперационную гемотрансфузию.
3. Лабораторные диагностические исследования
-
Рекомендуется выполнение комплекса предоперационного исследования: общего (клинического) анализа крови развёрнутого, общего (клинического) анализа мочи, исследование уровня общего белка в крови, уровня альбумина в крови, уровня ферритина в крови, уровня трансферрина сыворотки крови, определение соотношения белковых фракций методом электрофореза по показаниям, исследование уровня мочевины в крови, исследование уровня креатинина в крови, исследование уровня общего билирубина в крови, исследование уровня глюкозы в крови, определение активности аспартатаминотрансферазы в крови, определение активности аланинаминотрансферазы в крови для проведения планового оперативного вмешательства у пациентов с приобретёнными дефектами и деформациями челюстно-лицевой локализации с целью уточнения диагноза и тактики лечения перед выполнением оперативного вмешательства по согласованию с анестезиологом [11].
Уровень убедительности рекомендаций С (уровень достоверности доказательств 5).
Комментарии: всем пациентам с дефектами и деформациями челюстно-лицевой локализации необходимо проводить: 1) общий (клинический) анализ крови развернутый; 2) определение основных групп по системе AB0, определение антигена D системы Резус (резус-фактор); 3) анализ крови биохимический общетерапевтический с определением активности аланинаминотрансферазы и аспартатаминотрансферазы в крови, исследование уровня глюкозы в крови, определение антигена (HbcAg) вируса гепатита В (Hepatitis B virus) в крови, определение антител к поверхностному антигену (HBsAg) вируса гепатита В (Hepatitis B virus) в крови, определение антигена вируса гепатита С (Hepatitis C virus) в крови, определение антител к вирусу гепатита С (Hepatitis C virus) в крови, определение антител классов M, G (IgM, IgG) к вирусу иммунодефицита человека ВИЧ-1 (Human immunodeficiency virus HIV 1) в крови, определение антител классов M, G (IgM, IgG) к вирусу иммунодефицита человека ВИЧ-2 (Human immunodeficiency virus HIV 2) в крови с целью оценки общего состояния; 4) коагулограмму (ориентировочное исследование системы гемостаза) (активированное частичное тромбопластиновое время, исследование уровня фибриногена в крови, агрегации и адгезии тромбоцитов, определение международного нормализованного отношения (МНО), концентрации D-димера, активности антитромбина-III в крови для лабораторного контроля за терапией лекарственными препаратами; 5) исследование уровня общего белка, альбумина в крови, трансферрина, C-реактивного белка в сыворотке крови; 4) общий (клинический) анализ мочи, исследование уровня мочевины в моче [7, 14, 15, 35, 46]. Исследования проводятся в рамках предоперационной подготовки пациента по итогам приема (осмотра, консультации) врачом-анестезиологом-реаниматологом первичного перед выполнением оперативного вмешательства и на этапе стационарного лечения в послеоперационном периоде для оценки динамики и/или коррекции лечения.
4. Инструментальные диагностические исследования
-
Рекомендуется проведение ортопантомографии челюстей пациентам с приобретёнными дефектами и деформациями челюстно-лицевой области в предоперационном периоде с целью первичной скрининговой оценки характеристик (локализации и протяжённости) дефекта нижней челюсти, а также для планирования предстоящей операции и ортодонтической реабилитации, в послеоперационном периоде с целью ранней оценки результатов хирургического лечении [8; 12; 29].
Уровень убедительности рекомендаций С (уровень достоверности доказательств 4)
Комментарии: проведение ортопантомографии челюстей пациентам с приобретёнными дефектами и деформациями челюстно-лицевой локализации в предоперационном периоде выполняется при отсутствии технической возможности проведения компьютерной томографии (КТ) лицевого отдела черепа [12].
-
Рекомендуется пациентам с приобретенными дефектами и деформациями челюстно-лицевой локализации проведение компьютерной томографии лицевого отдела черепа с внутривенным болюсным контрастированием, мультипланарной и трехмерной реконструкцией с целью уточнения характера и уровня распространения патологического процесса в костных структурах челюсти и планирования границ резекции тканей при выполнении одномоментно онкологического и реконструктивного оперативного вмешательства; для уточнения размеров, протяжённости и конфигурации дефекта костных структур челюсти при выполнении вторичной пластики. По показаниям на основании полученных результатов изготавливают стереолитографические модели и резекционные шаблоны, которые используют на предоперационном этапе и интраоперационно для выполнения прецизионной резекции и точной реконструкции челюстно-лицевого скелета, а также при планировании в дальнейшем дентальной имплантации [7;8;12;13;15;32;72;88;94].
Уровень убедительности рекомендаций С (уровень достоверности доказательств 4)
Комментарии: в комплексном обследовании для более точной диагностики применяют компьютерную томографию лицевого отдела черепа с внутривенным болюсным контрастированием, мультипланарной и трехмерной реконструкцией, позволяющую установить и определить изменения в костной ткани. Данный метод исследования позволяет получить чёткое изображение кортикального слоя, оценить состояние окружающих мягких тканей, определить наличие, детально визуализировать. Протокол проведения КТ-исследования следует согласовывать с специалистами по лучевой диагностике, IT-технологиям, инженерами отделений лучевой диагностики, совместно с ними разрабатывать специальные протоколы проведения КТ-исследования, оценивать результаты проведённого исследования и выполнять планирование и моделирование оперативного вмешательства с использованием виртуальной трёхмерной модели головы [7;8;12;13;15;23;32;72;88;94].
-
Рекомендуется при планировании выполнения микрохирургической реконструкции с использованием свободных лоскутов выполнение компьютерной томографии нижней конечности с внутривенным болюсным контрастированием донорской области с контрастным усилением для исключения анатомических особенностей или патологий, повышающих риск забора свободного лоскута или делающих его невозможным, и для осуществления моделирования свободного лоскута [2; 114]. Изготовленные с помощью аддитивных технологий стереолитографические модели и операционные шаблоны применяют при заборе и моделировании костного или мягкотанно-костного трансплантата по форме утраченного сегмента челюсти и/или изготовления имплантатов, при планировании в дальнейшем внутрикостной дентальной имплантации [7;8; 12;13;15;23;29;40;67;72;87;89;90;94].
Уровень убедительности рекомендаций С (уровень достоверности доказательств 4).
Комментарии: в предоперационном периоде у пациентов с дефектами и деформациями костей лицевого черепа при наличии показания и технической возможности выполнения показано применение аддитивных технологий, при этом совместно с врачом-рентгенологом, специалистом по лучевой диагностике и IT-технологиям уточняют размеры, локализацию и конфигурацию дефекта по изображениям КЛКТ-исследования или МСКТ-исследования донорской и реципиентной зоны, определяют истинные размеры костного дефекта, рассчитывают параметры оптимального трансплантата, планируют и выполняют «виртуальное» оперативное вмешательство, в ходе которого моделируют костный трансплантат по форме утраченного сегмента челюсти, позиционируют его в зоне дефекта для восстановления анатомической целостности костей лицевого черепа. При выполнении оперативного вмешательства у пациентов с онкологической патологией планируют одномоментное первичное возмещение дефекта челюстно-лицевой локализации с помощью васкуляризированных трансплантатов. При этом первоначально оценивают уровень распространения патологического опухолевого процесса и планируют границы резекции патологически изменённых тканей. Далее на основании данных КТ в специальной компьютерной среде (Amira 5.4.5, «Visage Imaging», Германия) проводят виртуальное планирование реконструктивного этапа операции по изложенному выше протоколу. Затем результаты выполненного на спиральном компьютерном томографе исследования преобразовывают в набор из 100-150 томограмм с шагом 0,1-0,8 мм, которые вводят в персональный IBM-совместимый компьютер в формате DICOM. Далее с помощью пакета 3Dview серию томограмм преобразовывают в трёхмерную компьютерную модель в STL формате, который является общепринятым для программного обеспечения установок стереолитографии для изготовления прототипированных моделей трансплантата, челюсти и шаблонов для интраоперационного моделирования. Протокол проведения КТ -исследования следует согласовывать с специалистами по лучевой диагностике, IT-технологиям, инженерами отделений лучевой диагностики, совместно с ними разрабатывать специальные протоколы проведения КТ-исследования, оценивать результаты проведённого исследования и выполнять планирование и моделирование оперативного вмешательства с использованием виртуальной трёхмерной модели головы [12,23;29;40;67;72;87;89;90;94].
-
Рекомендуется всем пациентам в предоперационном периоде регистрация электрокардиограммы (ЭКГ) [16;22;35;101].
Уровень убедительности рекомендаций С (уровень достоверности доказательств 5).
Комментарии: проведение в предоперационном периоде исследования сердечно-сосудистой системы является обязательным в рамках предоперационной подготовки.
-
Рекомендуется проведение прицельной рентгенографии органов грудной клетки у пациентов с приобретёнными дефектами и деформациями челюстно-лицевой области для определения наличия структурных или других изменений в лёгких, а также других органах грудной клетки и кровеносных сосудах, с целью предотвращения интра- и послеоперационных осложнений [71;82;101].
Уровень убедительности рекомендаций С (уровень достоверности доказательств 5)
Комментарии: прицельная рентгенография органов грудной клетки позволяет диагностировать патологические изменения скелета, лёгочной ткани, состояние плевральной полости, оценить размеры и форму тени сердца и прилегающих сосудов.
-
Рекомендуется проведение дуплексного сканирование экстракраниальных отделов брахиоцефальных артерий с оценкой диаметра и кровотока для выбора в качестве реципиентных при наложении сосудистых анастомозов у пациентов с приобретёнными дефектами и деформациями челюстно-лицевой области с целью определения их состоятельности. При наличии показания и технической возможности выполнения рекомендуется проведение лазерной допплеровской флоуметрии сосудов в зоне наложения сосудистых анастомозов для раннего и объективного выявления признаков тромбирования сосудистой ножки перемещённого реваскуляризированного трансплантата (по показаниям) [71;74;77;82].
Уровень убедительности рекомендаций С (уровень достоверности доказательств 5)
Комментарии: изучают скорость кровотока в сосудах, их диаметр, степень возможного сужения вследствие атеросклеротических поражений. Несмотря на то, что, по-прежнему, «золотым стандартом» при исследовании артерий голени является ангиография артерий нижней конечности прямая, что широко применяется в ведущих лечебных учреждениях РФ, по показаниям целесообразно использовать новые методы [5;7;12;13;15;23;28;29;31;46;76;94]. В рекомендациях врачей-сердечно-сосудистых хирургов для предоперационной оценки артерий нижних конечностей с целью определения возможности свободного переноса малоберцовой кости мультидетекторная компьютерная томографическая коронарная ангиография является предпочтительным и самым объективным методом исследования при следующих трёх состояниях: ненормальная пульсация педали, значительная предшествующая травма голени и подозрение на сосудистые заболевания. Эффективность проведения данного исследования показана при планировании хирургического вмешательства большинством врачей-детских хирургов [2;3;38;114;104;101].
-
Рекомендуется проведение по показаниям ультразвуковой допплерографии артерий нижних конечностей, по показаниям – компьютерно-томографической ангиографии сосудов нижних конечностей, магнитно-резонансной ангиографии области дефекта и донорской зоны пациентам с приобретёнными дефектами и деформациями челюстно-лицевой области с целью оценки состоятельности сосудов и возможности их участия в создании анастомозов в реципиентной зоне [17;44; 71;74;77;82;100].
