Аортальная недостаточность
Версия: Клинические рекомендации РФ 2025 (Россия)
Общая информация
Краткое описание
Разработчик клинической рекомендации
Ассоциация сердечно-сосудистых хирургов России
Общероссийская общественная организация «Российское кардиологическое общество»
Общероссийская общественная организация содействия развитию лучевой диагностики и терапии "Российское общество рентгенологов и радиологов"
Российское научное общество специалистов по рентгенэндоваскулярной диагностике и лечению
Российское общество кардиосоматической реабилитации и вторичной профилактики (РосОКР)
Одобрено Научно-практическим Советом Минздрава России
Клинические рекомендации
Аортальная недостаточность
Пересмотр не позднее:2027
Возрастная категория: Взрослые
Определение заболевания или состояния (группы заболеваний или состояний)
Аортальная недостаточность (АН) – порок, характеризующийся нарушением смыкания или разрушением створок аортального клапана (АК), приводящий к нарушению его запирательной функции и формированию обратного потока крови во время диастолы в левый желудочек (ЛЖ) [1, 2].
Особенности кодирования заболевания или состояния (группы заболеваний или состояний) по Международной статистической классификации болезней и проблем, связанных со здоровьем
I06.1 – Ревматическая недостаточность аортального клапана
I35.1 – Аортальная (клапанная) недостаточность
Q23.1 – Врожденная недостаточность аортального клапана
Q23.8 – Другие врожденные аномалии аортального и митрального клапана
Q23.9 – Врожденная аномалия аортального и митрального клапана неуточненная
Примеры оформления диагнозов:
Основной: ВПС: Двустворчатый АК с формированием тяжелой АН.
Осложнения: ХСН с сохранной ФВ (60%), Cтадия 1, II ФК NYHA.
Классификация
Классификация заболевания или состояния (группы заболеваний или состояний)
Относительно сроков и особенностей возникновения АН делится на врожденную и приобретенную, острую и хроническую. По выраженности выделяют 3 градации тяжести аортальной регургитации: легкую (mild), умеренную (moderate), и тяжелую (severe). Хроническая АН оценивается по структурным, качественным, полуколичественным и количественным параметрам при трансторакальной эхокардиографии (ЭхоКГ) с цветовым допплеровским картированием (таблица ПБ-1, Приложение Б) [11, 12, 13].
Данная классификация предпочтительнее при постановке диагноза, использование классификации по цифровым степеням регургитации (1, 2, 3, 4) не рекомендуется [11, 12, 13, 14, 15]. По механизму формирования выделяют 3 типа АН: первый (нормальные створки АК, нарушенная коаптация вследствие расширения ВА, центральная струя регургитации), второй (пролапс створок АК и эксцентричный поток регургитации) и третий (деформация и ретракция створок АК с формированием центрального либо эксцентричного потока регургитации). L. de Kerchove и G. El Khoury расширили данную классификацию с позиции выбора метода коррекции АН (таблица ПБ-2, Приложение Б) [11, 16].
Этиология и патогенез
Этиология и патогенез заболевания или состояния (группы заболеваний или состояний)
Причинами АН могут быть структурные изменения створок АК, нарушающие запирательную функцию клапана: атеросклеротические изменения створок, инфекционный эндокардит (ИЭ) с разрушением створок [1, 3]. Нередкими этиологическими факторами АН являются врожденные аномалии: двустворчатый (ДАК), моностворчатый, четырехстворчатый АК [156, 157]. Относительно нечастой причиной АН может быть травматическое повреждение [4]. При отсутствии морфологических изменений полулунных заслонок АН может развиваться при расширении фиброзного кольца (ФК) АК, синусов Вальсальвы, синотубулярного соединения (СТС) и изменении соотношений пространственных характеристик структур корня аорты, что сопутствует аневризме корня и восходящей аорты [5]. Аортальная регургитация зачастую осложняет расслоение восходящего отдела аорты. Другими нередкими причинами АН являются склеротическая дегенерация, ревматизм, соединительнотканная дисплазия, реже – анкилозирующий спондилит, сифилитический аортит, ревматоидный артрит, деформирующий остеоартроз, гигантоклеточный аортит, дефект межжелудочковой перегородки с пролапсом АК, опухоли АК. Большинство этих причин приводят к хронической АН с постепенной и скрытой дилатацией ЛЖ, как правило, сопровождающейся длительным бессимптомным периодом [2, 6, 7]. Другие причины, в частности ИЭ, ятрогения, острое расслоение аорты и травма, чаще приводят к острой тяжелой АН, которая может вызвать внезапное катастрофическое повышение давления наполнения ЛЖ и снижение сердечного выброса.
При острой тяжелой АН в левый желудочек нормального размера возвращается большой объем крови, и ЛЖ не имеет времени адаптироваться к перегрузке объемом. Неспособность желудочка к быстрой компенсаторной дилатации полости приводит к уменьшению ударного объема. Тахикардия, которая развивается как компенсаторный механизм для поддержания сердечного выброса, часто оказывается недостаточно для такой компенсации. Поскольку конечное диастолическое давление ЛЖ приближается к диастолическому давлению в аорте и коронарных артериях, снижается миокардиальная перфузия субэндокарда. Дилатация ЛЖ и истончение его стенки из-за увеличения постнагрузки в сочетании с тахикардией приводит к увеличению потребности миокарда в кислороде, поэтому при острой тяжелой АН часто развивается ишемия, осложнения которой могут привести к внезапной смерти. В ответ на перегрузку объемом при хронической АН в ЛЖ формируется ряд компенсаторных механизмов, в том числе увеличение конечно-диастолического объема и податливости камеры ЛЖ, что приводит к увеличению объема без повышения давления наполнения ЛЖ и комбинации эксцентрической и концентрический гипертрофии. Таким образом, АН создает условия для комбинации перегрузки объемом и перегрузки давлением [2]. Систолическая дисфункция ЛЖ (наиболее часто определяемая как снижение ФВ ниже нормы в покое) связана преимущественно с приростом постнагрузки и может быть обратима на начальных этапах после протезирования АК [7, 8]. Постепенно, по мере дилатации, ЛЖ приобретает сферическую форму. Сократимость миокарда снижается из-за чрезмерной нагрузки, что приводит к стойкой систолической дисфункции, и ожидаемый эффект операции (восстановление функции ЛЖ, повышение выживаемости) уже не может быть достигнут [8, 9].
Эпидемиология
Эпидемиология заболевания или состояния (группы заболеваний или состояний)
По результатам Фремингемского исследования, распространенность АН составляет 4,9% в популяции, при этом умеренная или тяжелая регургитация отмечена у 0,5% обследуемых лиц [2]. По данным других исследователей, встречаемость хронической АН может достигать почти 20%, распространенность растет с возрастом пациентов и между мужчинами и женщинами существенно не различается [10].