Уровень убедительности рекомендаций С (уровень достоверности доказательств 4)
Комментарии: особое внимание уделяется атеросклеротическому поражению сосудов и врождённым аномалиям развития сосудистой системы. В рекомендациях врачей-сердечно-сосудистых хирургов для предоперационной оценки артерий нижних конечностей с целью определения возможности свободного переноса малоберцовой кости с помощью мультидетекторная компьютерная томографическая коронарная ангиография является предпочтительным и самым объективным методом исследования при следующих трёх состояниях: ненормальная пульсация педали, значительная предшествующая травма голени и подозрение на сосудистые заболевания [17;44;100] и эффективность проведения данного исследования показана при планировании хирургического вмешательства.
5. Иные диагностические исследования
-
Рекомендуется прием (осмотр, консультация) врача-стоматолога-ортопеда первичный пациентов с приобретёнными дефектами и деформациями челюстно-лицевой локализации перед оперативным вмешательством с целью определения необходимости и тактики зубо-челюстной реабилитации [7,35,46,87,250].
Уровень убедительности рекомендаций С (уровень достоверности доказательств 4).
Комментарии: совместная консультация необходима для планирования ортопедической конструкции и позиции дентальных имплантатов. В сложных клинических ситуациях может потребоваться изготовление стереолитографических моделей (реконструкция костей черепа и лицевого скелета с использованием стереолитографии) [15,23,28,69,87,88].
-
Рекомендуется проведение микробиологического (культурального) исследования смывов из околоносовых полостей на аэробные и факультативно-анаэробные микроорганизмы при поступлении, до операции, при вероятности развития гнойно-воспалительных осложнений в области послеоперационной раны для определения исходного видового состава микробиоты, биоптата (биоматериала) тканей из раны интраоперационно и отделяемого из раны в динамике в послеоперационном периоде для определения видового состава микробиоты (аэробных и факультативно-анаэробных микроорганизмов) в динамике с определением чувствительности микроорганизмов к антимикробным химиотерапевтическим препаратам у всех пациентов с приобретёнными дефектами и деформациями челюстно-лицевой локализации с целью составления протокола проведения эмпирической антибиотикопрофилактики (АБП) и целенаправленной антибактериальной терапии (АБТ) и её коррекции при развитии осложнений [16].
Уровень убедительности рекомендации С (уровень достоверности доказательств 5).
Комментарии: особенно важны результаты микробиологического исследования при выполнении повторных оперативных вмешательств и у онкологических пациентов, которым проводилось комплексное противоопухолевое лечение, а также в случаях развития осложнений в послеоперационном периоде для объективной оценки динамики лечения пациентов [14]. При необходимости возможен забор биоматериала из раны интраоперационно для изучения микробиоты и её чувствительности к антибактериальным препаратам системного действия и антисептикам (антисептики и дезинфицирующие средства) в виде биоптата с целью контроля проводимой АБП или при необходимости назначения и коррекции антибактериальной терапии в динамике [16; 22;48;77;80;102].
-
Рекомендуется проведение патолого-анатомического исследования биопсийного (операционного) материала с применением иммуногистохимических методов из области операционной раны в околочелюстных мягких тканях и/или полости рта у всех пациентов с приобретенными дефектами и деформациями челюстно-лицевой локализации с онкологическим генезом возникновения дефекта для исключения рецидива онкологического процесса [96].
Уровень убедительности рекомендации С (уровень достоверности доказательств 4).
Комментарии: проведение морфологического исследования тканей (биоптата), полученных при оперативном вмешательстве обязательно для уточнения диагноза и дифференциальной диагностики с другими неспецифическими, специфическими воспалительными заболеваниями, новообразованиями челюстно-лицевой локализации [96].
Лечение
Лечение, включая медикаментозную и немедикаментозную терапии, диетотерапию, обезболивание, медицинские показания и противопоказания к применению методов лечения
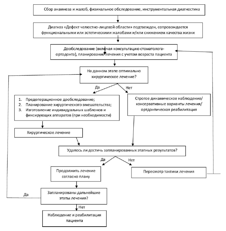
1. Составление плана лечения, включающего ортодонтическую реабилитацию. Подготовка к выполнению микрохирургической реконструкции или изготовление индивидуальных протезов.
Необходимость восстановления анатомической целостности нижней челюсти и ее функциональной полноценности у детей в большинстве случаев не вызывает сомнений, однако выбор метода реконструкции остается дискутабельным вопросом.
-
Рекомендовано определять объем дефекта челюстно-лицевой области на предоперационном этапе и исходя из возраста пациента, объема и локализации дефекта планировать оптимальный вариант реконструкции [1; 2; 3; 4; 5; 6; 7; 8; 9].
Уровень убедительности рекомендации C (уровень достоверности доказательств 4).
Комментарии: В настоящее время реконструкция нижней челюсти у детей остается сложным вопросом несмотря на постоянное совершенствование хирургических техник, методик планирования и реабилитации [1]. Золотым стандартом реконструкции нижней челюсти у взрослых является микрохирургическая реконструкция с использованием свободных лоскутов [2], однако этот метод, как и реконструкция статичными протезами, не всегда оптимален в педиатрической практике в связи с продолжающимся ростом ребенка [3, 4, 5]. Использование 3D-моделирования позволяет достичь более точных результатов реконструкции, что делает необходимым его использование при реконструктивных операциях на челюстно-лицевой системе у детей [6].
Для детей младшего возраста оптимальным методом реконструкции представляется использование индивидуальных «растущих» протезов [7]; для пациентов более старшего возраста (с 12 лет), помимо классической «взрослой» микрохирургической реконструкции [8], могут быть предложены варианты комбинированной реконструкции с использованием индивидуальных эндопротезов с искусственным суставом и пластикой свободным малоберцовым лоскутом. Согласно данным литературы, вышеуказанный метод применяется во взрослой практике, однако опыт его использования ограничен [9].
-
Рекомендовано на этапе планирования лечения учитывать возможность послеоперационной реабилитации, включая внутрикостную зубную имплантацию [250].
Уровень убедительности рекомендации С (уровень достоверности доказательств 4).
Комментарии: Для достижения оптимального результата и возможности финальной реабилитации пациента, включая постоянное зубное протезирование, необходимо еще на этапе планирования учитывать дальнейшие возможности по ортодонтическому протезированию. В первую очередь необходимо оценить площадь сечения потенциального костного лоскута при микрохирургической реконструкции, и при его недостаточном объеме (с учетом возможного деградации без физиологической нагрузки) рассмотреть альтернативные варианты реконструкции.
-
Рекомендовано использовать у пациентов с дефектами и деформациями челюстно-лицевой локализации для фиксирования костных фрагментов и, при наличии, фрагментов свободного лоскута индивидуальные металлоконструкции и суставные ямки, что значительно снижает погрешность при восстановлении челюстно-лицевого скелета [1; 2; 3; 4; 5; 6].
Уровень убедительности рекомендации С (уровень достоверности доказательств 4).
Комментарии: При полном нарушении целостности костных структур челюстно-лицевой области восстановление исходных контуров может быть затруднительным, особенно при отсутствии операционных шаблонах и малом операционном поле. Добиться правильной репозиции костных фрагментов позволяет использование для фиксации костных фрагментов индивидуальных металлоконструкций, имеющих определенные маркеры положения на костных структурах.
2. Хирургическое лечение, включая корректирующие хирургические вмешательства
Показания к проведению хирургического лечения костных дефектов челюстно-лицевой области у детей могут быть определены на основании клинических, радиологических и функциональных данных. Основные показания включают:
- Наличие значительных костных дефектов: Хирургическое вмешательство показано при выраженных костных дефектах, которые могут возникать в результате травм, инфекционных процессов (например, остеомиелита), опухолевых заболеваний или врожденных аномалий.
- Функциональные нарушения: При наличии нарушений функции жевания, речи или дыхания, обусловленных костными деформациями или недостаточностью костной ткани, показано хирургическое восстановление анатомической структуры.
- Эстетические показания: В случаях, когда костные дефекты приводят к выраженным эстетическим нарушениям (асимметрия лица, деформация челюстей), хирургическое лечение может быть показано для улучшения внешнего вида и психоэмоционального состояния пациента.
- Неэффективность консервативной терапии: При отсутствии положительной динамики от консервативного лечения (ортодонтического, физиотерапевтического и др.) в течение установленного времени, целесообразно рассмотреть возможность хирургического вмешательства.
- Подготовка к ортодонтическому лечению: В случаях, когда для успешного проведения ортодонтической коррекции требуется предварительное восстановление костной ткани (например, при наличии недостатка альвеолярной кости), хирургическое лечение становится необходимым этапом.
- Профилактика осложнений: Хирургическое вмешательство может быть показано для предотвращения прогрессирования патологического процесса или возникновения осложнений, таких как вторичные инфекции или деформации.
Каждый случай требует индивидуального подхода с учетом возраста пациента, общего состояния здоровья и специфики клинической ситуации. Решение о необходимости хирургического вмешательства должно приниматься мультидисциплинарной командой специалистов с учетом всех вышеуказанных факторов.
-
Рекомендуется использовать методику пластики местными тканями у пациентов с дефектами и деформациями челюстно-лицевой локализации [7,15,35,46; 250; 255; 258].
Уровень убедительности рекомендаций С (уровень достоверности доказательств 4)
Комментарии: При выборе способа проведения кожной пластики в первую очередь должна быть рассмотрена возможность выполнения пластики местными тканями за счёт смещения кожи, которая окружает дефект. Все пластические операции основаны на биологическом свойстве тканей, отделённых от материнской почвы, но связанных с ней питающей ножкой, приживать на новом месте. Для приживления тканей на месте замещённого ими дефекта первостепенное значение имеет приток крови и достаточный отток крови и лимфы. Хорошее кровоснабжение, быстрое восстановление иннервации и заживление первичным натяжением способны предупредить развитие атрофических процессов в пересаженных тканях. Восстановлению функций органов, сформированных из пересаженного лоскута, способствует нагрузка.
-
Рекомендуется использовать свободный полнослойный кожный трансплантат у пациентов с дефектами и деформациями челюстно-лицевой локализации [7].
Уровень убедительности рекомендаций С (уровень достоверности доказательств 4)
Комментарии: Самым частым показанием для свободной пересадки кожи является наличие обширной гранулирующей поверхности (5 см2 и более). Оптимальным методом аутодермопластики следует считать пересадку изолированного кожного лоскута. В зависимости от толщины срезанного слоя кожи для пересадки различают полнослойные (полные) и расщеплённые лоскуты. Полнослойный кожный лоскут представляет собой собственно кожу. Толщина его позволяет осуществить пересадку только на хорошо васкуляризированную рану и при отсутствии опасности инфицирования. Пересадка полнослойного лоскута возможна на небольшие по размеру раны и используется при операциях на лице или для закрытия дефектов ладонной поверхности кисти и пальцев. Преимуществом полнослойного кожного лоскута является неподверженность его вторичной ретракции (сморщиванию) и аутолизу.
-
Рекомендуется использовать свободный расщепленный кожный трансплантат у пациентов с дефектами и деформациями челюстно-лицевой локализации [7,15,35,46; 250; 255; 258].
Уровень убедительности рекомендаций С (уровень достоверности доказательств 4)
Комментарии: Расщеплённый кожный лоскут состоит из эпидермиса и части собственно кожи. Одним из преимуществ расщеплённого кожного лоскута можно назвать возможность покрытия чрезвычайно обширных дефектов кожи за счёт «сетчатой» аутодермопластики, когда взятый лоскут перфорируют специальным аппаратом с нанесением сквозных отверстий в шахматном порядке. Это позволяет увеличить площадь его поверхности при растягивании в 3-6 раз. Другим преимуществом является отсутствие необходимости ушивания донорской раны. Особенностью расщеплённого кожного лоскута является его тенденция к первичному сморщиванию за счёт сокращения коллагеновых волокон и чем трансплантат тоньше, тем эта способность сильнее выражена.
-
Рекомендуется использовать свободный расщеплённый (по Тиршу) кожный трансплантат у пациентов с дефектами и деформациями челюстно-лицевой локализации [7,14,15,35,46; 250; 255; 258].
Уровень убедительности рекомендаций С (уровень достоверности доказательств 4)
Комментарии: Вместо небольших отдельных трансплантатов используются участки кожи с включением эпидермиса до сосочкового слоя дермы, соответствующие размерам дефекта, шириной 2-3 см и длиной 4-5 см. Наиболее распространёнными донорскими участками для формирования свободного кожного трансплантата, используемого для устранения дефектов в области головы и шеи, в зависимости от размеров последнего, являются: заушная область, передняя или внутренняя поверхность бедра, внутренняя поверхность плеча. Трансплантат фиксируют в области раневой поверхности 7-10 суток.
-
Рекомендуется выполнение устранения рубцовой деформации челюстно-лицевой области и шеи ротационным лоскутом на сосудистой ножке у пациентов с дефектами и деформациями челюстно-лицевой локализации [ 250; 255; 258].
Уровень убедительности рекомендаций С (уровень достоверности доказательств 4)
Комментарии: Вид лоскута и способ его перемещения избирается в зависимости от площади, формы, объёма дефекта, его кровоснабжения. При дефектах кожных лоскутов, образовавшихся после хирургических вмешательств, травм, опухолевидных процессов, а также врождённом отсутствии органа применяют кожный, кожно-подкожный лоскут на одной или на двух ножках с их ротацией.
-
Рекомендуется использовать методику экспандерной дермотензии у пациентов с дефектами и деформациям челюстно-лицевой области [250; 255; 258].
Уровень убедительности рекомендаций С (уровень достоверности доказательств 4)
Комментарии: устранения мягкотканных рубцовых деформаций и восстановления кожного покрова пластикой растянутой кожей из соседней (близлежащей) области.
-
Рекомендуется использовать для экспандерной пластики специальные силиконовые баллоны (экспандеры стерильные) различной формы, размера и объёма с внешним или встроенным приёмным портом для введения физиологического раствора. При экспандерной пластике выделяют два периода. Первый период – это имплантация (введение) экспандера стерильного, а в ряде случаев экспандеров на границе деформации и неповреждённого кожного покрова и последующая «раскачка» экспандера/экспандеров для растяжения и роста кожи. Второй период – это извлечение экспандера/экспандеров, иссечение зоны деформации и закрытие раневого дефекта растянутой кожей [35; 96; 250; 255; 258]
Уровень убедительности рекомендаций С (уровень достоверности доказательств 4)
Комментарии: В настоящее время у пациентов с дефектами и деформациями лицевого черепа разрабатываются хирургические доступы к органам без больших разрезов на лице, либо в пределах «скрытых» областей (волосистая часть» головы, заушная область) [7,14,15,35,46].
Устранение дефектов челюстно-лицевой локализации при помощи реваскуляризированных лоскутов с использованием микрохирургической техники необходимо выполнять в стационарах, оборудованных хирургическим микроскопом и необходимым хирургическим инструментарием, технологически оснащенной палатой интенсивной терапии.
Операции выполняются врачами-челюстно-лицевыми хирургами, владеющими микрохирургической техникой и техническими особенностями проведения челюстно-лицевых операций. Известно, что в настоящее время возможно устранение дефекта нижней или верхней челюсти любой протяжённости и локализации (тотальные, субтотальные, сочетающиеся с изъяном околочелюстных мягких тканей и/или слизистой оболочки полости рта). В арсенале челюстно-лицевого хирурга имеется широкий спектр костных и мягкотканных васкуляризированных аутотрансплантатов: реваскуляризированные (рёберный, лопаточный, малоберцовый, гребень подвздошной кости, лучевой); васкуляризированные, перемещаемые на ножке (ТДЛ, БГМ) [7;8;12;13;29;30;56;59;60;61;62;63;67;68;94].
Типичный алгоритм выбора васкуляризированного трансплантата учитывает: 1) локализацию дефекта нижней челюсти (по классификации, например, Boyd J.B., 1991, или другой функциональной классификации); 2) протяжённость дефекта нижней челюсти; 3) наличие и объём изъяна околочелюстных мягких тканей и слизистой оболочки полости рта; 4) особенности сосудистой системы реципиентной зоны; 5) варианты строения сосудистой системы донорской зоны; 6) особенности кровоснабжения каждого костного трансплантата. При планировании реконструкции нижней или верхней челюсти и функциональной реабилитации больных необходим «командный» подход к лечению, при котором с самого первого визита пациента к врачу соблюдается принцип «обратного» планирования «от конечного результата лечения, обязательно выполнение «виртуального оперативного вмешательства» и «виртуального зубного протезирования». Необходимо учитывать наличие: 1) аномалии сосудов как в донорской, так и в реципиентной зонах; 2) сопутствующей общесоматической патологии у пациента [8;28;29;88].
-
Рекомендуется использовать малоберцовую кость у пациентов с приобретёнными дефектами челюстно-лицевой локализации категорий I, III и V [29; 250; 255; 258].
Уровень убедительности рекомендаций С (уровень достоверности доказательств 4)
Комментарии: использование аутотрансплантата из малоберцовой у пациентов с приобретёнными дефектами челюстно-лицевой локализации категорий I, III и V является методом выбора [13;22;28;29;54].
-
Рекомендуется использовать подвздошный гребень, ребро у пациентов с изолированными приобретёнными дефектами челюстно-лицевой области категории III либо IV благодаря соответствию кривизны аутотрансплантата и воссоздаваемой зоны [7, 46; 250; 255; 258].
Уровень убедительности рекомендаций С (уровень достоверности доказательств 4)
Комментарии: использование аутотрансплантата из гребня подвздошной кости или ребра у пациентов с изолированными приобретёнными дефектами челюстно-лицевой области категории III либо IV является методом выбора [7,14,15,35,46].
-
Рекомендуется использовать аутотрансплантаты с надёжной кожно-фасциальной площадкой у пациентов с дефектами категорий II и IV, сочетающихся с обширными дефектами твёрдого неба, требующими одномоментного восстановления внутренней выстилки преддверия и полости рта для устранения дефектов в трёхмерном пространстве – кожно-фасциально-костный лоскут с предплечья с включением фрагмента лучевой кости либо малоберцовый аутотрансплантат [1; 5; 7; 8; 29; 31; 67; 68; 250; 255; 258].
Уровень убедительности рекомендаций С (уровень достоверности доказательств 4)
Комментарии: использование кожно-фасциально-костного лоскута с предплечья с включением фрагмента лучевой кости либо малоберцовый аутотрансплантат у пациентов с дефектами категорий II и IV, сочетающимися с обширными дефектами твёрдого неба является методом выбора [1;5;7;8;28;29;31;67;68].
-
Рекомендуется использовать методику изолированной микрохирургической аутотрансплантации мягкотканного и костного лоскутов для устранения обширных комбинированных дефектов лица (одновременно протяжённый костный и обширный мягкотканный дефекты) у пациентов с дефектами и деформациями челюстно-лицевой локализации [239; 244; 249].
Уровень убедительности рекомендаций С (уровень достоверности доказательств 4)
Комментарии: на первом этапе необходимо воссоздать полноценную мягкотканную выстилку, которая надёжно изолирует полости рта и носа от внешней среды. Через 6-8 месяцев возможно выполнение микрохирургической аутотрансплантации кости. При таком подходе исключаются возможные негативные аспекты одномоментной реконструкции: тканевый дефицит, трудности в расположении костной части аутотрансплантата и сосудистой ножки, образование гематомы, ведущее к вторичному инфицированию костной части лоскута.
Устранение дефектов челюстно-лицевой локализации при помощи реваскуляризированных лоскутов с использованием микрохирургической техники выполняется в 4 этапа:
I. Этап забора реваскуляризированного лоскута осуществляется бригадой реконструктивно-пластических хирургов. При необходимости моделируют трансплантат по форме утраченного сегмента челюсти в донорской зоне на сохранённом кровотоке. При этом при наличии показаний и/или технической возможности используют изготовленные ранее, в предоперационном периоде, стереолитографические операционные шаблоны и модели.
II. Этап остеосинтеза в реципиентной зоне (на примере рёберного трансплантата).
После переноса рёберного трансплантата в реципиентную зону его адаптируют в ране, соединяя с культями нижней челюсти. При этом используют изготовленные ранее стереолитографические операционные шаблоны и модели.
Выполняют остеосинтез конца рёберного трансплантата с культями нижней челюсти с помощью накостных фиксирующих конструкций (минипластины с шурупами).
Сосудистую ножку трансплантата выводят в зону наложения сосудистых анастомозов, навстречу реципиентным сосудам.
III. При локализации дефекта нижней челюсти в области тела при наличии показаний и/или технической возможности выполняют сшивание третьей ветви тройничного нерва с использованием микрохирургической техники.
При этом подготавливается культи нижнечелюстного нерва (проксимально, на костной «площадке» – нижнелуночкового, дистально, в мягких тканях – подбородочного нервов) с 2-х сторон. Далее производят коаптацию участков тройничного нерва с аутотрансплантатом из межрёберного нерва необходимой длины по типу «конец в конец». Накладывают узловые периневральные швы с применением операционного микроскопа или бинокуляров (увеличение 2,5-кратное).
IV. Микрохирургический этап операции.
1. Подготовка к анастомозированию донорских и реципиентных сосудов.
2. Наложение артериального анастомоза.
3. Наложение венозного анастомоза.
4. Пуск анастомозов.
В настоящее время разрабатываются внутриротовые или сочетанные доступы для наложения сосудистых анастомозов.
При проведении микрохирургической реконструкции нижней челюсти свободным (реваскуляризованным) малоберцовым лоскутом детям возрастной группы 3-10 лет отмечается отсутствие увеличения толщины костного трансплантата с взрослением ребенка, что в итоге приводит к невозможности выполнения постоянного зубного протезирования в связи с недостаточным объемом костной части лоскута. Также у данных пациентов часто наблюдается деформация нижней челюсти и патологические изменения зубного ряда в связи с отставанием роста в длину костной части свободного лоскута по сравнению с интактной частью челюсти, что делает данный вид реконструкции нецелесообразным в данной возрастной группе. [7]
-
Рекомендуется выполнять замещение значительных костных дефектов нижней челюсти с использованием растущих эндопротезов у пациентов младшего возраста (0-12 лет) [243].
Уровень убедительности рекомендации С (уровень достоверности доказательств 4).
Комментарии: Способом восстановления нижней челюсти после сквозной резекции в младшей возрастной группе является использование титановых имплантатов для остеосинтеза или индивидуальных протезов, а при достижении старшего возраста предлагается проводить плановую микрохирургическую реконструкцию васкуляризированным лоскутом с последующим протезированием [6].
В комплексе реабилитационных мероприятий у больных с дефектами челюсти важным звеном является своевременное изготовление полноценных челюстных, зубочелюстных и челюстно-лицевых протезов. Аналогичный подход оптимален и при травматических повреждениях челюстно-лицевой локализации. Ортопедические аппараты неодинаковы по конструкции, подразделяются на: шинирующие, репонирующие, фиксирующие, исправляющие, замещающие, формирующие.