Клиническая картина
Cимптомы, течение
Клиническая картина заболевания или состояния (группы заболеваний или состояний)
Большинство пациентов с хронической АН остаются бессимптомными на протяжении фазы компенсации, которая может длиться годами и десятилетиями [2, 7, 17]. При декомпенсации порока появляются прогрессирующая одышка, ортопноэ, приступы сердечной астмы, утомляемость. У пациентов могут также отмечаться типичные ангинозные боли даже при отсутствии поражения коронарных артерий. Острая АН вызывает симптомы сердечной недостаточности. Больного беспокоит одышка при небольшой физической нагрузке и в покое, слабость, отеки нижних конечностей. При тяжелой АН высок риск развития отёка легких или кардиогенного шока. При расспросе пациента рекомендуется обратить внимание на наличие одышки при физической нагрузке и покое, приступов удушья, болей в грудной клетке. При декомпенсации порока появляется одышка при физической нагрузке, затем и в покое. Затем присоединяются приступы удушья (сердечная астма и/или отек легких), нарушения ритма сердца. Боли в сердце (стенокардия) также могут возникать при АН, но они не всегда связаны с провоцирующими факторами, как ангинозные боли при ишемической болезни сердца (ИБС). Не менее чем у четверти больных прогрессирует систолическая дисфункция ЛЖ перед появлением симптомов вплоть до смертельного исхода [2, 17, 18]. Поэтому клинический осмотр не является достаточным для оценки бессимптомных пациентов; обязательно проведение ЭхоКГ для количественной оценки функции ЛЖ.
Диагностика
Диагностика заболевания или состояния (группы заболеваний или состояний) медицинские показания и противопоказания к применению методов диагностики
1. Жалобы и анамнез
-
Рекомендуется сбор жалоб и анамнеза при патологии сердца и перикарда у всех пациентов с подозрением на АН для верификации диагноза [12, 13, 17, 19, 20].
ЕОК/РКО I B (УУР С, УДД 5)
Комментарии: при хронической АН в стадии компенсации клинические проявления могут отсутствовать в течение продолжительного периода времени. При приближении и наступлении декомпенсации наступает постепенное снижение толерантности к физическим нагрузкам, появление одышки при нагрузках (вначале при высокоинтенсивных нагрузках), ощущение «сердцебиений» в груди и «пульсаций» в голове. Появление АН у лиц молодого возраста характерно для врожденных аномалий АК, в первую очередь для лиц с ДАК. У данной категории пациентов клинические проявления застойной сердечной недостаточности могут манифестировать с молодого возраста [21]. Нередкими проявлениями хронической АН являются неприятные ощущения, дискомфорт и боли в области сердца и в грудной клетке. Периферические отеки, ортопноэ и отек легких могут наблюдаться как при хронической, так и при острой АН. Острая АН, как правило, характеризуется внезапным появлением выраженной одышки и/или удушья. Ишемия миокарда, нередко развивающаяся при острой АН, может проявляться болевым синдромом в грудной клетке [22]. Анамнестические указания на текущий инфекционный процесс (высокая лихорадка, недавние стоматологические процедуры или другие хирургические вмешательства) или транскатетерные манипуляции (КАГ и/или чрескожное коронарное вмешательство, прямая аортография, транскатетерные операции на аорте или на АК) дают основания предположить АН вследствие механического разрушения створок АК. Сведения об имеющейся аневризме и/или расслоении ВА позволяют заподозрить вторичный характер АН [23, 24, 25].
2. Физикальное обследование
-
Рекомендуется физикальное обследование всех пациентов с подозрением на АН врачом-кардиологом и\или врачом терапевтом, врачом общей практики (семейным врачом) для установления диагноза [12, 17, 19, 20].
ЕОК/РКО I B (УУР С, УДД 5)
Комментарии: при осмотре пациента с АН рекомендуется обратить внимание на пульсацию артерий шеи и нижних конечностей, измерить АД (измерение артериального давления на периферических артериях). Систолическое АД при выраженной АН часто повышено, диастолическое значительно снижено, пульсовое давление высокое. Патогномоничными внешними признаками тяжелой АН являются видимая пульсация общих сонных артерий (симптом Корригана), иногда височных и подключичных вен («пляска каротид»), высокий пульс с быстрым подъемом и падением (скачущий или коллапсирующий пульс, симптом «водяного молота»), усиленный и смещенный влево и вниз верхушечный толчок, псевдокапиллярный пульс (признак Квинке, лучше определяемый при легком надавливании), покачивание головы (симптом де Мюссе), пульсация в правом подреберье. Другие видимые симптомы тяжелой АН включают пульсацию капилляров небного язычка (симптом Мюллера), пульсацию зрачков (симптом Ландольфи), печени (симптом Розенбаха) или селезенки (симптом Герхарда).
При тяжелой АН выявляются следующие аускультативные феномены: диастолический шум во II межреберье справа и от грудины и в III- IV у левого края грудины и проводится на верхушку сердца, по характеру высокочастотный, чаще убывающий (decrescendo), связан с быстрым снижением объема или степени регургитации в течение диастолы; ослабление I тона на верхушке сердца, ослабление II тона над аортой; шум Остина Флинта – специфичный признак тяжелой АН, низкочастотный грохочущий диастолический шум, который часто выслушивается на верхушке, может быть среднедиастолическим или пресистолическим. На верхушке сердца часто выслушивается патологический III тон, что указывает на объемную перегрузку ЛЖ. На бедренных артериях могут выслушиваться два тона (двойной тон Траубе и двойной шум Виноградова-Дюрозье) [2, 18].
3. Лабораторные диагностические исследования
Специфических лабораторных исследований не требуется для установления диагноза АН [12, 17, 19, 20]. Однако существуют ряд ситуаций, когда необходимо проводить лабораторное дообследование.
-
Рекомендуется рассмотреть возможность при наличии показаний пациентам с АН, поступающим в стационар для оперативного лечения, выполнять исследование кислотно-основного состояния и газов крови (рН, ВЕ, рСО2, РО2, Lac - анализ капиллярной/артериальной/венозной проб) с целью оценки тяжести гипоксемии и степени выраженности метаболических нарушений, выполнение коагулограммы (ориентировочное исследование системы гемостаза) (активированное частичное тромбопластиновое время (АЧТВ), определение протромбинового (тромбопластинового) времени (ПТВ) в крови или в плазме, протромбиновый индекс (ПИ), определение концентрации Д-димера в крови, исследование уровня фибриногена в крови, определение активности антитромбина III в крови), определение международного нормализованного отношения (МНО) для прогноза риска периоперационных кровотечений и величины кровопотери; определение основных групп по системе AB0, определение антигена D системы резус (резус-фактор), определение фенотипа по антигенам C, c, E, e, Cw, K, k и определение антиэритроцитарных антител; определение антигена (HbsAg) вируса гепатита B (Hepatitis B virus) в крови, определение антител к вирусу гепатита C (Hepatitis C virus) в крови, определение антител к бледной трепонеме (Treponema pallidum) в крови, определение антител классов M, G (IgM, IgG) к вирусу иммунодефицита человека (ВИЧ) 1 (Human immunodeficiency virus HIV 1) в крови, определение антител классов M, G (IgM, IgG) к ВИЧ-2 (Human immunodeficiency virus HIV 2) в крови для исключения ассоциации с ВИЧ-инфекцией, гепатитом, при необходимости в пред- и/или послеоперационном периоде [7, 13, 19, 26, 27].
ЕОК/РКО IIa C (УУР C, УДД 5)
Комментарии: определение антигена (HbsAg) вируса гепатита B (Hepatitis B virus) в крови, определение антител к вирусу гепатита C (Hepatitis C virus) в крови, определение антител к бледной трепонеме (Treponema pallidum) в крови, определение антител классов M, G (IgM, IgG) к вирусу иммунодефицита человека (ВИЧ) 1 (Human immunodeficiency virus HIV 1) в крови, определение антител классов M, G (IgM, IgG) к ВИЧ-2 (Human immunodeficiency virus HIV 2) в рамках предоперационной подготовки может быть выполнен в рамках оказания первичной медицинской помощи.