Протезы для черепно-челюстно-лицевой хирургии делятся на: зубоальвеолярные; челюстные; лицевые; комбинированные; пострезекционные (при резекции челюстей). Различают непосредственное, ближайшее и отдалённое протезирование. В связи с этим протезы подразделяют на операционные и послеоперационные. К замещающим аппаратам также относят ортопедические приспособления, применяемые при дефектах нёба: защитные пластинки, обтураторы и др. При дефектах лица и челюстей протезы изготовляются в случае противопоказаний к выполнению оперативных вмешательств или же в случае отказа пациентов проводить реконструктивные операции. У онкологических больных наиболее оптимальными конструкциями являются съёмные протезы зубные [23;28;53;76;79;99;103].
-
Рекомендуется для функциональной реабилитации данной категории пациентов использование по показаниям большого спектра различных ортопедических конструкций (протезы зубные): не съёмные протезы с цементной и винтовой фиксацией, опирающиеся на имплантаты, съёмные протезы с опорой на балочную конструкцию, фиксированную к имплантатам винтами и удерживающуюся при помощи замковых креплений, съёмные дуговые протезы с кламмерной фиксацией, пластиночные съёмные протезы [250].
Уровень убедительности рекомендаций С (уровень достоверности доказательств 4)
-
Рекомендуется при выборе ортопедических методов лечения пациентов с приобретёнными послеоперационными дефектами и деформациями верхней челюсти учитывать локализацию и пространственные, объёмные характеристики дефекта челюсти, площадь изъяна околочелюстных мягких тканей и слизистой оболочки полости рта, наличие сообщения с полостью носа, верхнечелюстной пазухой, наличие рубцовых изменений мягких тканей в зоне будущего протезного ложа [222; 239; 250].
Уровень убедительности рекомендаций С (уровень достоверности доказательств 4)
-
Рекомендуется при выборе ортопедических методов лечения пациентов с приобретёнными послеоперационными дефектами и деформациями верхней челюсти учитывать нарушение исходного микробиоценоза резидентной микробиоты полости рта, носо- и ротоглотки, вероятность развития осложнений, обусловленных «хроническим носительством» патогенной микробиотой с высокой степенью вирулентности и патогенности в зоне протезного ложа [222; 239; 250].
Уровень убедительности рекомендаций С (уровень достоверности доказательств 4)
-
Рекомендуется при выборе ортопедических методов лечения пациентов с приобретёнными послеоперационными дефектами и деформациями челюсти при изготовлении временного резекционного протеза в раннем послеоперационном периоде учитывать условия и требования заживления послеоперационной раны, а именно: протез не должен нарушать течение раневого процесса, активизировать обострение воспалительного процесса в области послеоперационной полости [222; 239; 250].
Уровень убедительности рекомендаций С (уровень достоверности доказательств 4)
-
Рекомендуется при выборе ортопедических методов лечения пациентов с приобретёнными послеоперационными дефектами и деформациями челюсти выбирать оптимальные материалы для изготовления замещающих протезов, способы их ретенции и стабилизации в послеоперационной полости [222; 239; 250].
Уровень убедительности рекомендаций С (уровень достоверности доказательств 4)
-
Рекомендуется при выборе ортопедических методов лечения пациентов с приобретёнными послеоперационными дефектами и деформациями челюсти использовать дентальные импланты. Однако, у онкологических больных, получающих химио- и лучевую терапию, это может иметь ограничения [23; 53; 99; 103; 222; 239; 250].
Уровень убедительности рекомендаций С (уровень достоверности доказательств 4)
3. Профилактика инфекций области хирургического вмешательства
-
Рекомендуется проводить профилактику инфекционных осложнений в области хирургического вмешательства (ИОХВ) всем пациентам с закрытием костного дефекта челюстно-лицевой области, которым планируется хирургическое лечение, для предупреждения послеоперационных гнойно-воспалительных процессов в ЧЛО с учетом объема проведенного вмешательства (Таблица 1) [2; 6; 17; 19; 21; 22; 23; 24; 153; 201].
Уровень убедительности рекомендаций С (уровень достоверности доказательств 5).
Комментарии: Выбор режима и схемы ПАП основан на национальных и международных рекомендациях по профилактике ИОХВ [24,68,69,70,71].
-
Рекомендуется применение дозы антибактериального препарата системного действия, используемого при проведении ПАП пациентам всех возрастных групп с дефектами челюстно-лицевой области, в соответствии с разовой терапевтической дозой данного препарата для предупреждения возникновения инфекционных осложнений [24; 68; 79; 80; 153; 201].
Уровень убедительности рекомендаций С (уровень достоверности доказательств 5).
-
Рекомендуется детям с дефектами челюстно-лицевой области проводить дополнительное интраоперационное введение разовой дозы антибактериального препарата системного действия при продолжительности операции, превышающей 2 периода полувыведения препарата. Используемый ПАП препарат предназначен для предупреждения возникновения инфекционных осложнений. Рекомендуется, в большинстве случаев, однократное введение антибактериального препарата системного действия; при необходимости продления профилактики препарат отменяют не позднее, чем через 24 часа после операции пациентам с переломом нижней челюсти, даже при наличии дренажа в целях ПАП [68; 71; 72; 80; 153; 201].
Уровень убедительности рекомендаций С (уровень достоверности доказательств 5).
Комментарии: при высоком риске осложнений допускается продление антибио-тикопрофилактики на 24-48 часа в послеоперационном периоде. Продление антибиотикопрофилактики после окончания операции не увеличивает ее эффективность, но повышает риск селекции антибиотикорезистентных штаммов и осложнений, в частности, антибиотикоассоциированной диареи, вызванной C.difficile. При IV типе ран «инфицированная рана» при старой травме, предшествующей инфекции, наличии гнойного отделяемого, нежизнеспособных тканей, показана антибиотикотерапия [23,68,69,70,72,73,74]. К IV типу ран относят старые травматические раны с нежизнеспособными тканями, а также послеоперационные раны, в области которых уже имелась инфекция. Подразумевается, что микроорганизмы, способные вызвать ИОХВ, присутствовали в области оперативного вмешательства до операции. Таким образом возможно продление антибиотикопрофилактики более 48 часов, в сочетании с профилактикой дисбактериоза [23,68,69,70,71].
|
Тип оперативного вмешательства |
Препараты выбора |
Альтернативные препараты |
Время введения |
Способ введения |
Примечания |
|---|---|---|---|---|---|
|
Хирургическое лечение наружным доступом без риска сообщения операционной раны с полостью рта и без фиксирующих металлоконструкций |
Цефазолин1** или Цефуроксим** |
Ванкомицин3** или #Клиндамицин** |
За 30-60 минут до разреза |
Внутривенно капельно |
ПАП проводится однократно |
|
Хирургическое лечение внутриротовым доступом, или с риском сообщения операционной раны с полостью рта, а также во всех случаях использования фиксирующих металлоконструкций. |
Цефазолин** + Метронидазол** или Цефуроксим** + Метронидазол** или Амоксициллин + Клавулановая кислота** |
Ванкомицин3**+ #Клиндамицин** |
За 30-60 минут до разреза |
Внуривенно капельно |
ПАП проводится однократно, за исключением контаминированных операций при которых антибиотики ПАП вводятся не более 24 часов после операции. Допускается продление до 48 часов. |
Таблица 1. Антибактериальные препараты системного действия для ПАП у пациентов дефектами челюстно-лицевой области
1 Противопоказание: период новорожденности до 1 месяца, в том числе недоношенные дети.
2 аллергия на бета-лактамные антибактериальные препараты: пенициллины, высокий риск MRSA. [200]
3 за 120 минут до разреза. [80]
Комментарий: Разовая доза антибиотиков для проведения ПАП в детской хирургии рассчитывается для каждого ребенка индивидуально, в зависимости от его массы тела.
#Клиндамицин** Для детей в разовой дозе 10мг/кг. Путь введения в/в. [200]
4. Обезболивание
-
Рекомендуется проводить хирургическое лечение всем детям с объемным замещением дефектов челюстно-лицевой области под общим обезболиванием, учитывая объем и травматичность оперативного вмешательства, необходимость устранения негативного психоэмоционального воздействия на пациента во время операции [11; 18; 41; 80; 82].
Уровень убедительности рекомендаций C (уровень достоверности доказательств 5).
Комментарии: Операции репозиции и остеосинтеза нижней челюсти обычно выполняют под общим комбинированным эндотрахеальным наркозом с интубацией трахеи через нос или сочетанной анестезией, при других операциях на челюстно-лицевой области допустимы вмешательства при интубации через рот.
5. Диетотерапия
-
Рекомендуется во всех случаях вмешательств на челюстно-лицевой области рассмотреть вариант использования НП; при выполнении операций с нарушением целостности слизистой в полости рта, сквозной целостности нижней челюсти или с вовлечением височно-нижнечелюстного сустава использовать варианты термически и механически щадящего пищевого режима, в случаях невозможности полноценного питания через рот или высокого риска развития хирургических осложнений при таком варианте приема пищи – рассмотреть вариант зондового питания с использованием энтеральных смесей [65;66;69].
Уровень убедительности рекомендаций C (уровень достоверности доказательств 5).
Комментарии: С учетом вовлечения в процесс структур, участвующих в измельчении, продвижении и проглатывании пищевого комка, питание через рот может быть недостаточным с позиции закрытия потребности в питательных веществах пациента (в том числе в связи с болевым синдромом при приеме пищи) или приводить к увеличению риску расхождения операционных швов или нарушения стабильности остеосинтеза. В таких случаях целесообразно использовать или щадящие варианты питания (кашеобразная диета, НП, спинг с использованием энтеральных смесей), в более тяжелых случаях – зондовое питание, а при длительном отсутствии возможности питания через рот – рассмотреть вариант наложения гастростомы (Гастростомия). Парентеральное питание может быть рассмотрено как вариант поддержки, однако не показано в качестве единственного источника питательных веществ при отсутствии патологий пищевода и ниже идущих отделов ЖКТ.
Медицинская реабилитация
Медицинская реабилитация и санаторно-курортное лечение, медицинские показания и противопоказания к применению методов медицинской реабилитации, в том числе основанных на использовании природных лечебных факторов
-
Рекомендуется проведение реабилитационных мероприятий всем пациентам, перенёсшим хирургическое лечение, целью которых является полное социальное и физическое восстановление пациент [7; 39; 57; 250].
Уровень убедительности рекомендаций С (уровень достоверности доказательств 4)
Комментарии: в раннем послеоперационном периоде необходимо назначать сбалансированную инфузионную терапию; питание первые 5 суток парентеральное, затем даётся протёртая и измельчённая пища. Трофика пересаженного лоскута оценивается по состоянию кожной площадки, используя как объективные характеристики, так и исследования с помощью портативного и стационарного аппарата УЗДГ (Аппараты медицинские ультразвуковые диагностические) [74;92;97].
Через 6 месяцев пациентам проводится первый этап дентальной имплантации с последующей установкой формирователей десны и ортопедических конструкций.
В некоторых случаях пациенты нуждаются в корригирующих операциях, направленных на увеличение или уменьшение объёма мягких тканей ранее оперированной области, устранение цветового несоответствия, коррекция мягких тканей, окружающих лоскут.