-
Рекомендуется проведение общего (клинического) анализа мочи и общего (клинического) анализа крови и развернутого с оценкой уровня гемоглобина и гематокрита, количества эритроцитов, лейкоцитов, тромбоцитов, скорости оседания эритроцитов у всех пациентов с АН в рамках первичного обследования, в процессе динамического наблюдения не менее 1 раза в год и при поступлении в стационар, а также в случае оперативного лечения при необходимости в пред- и/или послеоперационном периоде [13, 19].
ЕОК/РКО I С (УУР C, УДД 5)
-
Рекомендуется проведение анализа крови биохимического общетерапевтического (исследование уровня калия, натрия, глюкозы, креатинина, общего белка, мочевины, общего билирубина, определение активности АЛТ и АСТ в крови, исследование уровня тиреотропного гормона (ТТГ) в крови, С-реактивного белка в крови) для оценки почечной и печеночной функции, исключения воспаления; исследование уровня общего холестерина крови, уровня холестерина липопротеинов низкой плотности (ХсЛНП) и уровня триглицеридов (ТГ) в крови с целью выявления фактора риска сопутствующего атеросклероза и при необходимости коррекции терапии у всех пациентов с АН в рамках первичного обследования и при поступлении в стационар, не менее 1 раз в год на контрольном визите при динамическом наблюдении, а также в случае оперативного лечения при необходимости в пред-и /или послеоперационном периоде [13, 19, 26].
ЕОК/РКО IIa C (УУР C, УДД 5)
-
Рекомендуется рассмотреть возможность определения уровня N-терминального фрагмента натрийуретического пропептида мозгового (NT-proBNP) в крови всем пациентам с АН в рамках первичного обследования и далее по необходимости с целью стратификации риска летальности, а также в случае оперативного лечения при необходимости в пред- и/или послеоперационном периоде [13, 19, 26].
ЕОК/РКО IIa C (УУР C, УДД 5)
4. Инструментальные диагностические исследования
4.1. Неинвазивные методы исследования
-
Пациентам с АН рекомендуется регистрация электрокардиограммы (ЭКГ) в покое, расшифровка, описание и интерпретация электрокардиографических данных (12-канальной ЭКГ) для оценки сердечного ритма, выявления изменений комплекса QRS, нарушений сердечного ритма и проводимости, а также в случае оперативного лечения при необходимости в пред- и/или послеоперационном периоде [20, 158,172].
ЕОК/РКО I B (УУР С, УДД 5)
Комментарий: основную роль в первичной диагностике, наблюдении и определении показаний к хирургическим вмешательствам при АН играют неинвазивные методы диагностики. ЭКГ рекомендуется для выявления нарушений ритма и проводимости у пациентов с хронической и острой АН. Изменения при ЭКГ неспецифичны и могут представлять собой признаки гипертрофии левого желудочка, отклонение оси влево, а также расширение левого предсердия. В случае острой АН нарушениями, выявляемыми при ЭКГ, могут быть неспецифические изменения сегмента ST и синусовая тахикардия, обусловленная повышенной активацией симпатической нервной системы [28, 29].
-
Рекомендуется пациентам с подозрением на АН и при диспансерном наблюдении с установленным диагнозом выполнение прицельной рентгенографии органов грудной клетки. При этом необходимо обращать внимание на состояние легких, наличие очаговых, инфильтративных изменений, наличие и оценку приблизительного объема жидкости в плевральных полостях, размеров и конфигурации тени сердца и средостения, наличия дополнительных рентгенконтрастных теней в проекции органов грудной полости на всех этапах диагностики и лечения [20].
ЕОК/РКО I B (УУР С, УДД 5)
Комментарии: прицельная рентгенография органов грудной клетки позволяет оценить состояние легких, наличие жидкости в плевральных полостях. Типичным рентгенологическим проявлением хронической АН является расширение тени сердца за счет ЛЖ. Острая АН может проявляться отеком легких. При АН вследствие расслоения восходящей аорты может визуализироваться расширение тени средостения. В дополнение могут быть приблизительно оценены размеры сердца, восходящей аорты, однако для решения этой задачи обзорная рентгенография грудной клетки не является методом выбора [28, 29, 30].
-
Рекомендовано выполнение ЭхоКГ всем пациентам с признаками и/или симптомами АН для верификации морфофункциональных характеристик АК, а также остальных клапанов сердца, определения размеров и объемов камер сердца, оценки функциональных характеристик желудочков, наличия врожденных и/или приобретенных пороков сердца, оценки уровня систолического давления в легочной артерии неинвазивным методом, а также в случае оперативного лечения при необходимости в пред- и/или послеоперационном периоде [12, 17, 28, 159, 172].
ЕОК/РКО I B (УУР С, УДД 5)
Комментарии: ЭхоКГ является ключевым методом диагностики для подтверждения диагноза порока клапана сердца, оценки тяжести, прогноза заболевания, выбора сроков и методов лечения. При проведении исследования необходимо руководствоваться параметрами, перечисленными в таблице ПБ-1. Рекомендуется сопоставлять размеры ЛЖ с площадью поверхности тела, особенно у пациентов, у которых она не превышает 1,68 м². Для планирования хирургического вмешательства и определения возможности клапаносохраняющей коррекции необходимо проанализировать механизм формирования АН, в соответствии с принципами, описанными в таблице ПБ-2 [159].
-
ЭхоКГ рекомендуется для диагностики и оценки причины хронической АН всем пациентам с подозрением на АН [6, 17, 31, 32, 33, 159].
ЕОК/РКО I B (УУР В, УДД 2)
-
Пациентам с диагностированным ДАК рекомендуется проводить первичную ЭхоКГ для оценки диаметра корня аорты и ВА [6, 17, 31, 32, 33, 159].
ЕОК/РКО I B (УУР В, УДД 2)
-
Рекомендуется всем пациентам с врожденной аномалией АК (двустворчатый, моностворчатый, четырехстворчатый АК) и/или с известным расширением корня аорты или ВА выполнение ЭхоКГ для установления наличия и тяжести АН [34, 35, 159].
ЕОК/РКО I B (УУР С, УДД 5)
-
Рекомендуются рассмотреть возможность выполнения нагрузочных тестов (электрокардиографии с физической нагрузкой, эхокардиографии с физической нагрузкой, велоэргометрии) пациентам с хронической АН для оценки функциональных возможностей и выявления симптомов у пациентов, имеющих атипичную картину болезни [6, 17, 31, 32, 33].
ЕОК\РКО IIa B (УУР B, УДД 2)
Комментарии: нагрузочное тестирование у бессимптомных пациентов должно быть выполнено только под наблюдением опытного врача с постоянным контролем АД и ЭКГ. Исследование имеет низкую диагностическую точность для оценки сопутствующей ИБС. Это связано с наличием патологической исходной ЭКГ, гипертрофией ЛЖ и сниженным коронарным резервом.
-
Рекомендуются рассмотреть возможность выполнения нагрузочных тестов (электрокардиографии с физической нагрузкой, эхокардиографии с физической нагрузкой, велоэргометрии) у пациентов с хронической АН также рекомендуются для оценки симптомов и функциональных возможностей перед участием в спортивных соревнованиях [6, 17, 31, 32, 33].