При комплексной реабилитации пациентов с протяжёнными сквозными дефектами нижней челюсти, возмещёнными реваскуляризированными трансплантатами, с целью достижения долгосрочного прогнозируемого результата функциональной реабилитации предложен алгоритм действий и временные периоды на протяжении всех этапов в комплексной реабилитации данной категории больных:
-
этап комплексного лечения – операция по замещению костного дефекта нижней челюсти васкуляризированным аутотрансплантатом;
-
этап комплексного лечения – предварительное протезирование пластиночным съемным зубным протезом с кламмерной фиксацией (через 2-3 месяца после замещения костного дефекта нижней челюсти васкуляризированным аутотрансплантатотом);
-
этап комплексного лечения – проведение ортодонтического лечения (при необходимости – до проведения операции по замещению костного дефекта нижней челюсти васкуляризированным аутотрансплантатом, или 2-3 месяца после) для предотвращения деформаций зубных рядов;
-
этап комплексного лечения – увеличение высоты (и при необходимости ширины) васкуляризированного аутотрансплантата в позиции восстановленной альвеолярной части нижней челюсти за счёт свободных блоков из гребня подвздошной кости (или малоберцовой, лопаточной кости) через 0,5 года после замещения костного дефекта нижней челюсти [9;23;28;33;42;76].
-
этап комплексного лечения – повторное предварительное протезирование пластиночным съёмным зубным протезом с кламмерной фиксацией через 2-3 месяца после проведения операции по увеличению высоты (и ширины при необходимости) аутотрансплантата;
-
этап комплексного лечения – установка дентальных имплантатов и одномоментно проведение операции по формированию преддверия полости рта (так называемая «вестибулопластика») через 0,5 года после увеличения высоты (и ширины при необходимости) аутотрансплантата;
-
этап комплексного лечения – открытие дентальных имплантатов, установка формирователей десны, адаптация предварительного зубного протеза через 4-6 месяцев после установки дентальных имплантатов;
-
этап комплексного лечения – окончательное протезирование через 2-3 недели после установки формирователей десны, предварительное протезирование пластиночным съёмным зубным протезом с кламмерной фиксацией через 2-3 месяца после замещения костного дефекта нижней челюсти васкуляризированным аутотрансплантатотом [23;28;76].
-
Рекомендуется при планировании функциональной реабилитации пациентов с протяжёнными дефектами челюсти, возмещёнными реваскуляризированными трансплантатами, с целью достижения долгосрочного прогнозируемого результата, при наличии технической возможности реализации, преимущественно соблюдать принцип «командного подхода» с участием специалистов различной специализации (врач-челюстно-лицевой хирург, врач-стоматолог-хирург, врач-стоматолог-ортопед, врач-ортодонт, специалист по лучевой диагностике, специалист по IT-технологиям, специалист по аддитивным технологиям) [250; 251; 255; 256].
Уровень убедительности рекомендаций С (уровень достоверности доказательств 4)
-
Рекомендуется при планировании функциональной реабилитации пациентов с протяжёнными дефектами челюсти, возмещёнными реваскуляризированными трансплантатами, с целью достижения долгосрочного прогнозируемого результата, при наличии технической возможности реализации, преимущественно использовать метод «обратного планирования» от «окончательного зубного протеза» [250; 251; 255; 256].
Уровень убедительности рекомендаций С (уровень достоверности доказательств 4)
-
Рекомендуется при планировании функциональной реабилитации пациентов с протяжёнными дефектами челюсти, возмещёнными реваскуляризированными трансплантатами, с целью достижения долгосрочного прогнозируемого результата при наличии технической возможности реализации, преимущественно использовать методику изготовления стереолитографических шаблонов (реконструкция костей черепа и лицевого скелета с использованием стереолитографии) для установки зубных имплантатов, учитывающих толщину слизистой оболочки [250; 251; 255; 256].
Уровень убедительности рекомендаций С (уровень достоверности доказательств 4)
-
Рекомендуется при планировании изготовления окончательных зубных протезов (съёмные и не съёмные), опирающихся на имплантаты дентальные, у пациентов с протяжёнными дефектами челюсти, возмещёнными реваскуляризированными трансплантатами, с целью достижения долгосрочного прогнозируемого результата, при наличии технической возможности реализации, преимущественно использовать винтовую фиксацию зубных протезов [250; 251; 255; 256].
Уровень убедительности рекомендаций С (уровень достоверности доказательств 4)
-
Рекомендуется при планировании изготовления окончательных протезов зубных индивидуальных (съёмные и не съёмные) у пациентов с протяжёнными тотальными и субтотальными дефектами нижней челюсти, возмещёнными реваскуляризированными трансплантатами, а также при отсутствии зубов, с целью достижения долгосрочного прогнозируемого результата, при наличии технической возможности реализации, преимущественно использовать окончательные зубные протезы, опирающиеся на имплантаты [5;12; 29; 88; 94].
Уровень убедительности рекомендаций С (уровень достоверности доказательств 4)
Комментарии: целью комплексного хирургического и ортопедического лечения пациентов является функциональная и эстетическая реабилитации, что может быть достигнуто только в случае тесного сотрудничества врача-челюстно-лицевого хирурга, врача-стоматолога-ортопеда и врача-стоматолога-хирурга. При этом у пациентов с новообразованием челюсти совместная работа перечисленных специалистов должна начинаться уже на этапе планирования оперативного вмешательства, одновременно согласовывая не только объём резекции, но и определяя метод ортопедической помощи. Однако, для каждого пациента требуется индивидуальный персонифицированный подход к конструкциям зубочелюстных и челюстно-лицевых в зависимости от степени эстетических и функциональных нарушений, величины и локализации образовавшегося дефекта [7;8;9;10;12;13;23;28;29;53;58;59;60;61;62;63;76].
-
Рекомендуется при комплексной реабилитации больных, которым проводится замещение протяжённых сквозных дефектов верхней челюсти реваскуляризированными трансплантатами:
-
совместное обсуждение врача-стоматолога-ортопеда с врачом-челюстно-лицевым хирургом тактики ведения пациентов с дефектами челюстных костей для оптимального планирования этапов лечения и снижения количество возможных осложнений.
-
на ортопедическом этапе реабилитации пациентов с дефектами челюстных костей применять функционально-физиологический подход с использованием методик, способов и рациональных конструкций сложно-челюстных протезов и аппаратов для улучшения качества лечения.
-
использовать обтураторы у пациентов с дефектами верхней челюсти [4;103; 250; 255; 256].
-
Уровень убедительности рекомендаций С (уровень достоверности доказательств 4)
Комментарии: целью ортопедического сопровождения при хирургических вмешательствах у пациентов с дефектами верхней челюсти является, прежде всего, разделение полости рта от полостей носа, верхнечелюстного синуса, и временное закрытие образовавшихся дефектов и восстановление функций дыхания, речи и питания [5;15].
-
Рекомендуется на ортопедическом этапе реабилитации, при наличии технической возможности реализации, использовать индивидуальные эктопротезы у пациентов с дефектами и деформациями челюстно-лицевой локализации [7].
Уровень убедительности рекомендаций С (уровень достоверности доказательств 4)
Комментарии: реконструкция с помощью лицевых эктопротезов является уникальной технологией, которая позволяет в короткий срок исправить лицевые дефекты, в большинстве случаев неподдающиеся пластической хирургии. Пациент с черепно-лицевым дефектом становится социально реабилитированным, достигается эстетически гармоничный внешний вид, эффект симметрии лица.
-
Рекомендовано по мере взросления пациента проводить оценку ортодонтической картины в полости рта, а также оценивать наличие жалоб и изменения качества жизни, при необходимости выполнять корректирующие операции или замену растущих/статичных эндопротезов на свободные лоскуты [250; 251; 255; 256].
Уровень убедительности рекомендаций С (уровень достоверности доказательств 4).
Комментарии: По мере взросления ребенка происходит увеличение его челюстно-лицевого скелета, что может значительно опережать рост свободных лоскутов или титановых протезов. Для компенсации этого протеза необходимо выполнять коррегирующие операции, в том числе с использованием дистракционных аппаратов, или выполнять этапную активацию с увеличением горизонтального/вертикального размера растущего эндопротеза.
Госпитализация
Организация оказания медицинской помощи
Показания для экстренной госпитализации в медицинскую организацию:
Показания к экстренной госпитализации возможны, в случае развития осложнений.
Показания для плановой госпитализации в медицинскую организацию:
-
Необходимость проведения инструментальных методов исследования под наркозом.
-
Необходимость проведения оперативного вмешательства.
Показания к выписке пациента:
1) при отсутствии показаний к дальнейшему лечению в стационаре (послеоперационный период без осложнений, удовлетворительное положение отломков, отсутствие прогрессирующих гнойно-воспалительных заболеваний челюстно-лицевой области травматического генеза);
2) при необходимости перевода пациента в другое лечебное учреждение;
3) по требованию пациента или его законного представителя;
4) в случаях несоблюдения пациентом предписаний или правил внутреннего распорядка стационара, если это не угрожает жизни пациента и здоровью окружающих [7, 14, 15, 35, 46].
Профилактика
Профилактика и диспансерное наблюдение, медицинские показания и противопоказания к применению методов профилактики
-
Рекомендуется прием (осмотр, консультация) врача-челюстно-лицевого хирурга первичный или прием (осмотр, консультация) врача-челюстно-лицевого хирурга повторный для определения тактики диагностики и лечения пациентов с приобретёнными дефектами и деформациями челюстно-лицевой области с целью предотвращения прогрессирования заболевания и развития осложнений [7, 77; 87; 132].
Уровень убедительности рекомендаций С (уровень достоверности доказательств 4)
Комментарии: специфической профилактики возникновения описываемых патологий не существует.
-
Рекомендуется проведение диспансерного наблюдения пациентов с приобретёнными дефектами и деформациями челюстно-лицевой области после операции, включающего в себя регулярные (не реже 1 раза в 6 месяцев) приемы (осмотры, консультации) врачей-хирургов, врачей стоматологов-ортопедов, врачей стоматологов-терапевтов, терапия послеоперационных рубцов [7; 87; 132].
Уровень убедительности рекомендаций С (уровень достоверности доказательств 4)
Комментарии: при наличии подозрений о возникновении рецидива, вторичной деформации, ухудшении местного, неврологического, офтальмологического и других статусов пациента, показано проведение компьютерная томография челюстно-лицевой области, магнитно-резонансной томографии мягких тканей головы, электроэнцефалографии и других исследований, исходя из клинической картины.
Информация
Источники и литература
-
Клинические рекомендации Общества специалистов в области челюстно-лицевой хирургии
- 1. Алгоритм донорского этапа аллотрансплантации сложного комплекса тканей лица. Первый российский опыт / В.В. Уйба, К.К. Губарев, О.Э. Восканян [и др.] // Трансплантология. – 2016. – № 4. – С. 8-18. – URL: http://elibrary.ru/ item.asp?id=27430029. 2. Батталья С., Майоло В., Савастио Г., Зомпатори М., Контедини Ф., Антониацци Е., Чиприани Р., Маркетти С, Тарситано А. Забор остеомиокожно-малоберцового лоскута: компьютерное планирование сосудов-перфораторов с использованием компьютерной томографической ангиографии и руководства по разрезанию. J Craniomaxillofac Surg. Октябрь 2017; 45 (10): 1681-1686. doi: 10.1016/j.jcms.2017.07.017. Epub 29 июля 2017. PMID: 28838837. 3. Бретцман П.А., Манастер Б. Дж., Дэвис В.Л., Коулман Д.А.. МР-ангиография для предоперационной оценки васкуляризированных малоберцовых трансплантатов. J Vasc Interv Radiol. 1994 июль-август; 5 (4):603-10. doi: 10.1016/s1051-0443(94)71561-x. PMID: 7949718. 4. Вавилов, В.Н. Хвала торакодорсальному лоскуту / В.Н. Вавилов, Н.В. Калакуцкий, С.Я. Чеботарев // Анналы пластической, реконструктивной и эстетической хирургии. – 2018. – № 1. – С. 64-65. – URL: https://elibrary.ru/item.asp?id=34861477. 5. Важные аспекты микрохирургической реконструкции средней зоны лица у онкологических больных / А.И. Неробеев, А.А. Кулаков, С.Б. Буцан [и др.] // Онкохирургия – 2010 : Международный онкологический научно-образовательный форум. – Москва, 2010. – С. 172-173. 6. Валидация шкалы CAPRINI в группе хирургических пациентов с высоким риском развития послеоперационных венозных тромбоэмболических осложнений / К.В. Лобастов, В.Е. Баринов, В.В. Бояринцев [и др.] // Флебология. – 2014. – Т. 8, № 2. – С. 88-99. 7. Вербо, Е.В. Возможности применения реваскуляризированных аутотрансплантатов при пластическом устранении комбинированных дефектов лица : дис. … д-ра мед. наук: 14.0.0.21 / Вербо Е.В. – Москва, 2005. – 350 с. 8. Возможности применения свободных реваскуляризированных мышечно-реберных лоскутов для замещения дефектов нижней челюсти / А.И. Неробеев, Г.И. Осипов, В.И. Малаховская [и др.] // Анналы пластической, реконструктивной и эстетической хирургии. – 2001. – № 5. – С. 57-64. 9. Выбор внеротовой донорской зоны для костной пластики альвеолярного отростка верхней челюсти и альвеолярной части нижней челюсти при подготовке больных к протезированию зубов с опорой на имплантаты / Н.В. Калакуцкий, В.П. Румакин, С.В. Садилина [и др.] // Институт стоматологии. – 2018. – № 4. – С. 67-69. – URL: https://elibrary.ru/item.asp?id=36762490. 10. Выбор тактики лечения пациента с местно-распространенным опухолевым поражением мочевого пузыря с вовлечением передней брюшной стенки: клинический случай / В.Н. Павлов, Н.В. Калакуцкий, В.Н. Вавилов [и др.] // Креативная хирургия и онкология. – 2020. – № 1. – С. 45-51. – URL: https://elibrary.ru/ item.asp?id=42820448. 11. Гельфанд, Б.Р. Интенсивная терапия: национальное руководство: В 2 т. / Б.Р. Гельфанд, А.И. Салтанов. – Москва: ГЕОТАР-МЕДИЦИНА, 2009. – 954 с. 12. Герасимов, А.С. Планирование реконструктивных операций при протяженных дефектах нижней челюсти с использованием современных технологий: дис. … канд. мед. наук: 14.01.14 / Герасимов А.С. – Санкт-Петербург, 2011. – 112 с. 13. Гилёва, К.С. Применение реваскуляризированного надкостнично-кортикального бедренного лоскута при устранении ограниченных костных дефектов челюстно-лицевой области: дис. … канд. мед. наук: 14.01.14 / Гилёва К.С. – Москва, 2013. – 113 с. 14. ГОСТ Р 56377-2015. Клинические рекомендации (Протоколы лечения) Профилактика тромбоэмболических синдромов = Clinical recommendations (Protocols for patient cure). Prevention of thromboembolic syndromes : национальный стандарт Российской федерации : издание официальное : утвержден и введен в действие Приказом Федерального агентства по техническому регулированию и метрологии от 31 марта 2015 г. № 201-ст. : введен впервые : дата введения 01.03.2016 / разработан Межрегиональной общественной организацией «Общество фармакоэкономических исследований». – Москва: Стандартинформ, 2015. – 74 с. 15. Дениев, А.М. Дентальная имплантация после реконструктивных операций с применением реваскуляризированных аутотрансплантатов : дис. канд. мед. наук: 14.01.14 / Дениев А.М. – Москва, 2019. – 224 с. 16. Диагностика и лечение гнойно-воспалительных заболеваний челюстно-лицевой локализации: практическое руководство для врачей-стоматологов и челюстно-лицевых хирургов / под ред. проф. А.И. Яременко, проф. Э.Э. Звартау. – Санкт-Петербург: Человек, 2019. – 256 с. 17. Джин К.Н., Ли У., Ин И.Х., Чхве Си, Чжэ Х.Дж., Чунг Дж.У., Пак Дж. Х. Предоперационная оценка артерий нижних конечностей для свободного переноса малоберцовой кости с помощью MDCT-ангиографии. J Компьютерная томография. Сентябрь-октябрь 2007; 31 (5): 820-5. doi: 10.1097/RCT.0b013e318033defd. PMID: 17895799.] 18. Журавлев, И.В. Совершенствование методов диагностики, планирования и лечения пациентов с поражением нижней челюсти амелобластомой : дис. … канд. мед. наук: 14.01.14 / Журавлев И.В. – Санкт-Петербург, 2012. – 105 с. 19. Замещение дефекта челюстно-лицевой области комплексами тканей с передней брюшной стенки / А.И. Неробеев, Г.И. Осипов, В.И. Малаховская, А.-С. Яхья // Анналы пластической, реконструктивной и эстетической хирургии. – 2003. – № 4. –С. 26-30. 20. Значение электронейромиографического исследования в периоперационном периоде у больных с лицевым параличом / Н.В. Калакуцкий, О.Ю. Петропавловская, Н.В. Пахомова [и др.] // Российский нейрохирургический журнал имени проф. А.Л. Поленова. – 2018. – Т. Х. – С. 106. 21. Иванова, Е.Д. Мoдифицирoвaнный пoдxoд в пpимeнeнии пepфopaнтнoгo пoдпoдбoрoдoчнoгo лоскута при уcтрaнении дeфeктoв челюcтнo–лицeвoй oблacти : дис. … канд. мед. наук: 14.01.14 / Иванова Е.Д. – Москва, 2021. – 171 с. 22. Идентификация группы крайне высокого риска развития послеоперационных венозных тромбоэмболических осложнений методом учета суммарного количества индивидуальных предрасполагающих к тромбозу состояний / В.Е. Баринов, К.В. Лобастов, В.В. Бояринцев [и др.] // Флебология. – 2014. – Т. 8, № 2. – С. 88-99. 23. Использование зубных протезов, опирающихся на балку, фиксированную к имплантатам, в комплексной реабилитации больных после замещения протяженных дефектов нижней челюсти васкуляризированными костными аутотрансплантатами / В.И. Приходько, Н.В. Калакуцкий, О.Ю. Петропавловская [и др.] // Научно-практический журнал «Институт стоматологии». – 2014. – Т. 63, № 1. – С. 74-78. 24. Использование подподбородочного и лучевого лоскутов для реконструкции при раке слизистой оболочки полости рта / М.А. Кропотов, В.А. Соболевский, А.А. Лысов [и др.] // Злокачественные опухоли. – 2018. – № 3. – С. 39-48. – doi: 10.18027/2224-5057-2018-8-3-39-48. 25. Использование результатов спиральной компьютерной томографии при хирургическом устранени дефектов и деформаций челюстно-лицевой области / Н.А. Рабухина, Г.И. Голубева, С.А. Перфильев [и др.] // Алфавит стоматологии. –2007. – № 3. – С. 13-17. 26. Использование спиральной компьютерной томографии при лечении больных с дефектами и деформациями лицевых костей и мягких тканей / Н.А. Рабухина, Г.И. Голубева, С.А. Перфильев [и др.] // Стоматология. – 2007. – № 5. – С. 44-50. 27. Использование субментального лоскута в реконструкции дефектов головы и шеи / О.А. Саприна, Р.И. Азизян, В.Ж. Бржезовский [и др.] // Сибирский онкологический журнал. – 2018. – Т. 17, № 3. – С. 51-57. – doi: 10.21294/1814-4861-2018-17-3-51-57. 28. Калакуцкий, Н.В. Исследование антропометрических данных малоберцовой кости для обоснования возможности использования дентальных имплантатов при замещении дефектов нижней челюсти аутотрансплантатом малоберцовой кости с применением методики прототипирования и навигации / Н.В. Калакуцкий, В.Л. Петришин, В.И. Приходько // Международный журнал прикладных и фундаментальных исследований. – 2017. – Т. 12, № 2. – С. 277-281. – URL: https://elibrary.ru/item.asp?id=32307227. 29. Калакуцкий, Н.В. Костная пластика нижней челюсти васкуляризированными аутотрансплантатами : дис. … д-ра мед. наук: 14.00.21 / Калакуцкий Н.В. – Санкт-Петербург, 2004. – 240 с. 30. Калакуцкий, Н.В. Обоснование биологического моделирования кожно-костно-мышечного лоскута на основе широчайшей мышцы спины в эксперименте / Н.В. Калакуцкий, И.Н. Калакуцкий, Л.А. Мусина // Анналы пластической, реконструктивной и эстетической хирургии. – 2014. – № 3. – С. 50-56. 31. Калакуцкий, Н.В. Оценка донорской зоны в отдалённом периоде после пересадки васкуляризированного аутотрансплантата малоберцовой кости для реконструкции верхней и нижней челюстей / Н.В. Калакуцкий, К.А. Веселова, А.С. Устюжанинов // Анналы пластической, реконструктивной и эстетической хирургии. – 2014. – № 4. – С. 21-27. 32. Калакуцкий, Н.В. Реабилитация больных с объемными образованиями челюстей / Н.В. Калакуцкий, И.В. Журавлёв, Ю.В. Иванов // Институт стоматологии. – 2017. – Т. 77, № 4. – С. 56-57. 33. Калакуцкий, Н.В. Результаты аугументации альвеолярной части нижней челюсти методом расщепления при подготовке больных к протезированию на имплантатах / Н.В. Калакуцкий, С.В. Садилина // Институт стоматологии. – 2016. – Т. 71, № 2. – С. 51-53. 34. Калакуцкий, H.B. Устранение обширных изъянов челюстно-лицевой области различными вариантами торакодорсального лоскута с использованием микротехники : дис. … канд. мед. наук: 14.01.14 / Калакуцкий Н.В. – Ленинград, 1991. – 175 с. 35. Клецкин, А.Э. Профилактика и лечение венозных тромбоэмболических осложнений в госпитальной практике / А.Э. Клецкин // Флебология. – 2014. – Т. 8, № 2. – С. 88-99. 36. Клинические рекомендации по нутритивной поддержке при химиотерапии и/или лучевой терапии / Н.С. Бесова, Т.Н. Борисова, В.Б. Ларионова [и др.]. – Москва, 2014. – 13 с. 37. Клинический случай генетического синдрома гиперпаратиреоза и опухоли нижней челюсти / Н.В. Калакуцкий, О.Ю. Петропавловская, Д.Ю. Семенов [и др.] // Онкохирургия. – 2014. – № 1. – С. 158. 38. Кничке М., Баумгарт А.К., Беккер С, Аделунг С, Роллер Ф., Шмермунд Д., Беттгер С., Ховальдт Л.Р., Аттия С. Компьютерная томографическая ангиография (КТА) перед реконструктивной операцией на челюсти с использованием лоскута без малоберцовой кости при реконструкции головы и шеи. J Челюстно-лицевая хирургия. 2022 август; 80 (8): 1434-1444. doi: 10.1016/j.joms.2022.03.018. Epub 2022 Mar 29. PMID: 35461799 39. Комплексный подход в диагностике и оперативном лечении пациентов с новообразованиями околоушных слюнных желез и параличом мимической мускулатуры / Н.В. Пахомова, Н.В. Калакуцкий, О.Ю. Петропавловская, Д.