ЕОК/РКО IIa В (УУР В, УДД 2)
-
Нагрузочные тесты (электрокардиография с физической нагрузкой, эхокардиография с физической нагрузкой, велоэргометрия) пациентам со значимой клапанной патологией не рекомендуется из-за низкой диагностической ценности и высоких рисков осложнений [6, 17, 31, 32, 33].
ЕОК\РКО III A (УУР B, УДД 2)
-
Рекомендуется рассмотреть возможность проведения ЧП ЭхоКГ для оценки механизмов и тяжести АН пациентам при клинической необходимости, с недостаточно информативной визуализацией трансторакальной ЭхоКГ, и интраоперационно – для оценки результатов реконструктивной операции на клапане, и при необходимости в пред- и/или послеоперационном периоде [7, 12, 13, 17, 19].
ЕОК/РКО IIa C (УУР С, УДД 5)
-
Не рекомендуется ЧП ЭхоКГ для рутинной оценки морфологии и гемодинамики АК, когда данные трансторакальной ЭхоКГ удовлетворительные [7, 12, 13, 17, 19].
ЕОК\РКО III A (УУР С, УДД 5)
Комментарий: ЧП ЭхоКГ не должна использоваться для рутинной или динамической оценки МР при нормальной визуализации эхокардиографии (трансторакальной). ЧП ЭхоКГ целесообразно использовать в качестве дополнительного метода визуализации при подозрении на ИЭ нативного АК или протеза клапана.
-
Рекомендуется выполнение холтеровского мониторирования ЭКГ сердечного ритма пациентам с АН и сопутствующими нарушениями ритма и/или проводимости с целью выявления последних, и при необходимости подбора терапии, а также в случае оперативного лечения при необходимости пред-и/или послеоперационном периоде [7, 13, 17].
ЕОК/РКО IIa C (УУР С, УДД 5)
-
Рекомендуется рассмотреть возможность проведения магнитно-резонансной томографии (МРТ) сердца с контрастированием у пациентов с подозрением на АН при неадекватном качестве и/или противоречивых результатах ЭхоКГ для оценки степени регургитации на клапане, объемов, размеров и сократимости левого и правого желудочков, а также в случае оперативного лечения при необходимости в пред- и/или послеоперационном периоде [7, 13, 35].
ЕОК/РКО IIa C (УУР С, УДД 5)
-
При выявлении расширения корня и/или восходящего отдела аорты >40 мм у пациентов с АН, в особенности у пациентов с дисплазиями соединительной ткани (синдромы Марфана, Элерса-Данло, Лойеса-Дитца и др.), с врожденными аномалиями АК, коарктацией аорты, дефектом межжелудочковой перегородки рекомендуется выполнение КТА аорты с контрастированием с синхронизацией с ЭКГ или МРТ сердца и магистральных сосудов с контрастированием для верификации размеров грудной аорты на разных уровнях, уточнения состояния ее стенки, исключения областей расслоений, интрамуральных гематом и/или аневризматических расширений, а также в случае оперативного лечения при необходимости в пред- и/или послеоперационном периоде [13, 34, 35, 36].
ЕОК/РКО I B (УУР В, УДД 3)
Комментарии: КТА или МРТ аорты рекомендуются пациентам с АН, в особенности при наличии врожденных аномалий АК (двустворчатый или моностворчатый АК) для оценки ВА (синусов Вальсальвы, синотубулярного соединения), если визуализация при ЭхоКГ неудовлетворительная [7, 19, 37, 38]. Для улучшения воспроизводимости рекомендуется измерять диаметры аорты в фазу поздней диастолы с захватом аортальной стенки строго перпендикулярно оси сосуда. При измерении размеров корня аорты следует отдавать предпочтение измерению диаметров "синус-синус", а не "синус-комиссура". Дополнительно при КТА грудной аорты оценивается выраженность кальциноза АК, прилегающих структур сердца, грудной аорты. Построение MIP (Maximum Intensity Projection – проекция максимальной интенсивности) и VRT (Volume Rendering Technique – объёмная реконструкция) позволяет оптимальным образом спланировать хирургическое или транскатетерное вмешательство на АК и ВА. МРТ в дополнение или вместо ЭхоКГ может быть использована для первичной и повторной оценки объемов, функции ЛЖ, тяжести регургитации у пациентов с АН, если визуализация при ЭхоКГ неудовлетворительная [1]. При МРТ также могут быть оценены параметры грудной аорты, а также выраженность фиброза миокарда [34, 39, 40]. Кинофлюороскопия применяется для оценки функционирования запирательных элементов механических протезов клапанов сердца при подозрении на их дисфункцию. Кроме того, кинофлюороскопия может быть полезной для визуализации и оценки подвижности ранее имплантированных внутрисердечных устройств (например, окклюдеров).
-
Рекомендуется рассмотреть возможность выполнения визуализирующего исследования брюшной аорты (КТА, МРТ сердца и магистральных сосудов или УЗИ органов брюшной полости (комплексное)) при выявлении расширения восходящей аорты >40 мм, в особенности у пациентов с факторами риска осложнений, ассоциированных с аортой, для исключения мультифокальной аневризмы аорты и/или ассоциированной аортопатии брюшной аорты другого характера, а также в случае оперативного лечения при необходимости в пред- и/или послеоперационном периоде [34].
ЕОК/РКО IIa C (УУР С, УДД 5)
-
Рекомендуется рассмотреть возможность выполнения позитронно-эмиссионной томографии миокарда с целью получения информации о структуре и функции сердца пациентам с подозрением на АН только в случае неубедительных или противоречивых результатов МРТ и при отсутствии противопоказаний, а также в случае оперативного лечения при необходимости в пред- и/или послеоперационном периоде [12].
ЕОК\РКО IIa B (УУРР С, УДД 5)
-
Рекомендуется выполнение УЗИ органов брюшной полости (комплексное) пациентам с АН перед операцией на АК с целью получения информации о сопутствующей патологии, а также в случае оперативного лечения при необходимости в пред- и/или послеоперационном периоде [12].
ЕОК/РКО IIa C (УУР С, УДД 5)
4.2. Инвазивные методы исследования
-
КАГ рекомендуется всем пациентам с АН для выявления гемодинамически значимых стенозов коронарных артерий перед "открытым" хирургическим, транскатетерным или гибридным вмешательством в следующих ситуациях: возраст старше 40 лет, анамнез и/или симптомы ИБС, признаки ишемии миокарда, снижение ФВ ЛЖ <50%, один и более факторов риска ИБС, постлучевого поражения для исключения сопутствующего гемодинамически значимого стеноза коронарного русла перед оперативным вмешательством на клапане [13].
EOK\РКО I А (УУР С, УДД 5)
Комментарии: у пациентов, которым выполняется КАГ, дополнительно могут быть проведены прямая ангиография корня аорты и гемодинамические измерения, оценена выраженность аортальной регургитации. В связи с невысокой диагностической ценностью прямой аортографии в диагностике патологии грудной аорты не рекомендуется выполнение прямой аортографии при возможности выполнения КТА или МРТ аорты [28, 41].
-
Рекомендуется рассмотреть возможность проведения КТА коронарных артерий как альтернативы КАГ перед хирургическим вмешательством на АК при тяжелом приобретенном пороке клапана и низкой вероятности ИБС или у которых стандартная КАГ технически невозможна или связана с высоким риском [13].