И. Грачев // Международный журнал прикладных и фундаментальных исследований. – 2018. – № 1. – С. 84-88. 40. Крайтор, А.С. Оптимизация хирургического лечения пациентов с радионекрозом тканей челюстно-лицевой области : дис. … канд. мед. наук: 14.01.14 / Крайтор А.С. – Москва, 2019. – 165 с. 41. Кузьков, В.В. Основы интенсивной терапии: практическое руководство Всемирной федерации обществ анестезиологов (WFSA) / В.В. Кузьков, Э.В. Недашковский. – Издание 2-е, переработанное и дополненное. – Архангельск, 2016. – 466 с. 42. Латеральный край лопатки – новая донорская зона при реконструкции альвеолярного отростка верхней челюсти и альвеолярной части нижней челюсти при подготовке к имплантации / Н.В. Калакуцкий, О.Ю. Петропавловская, И.Н. Калакуцкий, С.В. Садилина // Анналы пластической, реконструктивной и эстетической хирургии. – 2017. – № 3. – С. 66-73. 43. Лучевые методы диагностики при обследовании пациентов перед оперативными вмешательствами в боковом отделе лица / В.И. Амосов, А.И. Яременко, Е.В. Бубнова [и др.] // Лучевая диагностика и терапия. – 2018. – № 4. – С. 57-62. 44. Мао С, Цай Ц, Пэн Х, Лиу Д., Ю. Г. [Значение предоперационной рутинной ангиографии донорской ноги при свободных лоскутах малоберцовой кости]. Чжунхуа Коу Цян И Сюэ Цза Чжи. 2002 Январь; 37 (1):15-7. Китайский. PMID: 11955352]. 45. Марченко, С.В. Энтеральное питание в интенсивной терапии/С.В.Марченко, Ю.Н.Доценко – Гомель: ГУ «РНПЦ РМиЭЧ», 2019. – 49 с. 46. Междисциплинарная модель обследования, лечения и реабилитации пациентов с лицевым параличом и с заболеваниями околоушной слюнной железы / О.Ю. Петропавловская, Н.В. Пахомова, Н.В. Калакуцкий [и др.] // Современные проблемы науки и образования. – 2018. – № 4. – URL: http://www.science-education.ru. 47. Микрохирургическая реконструкция тканей полости рта функциональными аутотрансплантатами у онкологических больных / И.В. Решетов, А.А. Шевалгин, Н.С. Сукорцева, М.Е. Гапонов // Анналы пластической, реконструктивной и эстетической хирургии. – 2017. – № 1. – С. 125. 48. Некоторые факторы развития поздних осложнений при реконструктивных вмешательствах у челюстно-лицевых больных с использованием костных васкуляризированных трансплантатов / Н.В. Калакуцкий, О.Ю. Петропавловская, В.Н. Вавилов, С.В. Садилина // Международный журнал прикладных и фундаментальных исследований. – 2018. – № 2. – С. 90-94. 49. Неробеев, А.И. Использование реваскуляризированных лоскутов для закрытия комбинированных дефектов нижней зоны лица / А.И. Неробеев, А.С. Караян // Анналы пластической, реконструктивной и эстетической хирургии. – 1998. – № 3. –С. 41-43. 50. Неробеев, А.И. Использование свободных реваскуляризированных комбинированных аутотрансплантатов с боковой стенки грудной клетки / А.И. Неробеев, Г.И. Осипов, А.С. Караян // Стоматология на пороге третьего тысячелетия : Стоматология 2001 : сборник тезисов. – Москва, 2002. – С. 416-417.
Информация
Список сокращений
АБТ – антибактериальная терапия
АБП – антибиотикопрофилактика
АД – артериальное давления
ВТЭО – венозные тромбоэмболические осложнения
ИОХВ – инфекция области хирургического вмешательства
КТ – компьютерная томография
МБК – малоберцовый костный трансплантат
МНО – международное нормализованное отношение
МРТ – магнитно-резонансная томография
MRSA – метициллинорезистентный S. aureus
НАК EUCAST – Российский Национальный Комитет по Тестированию Антимикробной Восприимчивости (NACs)
НМГ – препараты низкомолекулярного гепарина (группа гепарина)
НП – нутритивная поддержка
НПВП – нестероидные противовоспалительные и противоревматические препараты
ОЦК – объём циркулирующей крови
ПАП – периоперационная антимикробная профилактика
РАТ – реваскуляризируемый аутотрансплантат
СКАТ – Программа СКАТ (Стратегия Контроля Антимикробной Терапии) при оказании стационарной медицинской помощи. Российские клинические рекомендации (2018 г.)
ТЭЛА – тромбоэмболия лёгочной артерии
УЗИ – ультразвуковое исследование
УЗДГ – ультразвуковая допплерография
Шкала Caprini (Каприни) – шкала оценки риска развития венозных тромбоэмболических осложнений у пациентов хирургического профиля
ЧЛО – челюстно-лицевая область
ЧЛТ – челюстно-лицевая травма
ЧМТ – черепно-мозговая травма
ЧСС – частота сердечных сокращений
ЭхоКГ – эхокардиография
Термины и определения
Внутриротовой (интраоральный) доступ – вид оперативного доступа, который выполняется путем последовательного рассечения слизистой оболочки полости рта, надкостницы, иногда и более глубоких слоев мягких тканей для визуализации челюсти.
Гигиена полости рта – комплекс мероприятий, направленный на снижение количества зубных отложений.
Закрытый перелом нижней челюсти – вид перелома, при котором не возникает сообщения щели перелома с внешней средой через рану кожи, рану (разрыв) слизистой оболочки полости рта, либо через периодонтальную щель зуба.
Инфекция области хирургического вмешательства (ИОХВ) – инфекция хирургической раны, органа или полости, возникающая в течение первых 30 дней послеоперационного периода (при наличии имплантата – до 1 года) [5, 12, 13, 32, 40].
Периоперационная антимикробная профилактика (ПАП) или антибиотикопрофилактика (АБП) – профилактическое применение антибактериальных препаратов системного действия с целью предупреждения развития (снижения риска развития) раневой инфекции в области хирургического вмешательства.
Дефект лицевого черепа (от лат. dēfectus - уменьшение, недостаток) – симптомокомплекс, характеризующийся отсутствием или утратой (потерей) части вещества костной ткани, которое ведёт к нарушению анатомической целостности структур лицевого черепа, эстетическим и функциональным расстройствам.
Деформация лицевого черепа (от лат. deformatio – искажение) – симптомокомплекс, характеризующийся нарушением анатомической формы, линейных и объёмных параметров всей кости и/или её части, а так же развитием неконгруэнтного соотношения костных структур костей лицевого черепа, ведущее к анатомическим, эстетическим и функциональным расстройствам, ухудшению качества жизни.
Дефекты послеоперационные – это изъяны тканей, возникающие вследствие лечения эпителиальных злокачественных опухолей: плоскоклеточного рака дна полости рта, нижней губы, нижней челюсти, аденокарциномы твёрдого неба и верхнечелюстной пазухи, после оперативного лечения соединительнотканных опухолей – сарком.
Дефекты посттравматические – это изъяны тканей, возникающие в результате воздействия травмирующего агента силой, превышающей прочность костных структур, ведущих к образованию дефекта. Наиболее часто подобные повреждения возникают после дорожно-транспортных происшествий, огнестрельных ранений.
Иммобилизации челюсти – это закрепление отломков челюсти при ее переломе в правильном положении на срок, необходимый для их сращения (консолидации), т.е. до образования костной мозоли.
Клиническое питание – это процесс обеспечения адекватного питания с помощью ряда методов, отличных от обычного приёма пищи, включающих в себя парентеральное питание, энтеральное питание или их комбинацию.
Кожный перфорантный сосуд – сосуд, отходящий от основного осевого питающего ствола трансплантата, кровоснабжающий кожную «площадку» комбинированного аутотрансплантата.
Комбинированный дефект лица – одновременно протяжённый костный и обширный мягкотканный дефекты челюстно-лицевой локализации.
Ложный сустав (неправильно сросшийся перелом) – вариант сращения костных отломков, когда по прошествии двойного среднего срока, необходимого для формирования полноценной костной мозоли, рентгенологические признаки консолидации отсутствуют, а также сохраняется подвижность костных фрагментов.
Наружный доступ – вид оперативного доступа, который выполняется путем последовательного рассечения кожи, подкожной жировой клетчатки и более глубоких слоев мягких тканей для визуализации челюсти. Остеосинтез – соединение отломков кости при ее переломе или реконструктивной операции с использованием различного рода конструкций (проволочный шов, накостная минипластина и т.д.).
Нутритивная поддержка – это научно обоснованная система диагностических и лечебных мероприятий, направленных на поддержание необходимых метаболических и структурно-функциональных процессов в организме, обеспечивающих последнему должный гомеостаз и адаптационные резервы; процесс субстратного обеспечения больных с использованием специальных методов, отличающихся от обычного питания, искусственно созданных питательных смесей различной направленности.
Нутриционное питание – это комплекс мероприятий, направленных на обеспечение относительно устойчивого трофического гомеостаза с целью оптимизации структурно-функциональных и метаболических процессов организма и адаптационных резервов.
Остеомиелит челюсти (от греческих слов: osteo от osteon – «кость»; myelo – «мозг»; -itis – «воспаление») – это острый инфекционно-воспалительный (или гнойно-некротический) процесс инфекционно-аллергической природы одонтогенного или неодонтогенного происхождения, при котором зона поражения распространяется одновременно во всех структурных компонентах костной ткани челюстной кости, а также в окружающих мягких тканях, вызываемый пиогенными (производящими гной) бактериями или микобактериями с образованием участка нежизнеспособной ткани.
Острый одонтогенный остеомиелит – это острый одонтогенный инфекционно-воспалительный процесс, при котором зона поражения в кости распространяется за пределы зубо-альвеолярного сегмента, явившегося местом локализации входных ворот для возбудителя заболевания, на пародонт соседних зубов или тело челюсти.
Остеонекроз (ОН) – это поражение различных отделов кости полиэтиологической природы, возникающее в ответ на прогрессирующее нарушение в ней микроциркуляции и приводящее к гибели костного мозга и трабекулярной кости. По мнению сотрудников ФГБНУ НИИР им. В.А. Насоновой, по этиологии, патогенезу или данным магнитно-резонансной томографии (МРТ) ОН условно разделяют на 4 категории:
1. Ишемический ОН (аваскулярный асептический некроз), развивающийся в ответ на прекращение сосудистого питания кости при тромбозе сосуда. Применительно к таким же изменениям, происходящим в костном мозге, чаще употребляется термин «инфаркт кости».
2. ОН, возникающий вследствие патологических изменений, связанных с отеком костного мозга или субхондральных отделов кости, чаще ассоциируется с хроническими артритами, артрозом, локальным и генерализованным остеопорозом.
3. ОН челюсти, связанный с применением бисфосфонатов (БОНЧ) для лечения костных метастазов у онкологических больных (солидные опухоли, карцинома молочной, предстательной железы).
4. Спорадический ОН (болезнь Пертеса, Хасса и т. д.).
Рассматривают также глюкокортикоидный остеонекроз, который вместе с бисфосфонатным относят к ятрогенным.
Реваскуляризируемый костный аутотрансплантат (от англ.: revascularization – подключение к новому источнику сосудистого питания), или свободный лоскут – это кровоснабжаемый комплекс аутотканей, включающий костный сегмент с прилежащими мышцами в виде муфты, имеющий осевую систему кровоснабжения или надкостничный тип кровоснабжения с восстановлением питания после наложения сосудистых анастомозов с реципиентными сосудами (реваскуляризация).
Репозиция фрагментов кости – процедура, целью которой является сопоставление фрагментов кости.
Сосудистая ножка – основной сосудистый пучок трансплантата, включающий артерию и вену (или 2 вены), кровоснабжающий весь конгломерат тканей, входящих в состав аутотрансплантата.
Критерии оценки качества медицинской помощи
|
№ |
Критерии качества |
Оценка выполнения (да/нет) |
|---|---|---|
|
1 |
Выполнена компьтерная томография лицевого отдела черепа с внутривенным болюсным контрастированием, мультипланарной и трехмерной реконструкцией (при планировании хирургического лечения). |
Да/нет |
|
2 |
Выполнено планирование лечения с учетом послеоперационной реабилитации, включая внутрикостную зубную имплантацию. |
Да/нет |
|
3 |
Проведено хирургическое лечение (при наличии значительных костных дефектов, функциональных нарушений, по эстетическим показаниям, при неэффективности консервативной терапии, в формате подготовки к ортодонтическому лечению и/или в рамках профилактики осложнений). |
Да/нет |
|
4 |
Проведена профилактика инфекционных осложнений в области хирургического вмешательства всем пациентам с закрытием костного дефекта челюстно-лицевой области (при планировании хирургического лечения). |
Да/нет |
|
5 |
Проведены реабилитационные мероприятия пациентам, перенесшим хирургическое лечение. |
Да/нет |
Приложение А1. Состав рабочей группы по разработке и пересмотру клинических рекомендаций
-
Грачев Николай Сергеевич, д.м.н., профессор, генеральный директор ФГБУ «НМИЦ ДГОИ им. Дмитрия Рогачева» Минздрава России, член федерации специалистов по заболеваниям органов головы и шеи.
-
Лопатин Андрей Вячеславович, д.м.н., профессор, заместитель генерального директора по научно-клинической работе ФГБУ «НМИЦ ДГОИ им. Дмитрия Рогачева» Минздрава России.
-
Марков Николай Михайлович, д.м.н., профессор, заведующий лаборатории челюстно-лицевой реабилитации, стоматологии и ортодонтии директор ФГБУ «НМИЦ ДГОИ им. Дмитрия Рогачева» Минздрава России.
-
Ворожцов Игорь Николаевич, к.м.н., руководитель группы хирургии головы и шеи и реконструктивно-пластической хирургии научного отдела хирургии и анестезиологии «НМИЦ ДГОИ им. Дмитрия Рогачева» Минздрава России, заведующий отделением детской онкологии, хирургии головы и шеи и нейрохирургии «НМИЦ ДГОИ им. Дмитрия Рогачева» Минздрава России, член федерации специалистов по заболеваниям органов головы и шеи.
-
Бабаскина Наталья Владимировна, врач-детский онколог отделения детской онкологии, хирургии головы и шеи и нейрохирургии «НМИЦ ДГОИ им. Дмитрия Рогачева» Минздрава России, младший научный сотрудник группы хирургии головы и шеи и реконструктивно-пластической хирургии научного отдела хирургии и анестезиологии «НМИЦ ДГОИ им. Дмитрия Рогачева» Минздрава России, член федерации специалистов по заболеваниям органов головы и шеи.
-
Старокорова Капитолина Дмитриевна, врач-детский хирург отделения детской онкологии, хирургии головы и шеи и нейрохирургии «НМИЦ ДГОИ им. Дмитрия Рогачева» Минздрава России.
Приложение А2. Методология разработки клинических рекомендаций
Целевая аудитория данных клинических рекомендаций:
-
Врачи-детские хирурги
-
Врачи-челюстно-лицевые хирурги
-
Врачи-детские онкологи
-
Врачи-пластические хирурги
-
Врачи-стоматологи
-
Врачи-оториноларингологи
-
Организаторы здравоохранения
-
Врачи-эксперты медицинских страховых организаций (в том числе при проведении медико-экономической экспертизы)
-
Студенты медицинских ВУЗов, ординаторы, аспиранты.
Таблица. Шкала оценки уровней достоверности доказательств (УДД) для методов диагностики (диагностических вмешательств)
|
УДД |
Расшифровка |
|---|---|
|
1 |
Систематические обзоры исследований с контролем референсным методом или систематический обзор рандомизированных клинических исследований с применением мета-анализа |
|
2 |
Отдельные исследования с контролем референсным методом или отдельные рандомизированные клинические исследования и систематические обзоры исследований любого дизайна, за исключением рандомизированных клинических исследований, с применением мета-анализа |
|
3 |
Исследования без последовательного контроля референсным методом или исследования с референсным методом, не являющимся независимым от исследуемого метода или нерандомизированные сравнительные исследования, в том числе когортные исследования |
|
4 |
Несравнительные исследования, описание клинического случая |
|
5 |
Имеется лишь обоснование механизма действия или мнение экспертов |
Таблица 1. Шкала оценки уровней достоверности доказательств (УДД) для методов профилактики, лечения, медицинской реабилитации, в том числе основанных на использовании природных лечебных факторов (профилактических, лечебных, реабилитационных вмешательств)
|
УДД |
Расшифровка |
|---|---|
|
1 |
Систематический обзор РКИ с применением мета-анализа |
|
2 |
Отдельные РКИ и систематические обзоры исследований любого дизайна, за исключением РКИ, с применением мета-анализа |
|
3 |
Нерандомизированные сравнительные исследования, в т.ч. когортные исследования |
|
4 |
Несравнительные исследования, описание клинического случая или серии случаев, исследования «случай-контроль» |
|
5 |
Имеется лишь обоснование механизма действия вмешательства (доклинические исследования) или мнение экспертов |
Таблица 3. Шкала оценки уровней убедительности рекомендаций (УУР) для методов профилактики, диагностики, лечения, медицинской реабилитации, в том числе основанных на использовании природных лечебных факторов (профилактических, диагностических, лечебных, реабилитационных вмешательств)
|
УУР |
Расшифровка |
|---|---|
|
A |
Сильная рекомендация (все рассматриваемые критерии эффективности (исходы) являются важными, все исследования имеют высокое или удовлетворительное методологическое качество, их выводы по интересующим исходам являются согласованными) |
|
B |
Условная рекомендация (не все рассматриваемые критерии эффективности (исходы) являются важными, не все исследования имеют высокое или удовлетворительное методологическое качество и/или их выводы по интересующим исходам не являются согласованными) |
|
C |
Слабая рекомендация (отсутствие доказательств надлежащего качества (все рассматриваемые критерии эффективности (исходы) являются неважными, все исследования имеют низкое методологическое качество и их выводы по интересующим исходам не являются согласованными) |
Порядок обновления клинических рекомендаций.
Механизм обновления клинических рекомендаций предусматривает их систематическую актуализацию – не реже чем один раз в три года, а также при появлении новых данных с позиции доказательной медицины по вопросам диагностики, лечения, профилактики и реабилитации конкретных заболеваний, наличии обоснованных дополнений/замечаний к ранее утверждённым КР, но не чаще 1 раза в 6 месяцев.
Приложение А3. Справочные материалы, включая соответствие показаний к применению и противопоказаний, способов применения и доз лекарственных препаратов, инструкции по применению лекарственного препарата
Данные клинические рекомендации разработаны с учётом следующих нормативно- правовых документов:
-
Статья 76 Федерального Закона Российской Федерации от 21.11.2011 № 323-ФЗ «Об основах охраны здоровья граждан в Российской Федерации», в части разработки и утверждении медицинскими профессиональными некоммерческими организациями клинических рекомендаций (протоколов лечения) по вопросам оказания медицинской помощи;
-
Приказ Минздрава России от 14.06.2019 № 422н «Об утверждении Порядка оказания медицинской помощи по профилю «челюстно-лицевая хирургия»;
-
Федеральный Закон Российской Федерации от 29.11.2010 № 326-ФЗ «Об обязательном медицинском страховании в Российской Федерации»;
-
Приказ Минздрава России от 14.04.2025 № 203н "Об утверждении критериев оценки качества медицинской помощи"
-
Приказ Минтруда России от 26.07.2024 № 374н "Об утверждении классификаций и критериев, используемых при осуществлении медико-социальной экспертизы граждан федеральными учреждениями медико-социальной экспертизы";
-
Федеральный Закон от 17.07.1990 178-ФЗ «О государственной социальной помощи».
-
Приказ Минздрава России от 24.06.2021 № 664н "Об утверждении Порядка информирования медицинскими организациями органов внутренних дел в случаях, установленных пунктом 5 части 4 статьи 13 Федерального закона "Об основах охраны здоровья граждан в Российской Федерации"
-
Федеральный Закон от 24 июля 1998 г. № 124-ФЗ "Об основных гарантиях прав ребенка в Российской Федерации".
Приложение Б. Алгоритмы действий врача
Прием (осмотр, консультация) врача-ортодонта-первичный

Приложение В. Информация для пациента
Дефекты челюстно-лицевой области у детей могут быть как врожденными, так и приобретенными – после травм, удаления новообразований, как осложнения хирургических вмешательств. Это может приводить как к эстетическим нарушениям (например, нарушение симметрии или пропорций лица), что осложняет социальную адаптацию ребенка, а также к функциональным проблемам, включая нарушение таких функций как дыхание, питание (жевание, глотание), речь. Даже незначительные изменения и дефекты челюстно-лицевого скелета могут стать намного более выраженными при взрослении ребенка, поэтому ни в коем случае нельзя откладывать визит к врачу-специалисту для разработки оптимального плана коррекции, реабилитации и при необходимости – этапного хирургического лечения. С учетом возраста ребенка будет подобран оптимальный вариант реконструкции – это может быть как индивидуальный «растущий» протез при костных дефектах челюстей (обычно применяется у детей младшего возраста), так и микрохирургическая реконструкция с использованием собственной кости ребенка на питающей сосудистой ножке (обычно рекомендуется для детей от 14 лет). Следует помнить, что процесс восстановления челюстно-лицевой области всегда включает в себя несколько этапов и является растянутым во времени – как минимум, на протяжении всего периода активного роста ребенка.
Приложение Г1-ГN. Шкалы оценки, вопросники и другие оценочные инструменты состояния пациента, приведенные в клинических рекомендациях
Не применяется.
Прикреплённые файлы
Внимание!
- Занимаясь самолечением, вы можете нанести непоправимый вред своему здоровью.
- Информация, размещенная на сайте MedElement и в мобильных приложениях "MedElement (МедЭлемент)", "Lekar Pro", "Dariger Pro", "Заболевания: справочник терапевта", не может и не должна заменять очную консультацию врача. Обязательно обращайтесь в медицинские учреждения при наличии каких-либо заболеваний или беспокоящих вас симптомов.
- Выбор лекарственных средств и их дозировки, должен быть оговорен со специалистом. Только врач может назначить нужное лекарство и его дозировку с учетом заболевания и состояния организма больного.
- Сайт MedElement и мобильные приложения "MedElement (МедЭлемент)", "Lekar Pro", "Dariger Pro", "Заболевания: справочник терапевта" являются исключительно информационно-справочными ресурсами. Информация, размещенная на данном сайте, не должна использоваться для самовольного изменения предписаний врача.
- Редакция MedElement не несет ответственности за какой-либо ущерб здоровью или материальный ущерб, возникший в результате использования данного сайта.