EOK\ РКО IIa C (УУР C, УДД 5)
-
Рекомендуется рассмотреть возможность необходимости выполнения катетеризации правых камер сердца в индивидуальном порядке в тех случаях, когда результаты данного исследования влияют на выбор оптимальной тактики лечения [13].
ЕОК/РКО IIb B (УУР С, УДД 5)
Комментарии: зондирование сердца с ангиографией корня аорты и с измерением давления в ЛЖ может быть использовано для оценки тяжести регургитации, функции ЛЖ или определения размера корня аорты, когда неинвазивные методы диагностики являются неинформативными или противоречат клиническим данным у пациентов с АН. При возможности выполнения КТА или МРТ аорты инвазивная аортография нецелесообразна. Инвазивное измерение давления в легочной артерии абсолютно показано только в том случае, когда степень легочной гипертензии определяет показания к хирургическому или транскатетерному вмешательству [19].
-
Рекомендуется рассмотреть возможность невыполнения КАГ у пациентов, которым планируется ТИАК, если качество предшествующей КТ-ангиографии, позволяет исключить значимое поражение коронарных артерий [172-176].
EOK IIa B (УУР B, УДД 3)
5. Иные диагностические исследования
Иные диагностические исследования в рамках диагностики АН не предусмотрены, возможно расширение диагностических исследований по решению врача в зависимости от клинической ситуации и состояния пациента.
Лечение
Лечение, включая медикаментозную и немедикаментозную терапии, диетотерапию, обезболивание, медицинские показания и противопоказания к применению методов лечения
Важные вопросы при определении тактики ведения пациента с аортальной недостаточностью (адаптировано из H. Baumgartner и соавт., 2017) [19]:
-
Какова степень тяжести порока?
-
Какова причина порока?
-
Есть ли симптомы?
-
Связаны ли имеющиеся симптомы с пороком?
-
Если ли признаки, говорящие о возможном плохом результате лечения асимптомного пациента, если лечение будет отсрочено?
-
Каковы ожидаемые продолжительность и качество жизни пациента?
-
Превышают ли ожидаемые положительные эффекты вмешательства его риски?
-
Какова оптимальная тактика? («открытое» протезирование клапана с использованием механического или биологического протеза, «открытая» клапаносохраняющая реконструкция, транскатетерное вмешательство, другой вариант)
-
Насколько возможности и результаты деятельности клиники оптимальны для планируемого лечения пациента?
-
Чего хочет сам пациент?
1. Стратификация риска при планировании хирургического лечения пациента с аортальной недостаточностью
Для выбора хирургической тактики и оптимизации лечения важнейшей задачей является выявление факторов риска и прогнозирование исхода операции. С этой целью используются формулы для оценки риска летального исхода, представленные на сайтах Общества торакальных хирургов (Society of Thoracic Surgeons – STS) [42] и Европейской системы оценки риска кардиохирургических операций (European System for Cardiac Operative Risk Evaluation – EuroSCORE) [43]. Логистический EuroSCORE ≥ 10%, EuroSCORE II ≥4 % или уровень оперативного риска ≥ 10%, по данным шкалы STS, предложены как критерии высокого риска [44, 45]. Выбор дополнительных методов обследования для верификации сопутствующих заболеваний определяется клинической ситуацией. При планировании лечения пациента важно учитывать ряд факторов, не включенных в шкалы EuroSCORE и STS, но влияющих на риск осложнений вмешательства на АК. Хрупкость – снижение физиологического резерва и возможности поддерживать гомеостаз, что повышает чувствительность к стрессу и, соответственно, риски осложнений при хирургических и транскатетерных вмешательствах. Оценка хрупкости базируется на ряде объективных критериев, для решения этой задачи разработаны соответствующие шкалы [46, 47, 48]. С высоким риском осложнений и плохим прогнозом после хирургических или транскатетерных вмешательств на АК ассоциированы состояние недостаточного питания, истощение, а также когнитивные нарушения [49, 50]. Индивидуальные анатомические особенности, влияющие на технику хирургической коррекции: "фарфоровая" аорта, тяжелый кальциноз ФК АК и прилегающих структур выходного отдела ЛЖ [51, 52]. Патология других органов и систем – заболевания почек, печени, легких. Печеночная недостаточность до операции ассоциирована с повышенным риском осложнений. Имеющаяся у пациента хроническая болезнь почек 4 и 5 стадии (скорость клубочковой фильтрации <30 мл/мин.) обусловливает высокий риск развития в ближайшем послеоперационном периоде острой почечной недостаточности, необходимости диализа, тяжелых осложнений и неблагоприятного исхода. Патология легких в сочетании с болевым синдромом в раннем послеоперационном периоде после вмешательства на АК с использованием полной срединной стернотомии в случае продленной искусственной вентиляции легких является фактором риска осложнений со стороны дыхательной системы [53, 54, 55, 56]. Так как с возрастом пациента растет встречаемость и тяжесть сопутствующих заболеваний, верная оценка соотношения риска и пользы того или иного метода лечения усложняется. Планируя лечение пациента, необходимо принимать во внимание возможности, опыт и результаты конкретной клиники, где будет лечиться пациент. В решении этих задач основную роль должна играть мультидисциплинарная команда специалистов.
2. Консервативное лечение
Профилактика обострения ревматической лихорадки
-
Рекомендуется антибактериальная терапия для профилактики обострения ревматической лихорадки у пациентов с ревматическим АН [13, 17, 28, 61, 62].
ЕОК/РКО I А (УУР C, УДД 5)
Комментарии: рекомендуется профилактическое назначение антибиотиков пенициллинового ряда в течение 10 лет после последнего обострения ревматической лихорадки или до достижения 40 лет. Пациенты, которые имели одну ревматическую атаку, имеют высокий риск повторных обострений ревматизма. У страдающих ревмокардитом повышена склонность к повторным ревматическим атакам, в связи, с чем их вторичная профилактика имеет большое клиническое значение, предупреждая прогрессирование порока, декомпенсацию ХСН, тромбоэмболические события в магистральные сосуды. Непрерывная антибактериальная профилактика, в совокупности с установлением лабораторно подтвержденного этиологического агента ревматизма, доказала свою эффективность. Пожизненная профилактика показана пациентам с АН высокого риска (носительство стрептококка группы А).
Профилактика инфекционного эндокардита
-
Рекомендуется проведение профилактики инфекционного эндокардита согласно действующим клиническим рекомендациям «Инфекционный эндокардит и инфекция внутрисердечных устройств» [13, 17, 28, 61, 63, 64, 160].
EОК/РКО I B (УУР C, УДД 5)
Лечение АГ и гиполипидемическая терапия
-
Рекомендуется лечение АГ у бессимптомных пациентов с АН или пациентов с АН умеренной степени тяжести в соответствии с текущими клиническими рекомендациями «Артериальная гипертензия у взрослых» АГ [13, 17, 28, 61, 63, 64, 161, 172].
ЕОК/РКО IIa B (УУР С, УДД 5)
Комментарии: препаратами первой линии у пациентов с АН и сопутствующей дилатацией аорты являются иАПФ, либо бета-адреноблокаторы, для коррекции АГ без дилатации также можно использовать иАПФ/БРА, бета-адреноблокаторы и другие антигипертензивные препараты в том числе блокаторы кальциевых каналов [161].
-
Применение статинов рекомендовано всем пациентам с АН для первичной и вторичной профилактики сердечно-сосудистых осложнений, основываясь на стандартных шкалах риска согласно действующим клиническим рекомендациям «Нарушения липидного обмена» [13, 17, 28, 61, 63, 64, 162, 172].
ЕОК/РКО IA (УУР С, УДД 5)
Комментарий: пациентам с клиническими проявлениями порока необходимо хирургическое вмешательство, а не медикаментозная терапия. В то же время тщательная оценка и воздействие на факторы риска развития атеросклероза важны у пациентов с поражением АК для профилактики сопутствующей ИБС.
Лечение сердечной недостаточности
-
Пациентам с тяжелой АН, наличием клинических проявлений, расширением ЛЖ (КСР ЛЖ >50 мм либо индекс КСР ЛЖ >25 мм/м2) и/или дисфункцией ЛЖ (ФВ ЛЖ <50%), но с ожидаемым риском неблагоприятного исхода хирургического вмешательства выше такового при медикаментозном лечении, либо при ожидаемой продолжительности жизни <1 года, рекомендована консервативная терапия для коррекции АГ и сердечной недостаточности [13, 17, 28, 61, 63, 64].
ЕОК/РКО I B (УУР В, УДД 3)
-
Медикаментозная терапия ХСН рекомендована всем пациентам с тяжёлой АН согласно действующим клиническим рекомендациям «Хроническая сердечная недостаточность» [13, 17, 28, 61, 63, 64, 65, 165, 172].
ЕОК/РКО I А (УУР С, УДД 5)
Комментарии: терапия АН обязательно должна включать стандартную при ХСН медикаментозную терапию – диуретики, иАПФ или антагонисты рецепторов ангиотензина II, бета-адреноблокаторы, калийсберегающие диуретики, антагонисты рецепторов ангиотензина II в комбинации с другими средствами, ингибиторы натрий-зависимого переносчика глюкозы 2-го типа (глифлозины) – что позволяет как улучшить симптоматику, так и улучшить прогноз пациентов. иАПФ/валсартан + сакубитрил**, бета-адреноблокаторы (БАБ), антагонисты альдостерона, дапаглифлозин**/эмпаглифлозин** (ингибиторы натрийзависимого переносчика глюкозы 2-го типа) показаны в составе комбинированной четырехкомпонентной терапии для лечения всем пациентам с симптомной ХСН со сниженной ФВ (≤40%) для снижения госпитализации из-за ХСН и смерти. У пациентов с ХСН с умеренно сниженной ФВ может быть показано назначение иАПФ/БРА, БАБ, разрешенных при ХСН со сниженной ФВ, и антагонистов альдостерона с целью снижения риска госпитализации из-за ХСН и смерти. Для иАПФ и БРА имеются ограниченные доказательства способности уменьшать выраженность симптомов и улучшать ФК при ХСН с сохраненной ФВ. Пациентам с ХСН с сохраненной ФВ БАБ могут быть назначены при наличии дополнительных показаний [13, 17, 28, 61, 63, 64, 65, 165].
После успешно проведённого хирургического лечения АН, но сохраняющейся ХСН, стандартная терапия ХСН не противопоказана [66, 67].
Антикоагулянтная терапия
-
Рекомендуется пожизненная антикоагулянтная терапия антагонистами витамина К (АВК) всем пациентам после ПАК механическим протезом под контролем МНО для профилактики тромбоэмболических осложнений [13, 68, 172, 177].
ЕОК/РКО I В (УУР А, УДД 1)
-
Всем пациентам на терапии АВК рекомендуется самоконтроль МНО при условии предшествовавшего соответствующего обучения в школе пациента и осуществления врачебного контроля (дистанционный мониторинг лабораторного показателя или регулярные посещения врача) [13, 68, 172, 177].
EOK/РКО I B (УУР А, УДД 1)
-
Рекомендуется поддерживать МНО на уровне 2,5 (в диапазоне от 2,0 до 3,0) у пациентов с имплантированным механическим клапаном, не имеющих факторов риска тромбоэмболических осложнений и на уровне 3,0 (в диапазоне 2,5-3,5) при наличии одного и более факторов (Таблица ПБ-3, приложение Б) [13, 69, 172].
EОК/РКО I B (УУР С, УДД 5)
Комментарии: рекомендуется в качестве целевого использовать среднее значение МНО, а не интервал, для предотвращения представления крайних значений в качестве нормальных целевых. Высокая вариабельность МНО является значимым предрасполагающим фактором снижения выживаемости и неблагоприятных тромбоэмболических событий после протезирования клапанов сердца.
К механическим протезам клапанов сердца низкой тромбогенности относятся протезы Carbomedics, Medtronic Hall, ATS, Medtronic Open-Pivot, St Jude Medical, Sorin Bicarbon, двустворчатый механический протез МедИнж-2. К механическим протезам клапанов сердца средней тромбогенности относятся другие двустворчатые протезы с недостаточным объемом данных об их применении. К механическим протезам клапанов сердца высокой тромбогенности относятся модели Lillehei-Kaster, Omniscience, Starr-Edwards (шариковые протезы), Bjork-Shiley и другие дисковые протезы [13, 69, 70, 71].
-
Прямые оральные антикоагулянты (ПОАК) и \или двойная антитромбоцитарная терапия (ДАТТ) не рекомендованы у пациентов с установленными механическими протезами клапанов [13, 172].
EOK/РКО III B (УУР С, УДД 5)
-
Добавление низкодозовой #ацетилсалициловой кислоты (75-100 мг\сутки) к АВК рекомендуется после тромбоэмболических осложнений, произошедших несмотря на корректный контроль МНО [13, 69, 172].
EOK/РКО IIa С (УУР C, УДД 5)
-
Рекомендуется рассмотреть возможность добавления низкодозовой #ацетилсалициловой кислоты (75-100 мг\сутки) к АВК у отдельных пациентов с механическими протезами при наличии сопутствующего атеросклероза и низкого риска кровотечений [13, 68, 69, 77, 78, 79, 172].
EOK/РКО IIа C (УУР C, УДД 5)
-
Рекомендуется рассмотреть возможность добавления низкодозового #ацетилсалициловой кислоты** (75-100 мг/сут.) к АВК, после аортокоронарного шунтирования пациентам с механическим протезом МК в течение 12 месяцев от даты операции [12, 13, 172].
ЕОК\РКО IIb C (УУР С, УДД 5)
-
У пациентов высокого геморрагического риска с имплантированными коронарными стентами и механическим протезом АК рекомендуется рассмотреть длительность назначения тройной терапии #ацетилсалициловая кислота ** (75-100 мг/сут.), #клопидогрел** (75 мг/сут.) и АВК в течение 1 недели, независимо от типа используемого стента и клинической манифестации (острый коронарный синдром или стабильная ИБС) [78, 170, 171, 172].
ЕОК\РКО IIa B (УУР C, УДД 5)
Комментарии: после отмены #ацетилсалициловой кислоты ** (75-100 мг/сут.), продолжить двойную терапию, включающую предпочтительно #клопидогрел** (75 мг/сут.) и АВК, с отменой дезагреганта и монотерапией через 6 месяцев после планового ЧКВ и через 12 месяцев после ОКС [78, 170, 171, 172].
-
У пациентов с механическим протезом АК и имплантированными коронарными стентами, относящихся к группе высокого ишемического риска (острый коронарный синдром или наличие анатомических/процедурных особенностей), превышающего риск кровотечения рекомендуется рассмотреть возможность назначения тройной терапии, включающей #ацетилсалициловую кислоту** (75-100 мг/сут.), #клопидогрел** (75 мг/сут.) и АВК сроком до 30 дней [78, 170, 171, 172].
ЕОК/РКО IIa B (УУР C, УДД 5)
Комментарии: добавление #невысоких доз (75-100 мг/сутки) ацетилсалициловой кислоты** к терапии антагонистами витамина К может снижать частоту тромбоэмболических осложнений за счет повышения риска кровотечений [112]. Следовательно, добавление дезагрегантов (B01AC Ингибиторы агрегации тромбоцитов, кроме гепарина) к антагонистам витамина К должно проводиться пациентам с очень высоким риском тромбоэмболических осложнений, когда преимущества существенно перевешивают риски [78, 166, 167]. В случае пациентов с тромбоэмболическими осложнениями на фоне целевых уровней МНО к антагонистам витамина К должны быть добавлены #невысокие дозы (75-100 мг/сутки) ацетилсалициловой кислоты**.
-
У пациентов с механическим протезом АК, нуждающихся в #ацетилсалициловой кислоте** и/или #клопидогреле** в дополнение к АВК, дозировку АВК рекомендуется поддерживать в нижней части целевого терапевтического диапазона МНО (и сроки должны быть >65-70% терапевтического времени) [17, 166, 172].
ЕОК IIa В (УУР С, УДД 5)
-
Рекомендуется антикоагулянтная терапия АВК в течение 3 месяцев после ПАК биологическим протезом у пациентов с высоким риском тромбоэмболических осложнений для профилактики осложнений и улучшения прогноза для жизни [13, 172].
ЕОК/РКО I C (УУР C, УДД 5)
-
Антикоагулянтная терапия рекомендуется пациентам после имплантации биопротеза (биопротез сердечного аортального клапана***), имеющим иные показания к антикоагулянтной терапии (ФП при CHADVASc у женщин 3 и более баллов, у мужчин 2 и более балла, венозные тромбозы, гиперкоагуляция или, с меньшей степенью доказательности, выраженная дисфункция ЛЖ с ФВ ЛЖ менее 35%) [13, 172].
EOK/РКО I C (УУР C, УДД 5)
-
ПОАК рекомендуются как более предпочтительные, чем АВК, спустя 3 месяца после ПАК биологическим протезом у пациентов с ФП, для профилактики ТЭ осложнений при наличии показаний [72, 73, 74, 75, 76].
EOK/РКО IIa B (УУР В, УДД 1)
-
У пациентов, не имеющих показаний к антикоагулянтной терапии, назначение низкодозовой #ацетилсалициловой кислоты (75-100 мг\сутки) или антикоагулянтная терапия в объеме АВК рекомендуются в первые 3 месяца после протезирования АК биологическим протезом [13, 172].
EOK/РКО IIa B (УУР C, УДД 5)
-
Антикоагулянтная терапия рекомендуется пожизненно у пациентов после ТИАК при наличии иных показаний к антикоагулянтной терапии (ФП, венозные тромбозы, гиперкоагуляция или, с меньшей степенью доказательности, выраженная дисфункция ЛЖ с ФВ ЛЖ менее 35%) [13, 69, 172].
EOK\РКО I B (УУР C, УДД 5)
-
Пожизненная однокомпонентная антитромбоцитарная терапия #АСК в низких дозах (75–100 мг/день) рекомендуется после ТИАК у пациентов при отсутствии показаний к антикоагулянтной терапии [13, 69, 172].
EOK\РКО I A (УУР C, УДД 5)
-
Однокомпонентная антитромбоцитарная терапия низкодозовой #ацетилсалициловой кислотой (75-100 мг\сутки) рекомендуется в первые 3 месяца после клапан-сохраняющего вмешательства на АК при отсутствии иных показаний к антикоагулянтной терапии [13, 69, 172].
EOK\РКО IIa C (УУР C, УДД 5)
-
ДАТТ не рекомендуется пациентам после ТИАК для профилактики тромбозов при отсутствии четких показаний [172, 178].
EOK\РКО IIa C (УУР В, УДД 2)
-
Рутинное использование антикоагулянтной терапии не рекомендуется после ТИАК у пациентов, не имеющих показаний к назначению антикоагулянтной терапии [13, 78, 172].
EOK\РКО III B (УУР С, УДД 5)
-
Для предотвращения ОНМК у пациентов с фибрилляцией предсердий и наличием АН, в качестве антикоагулянтной терапии рекомендуется предпочесть прием прямых оральных антикоагулянтов по сравнению с АВК [13, 72-74, 172].
ЕОК\РКО I A (УУР B, УДД 1)
Комментарии: у пациентов с тяжелой АН, которым в ближайшей перспективе будут определены показания к оперативному лечению в варианте протезирования механическим протезом клапана предпочтительнее АВК.
3. Хирургическое лечение
-
Хирургическая коррекция АН (протезирование АК в условиях искусственного кровообращения) рекомендуется пациентам с симптомами сердечной недостаточности вне зависимости от функции ЛЖ для облегчения клинической симптоматики, профилактики осложнений и улучшения прогноза для жизни [13, 172].
ЕОК/РКО I В (УУР С, УДД 5)
-
Хирургическая коррекция АН (протезирование АК в условиях искусственного кровообращения) рекомендуется асимптомным пациентам с расширением ЛЖ (КСР ЛЖ >50 мм либо индекс КСР ЛЖ >25 мм/м2 у пациентов малого роста и веса) или с ФВ ЛЖ <50% для профилактики осложнений и улучшения прогноза для жизни [13, 80, 81, 82, 172].
ЕОК/РКО I В (УУР В, УДД 3)
-
Хирургическая коррекция АН (протезирование АК в условиях искусственного кровообращения) рекомендуется симптомным и асимптомным пациентам с тяжелой регургитацией, которые имеют показания к коронарному шунтированию и/или "открытому" вмешательству на другом клапане сердца для облегчения клинической симптоматики, профилактики осложнений и улучшения прогноза для жизни [7, 13, 19, 172].
ЕОК/РКО I С (УУР С, УДД 5)
-
Рекомендуется рассмотреть возможность хирургической коррекции АН (протезирование АК в условиях искусственного кровообращения) у асимптомных пациентов с тяжелой регургитацией, имеющих низкий риск хирургического вмешательства и расширение ЛЖ (индекс КСР ЛЖ >22 мм/м² или ИКСО более 45 мл/м², в особенности у пациентов малого роста и веса) и/или ФВ ЛЖ <55%, для профилактики осложнений и улучшения прогноза для жизни [8, 13, 80, 81, 172].
ЕОК/РКО IIb С (УУР В, УДД 3)
-
Рекомендуется выполнение клапаносохраняющей хирургической коррекции (пластика аортального клапана в условиях искусственного кровообращения) у специально отобранных пациентов при условии выполнения в клиниках, имеющих опыт подобных вмешательств в случае, когда есть основания ожидать стойкий положительный результат операции, для облегчения клинической симптоматики, профилактики осложнений и улучшения прогноза для жизни [13, 84, 172].
ЕОК/РКО I В (УУР С, УДД 4)
Комментарии: при неизмененных (мягких, нефиброзированных и некальцинированных) створках трехстворчатого АК возможно выполнение клапаносберегающего вмешательства (пластика аортального клапана в условиях искусственного кровообращения). Оптимальными кандидатами для подобного метода лечения являются больные с АН первого (расширение корня аорты в сочетании с морфологически нормальными створками) и второго (пролапс створок) типов [16, 85]. Первенство в разработке и внедрении в клиническую практику протезирования корня аорты с сохранением АК при хирургическом лечении аневризм корня аорты, сочетающихся с АН, принадлежит M. Yacoub [86]. В 1983 г. коллективом авторов под его руководством было представлено короткое описание клапаносохраняющей методики лечения аневризмы и расслоения корня аорты. Вне всякого сомнения, гигантский вклад в разработку хирургического лечения аневризм корня аорты внес T. David. Он стал одним из первых, кто стал использовать само понятие клапаносберегающего протезирования аорты. В 1992 г. T. David и соавт. опубликовали статью, описывающую протезирование корня аорты с сохранением АК методом его реимплантации в протез аорты [87]. Отличительной чертой этого подхода является стабилизация корня аорты на всех уровнях (ФК АК, синусы Вальсальвы, синотубулярная зона). Годом позже M. Sarsam и M. Yacoub описали клапаносохраняющее протезирование корня аорты с ремоделированием АК [88]. От методики реимплантации T. David ремоделирование корня аорты принципиально отличается отсутствием стабилизации аорты на уровне ФК АК, что потенциально может приводить к рецидиву АН. Существует несколько модификаций протезирования корня аорты с сохранением АК: формирование псевдосинусов методом шовной пликации протеза аорты, использование протеза с синусами, сформированными фабричным способом,(протез кровеносного сосуда синтетический***) комбинация ремоделирования АК и стабилизации корня аорты путем имплантации полоски из тефлона либо опорного кольца (кольцо для аннулопластики аортального клапана***) [89, 90, 91]. Одним из подвидов клапаносохраняющего протезирования корня аорты является методика Florida sleeve, предложенная P. Hess и соавт. в 2005 г. [92]. В отличие от операции David, при варианте Florida sleeve не производится иссечения синусов Вальсальвы – корень аорты имплантируется в протез целиком. Диаметр протеза подбирается таким образом, чтобы возможно было достичь восстановления нормальной запирательной функции АК. При необходимости в протез аорты реимплантируются одна либо обе коронарные артерии. Реимплантация корня аорты в протез демонстрирует стабильно хорошие клинические результаты в ближайшем послеоперационном периоде и может стать альтернативой классической операции David [93]. По данным клиник, имеющих большой опыт клапаносохраняющего протезирования ВА, дополнительные вмешательства на створках АК значимо не ухудшают непосредственные и отдаленные результаты операций. Клапаносберегающее протезирование корня аорты позволяет снизить риск ассоциированных с протезом АК отдаленных неблагоприятных событий и повысить качество жизни пациентов [94, 95, 96]. Дискутабельным остается клапаносохраняющее протезирование корня аорты при ДАК. В связи с исходной асимметрией створок адекватное восстановление планиметрии и функции АК представляет собой непростую задачу. Тем не менее, в ряде работ показаны хорошие ближайшие и отдаленные результаты протезирования корня аорты с сохранением ДАК [97, 98].
-
Рекомендуется рассмотреть возможность закрытия ушка ЛП (эндоваскулярная окклюзия ушка левого предсердия) одномоментно с вмешательством на АК для профилактики осложнений у пациентов постоянной, пароксизмальной либо персистирующей формы ФП и высоким риском нарушения мозгового кровообращения и геморрагических осложнений, связанных с антикоагулянтной терапией [72, 99, 100, 101].
ЕОК/РКО IIa B (УУР С, УДД 4)
-
Рекомендуется рассмотреть возможность выполнения аблации (радиочастотной абляции аритмогенных зон либо криоаблации аритмогенных зон) при аритмиях сердца одномоментно с вмешательством на АК для профилактики осложнений у пациентов с постоянной, пароксизмальной либо персистирующей формой ФП с учетом риска потенциальных осложнений, пользы от отсутствия нарушений ритма сердца и вероятности рецидива ФП (размеры ЛП, давность ФП, возраст, факторы риска сердечно-сосудистых заболеваний) [193-195].
ЕОК/РКО IIа A (УУР В, УДД 3)
-
Хирургическое вмешательство на ВА (реконструкция восходящего отдела аорты с протезированием аортального клапана) рекомендуется в случае пациентов с синдромными формами (синдромы Марфана и др.) аневризм корня и/или тубулярной части ВА и максимальным диаметром ВА >50 мм для профилактики осложнений и улучшения прогноза для жизни [13, 34].
ЕОК/РКО I C (УУР С, УДД 5)
-
Хирургическая коррекция расширения ВА (реконструкция восходящего отдела аорты с протезированием аортального клапана) рекомендуется во всех случаях при аневризме корня и/или тубулярной части ВА и ее максимальном диаметре >55 мм вне зависимости от выраженности АН [13, 34].
ЕОК/РКО IIa C (УУР С, УДД 5)
-
Хирургическая коррекция расширения ВА (реконструкция восходящего отдела аорты с протезированием аортального клапана) рекомендуется у пациентов с синдромными формами аневризм ВА и дополнительными факторами риска (семейный анамнез аневризм, расслоений аорты и внезапных смертей, личный анамнез расслоений любых других артерий, тяжелая аортальная или митральная регургитация, планируемая беременность, неконтролируемая АГ, расширение ВА >3 мм/год), подтвержденными мутациями генов TGFBR1 или TGFBR2, с расширением корня и/или тубулярной части ВА и ее максимальным диаметром >45 мм вне зависимости от выраженности АН, для профилактики осложнений и улучшения прогноза для жизни [13, 34].
ЕОК/РКО IIa C (УУР С, УДД 5)
-
Хирургическая коррекция расширения ВА (реконструкция восходящего отдела аорты с протезированием аортального клапана) рекомендуется у пациентов с ДАК в сочетании с факторами риска (семейный анамнез аневризм, расслоений аорты и внезапных смертей, личный анамнез расслоений любых других артерий, тяжелая аортальная или митральная регургитация, планируемая беременность, неконтролируемая АГ, расширение ВА >3 мм/год, по данным КТА аорты) или с коарктацией аорты, и максимальным диаметром корня и/или тубулярной части ВА >50 мм вне зависимости от выраженности аортальной регургитации, для профилактики осложнений и улучшения прогноза для жизни [13, 34].
ЕОК/РКО IIa C (УУР С, УДД 5)
-
Рекомендуется протезирование корня и/или тубулярной части ВА (реконструкция восходящего отдела аорты с протезированием аортального клапана) при наличии показаний к протезированию аортального клапана или пластики аортального клапана в условиях ИК хирургической коррекции АН и расширении ВА >45 мм, особенно у пациентов с врожденными аномалиями АК (врожденный двустворчатый, моностворчатый, четырехстворчатый АК), для профилактики осложнений и улучшения прогноза для жизни [13, 34].
ЕОК/РКО IIa C (УУР С, УДД 5)
-
Рекомендуется шунтирование коронарных артерий (коронарное шунтирование в условиях искусственного кровообращения или коронарное шунтирование на работающем сердце без использования искусственного кровообращения) в случае вмешательства на АК и наличия стеноза(ов) коронарных артерий >70% (при стенозе ствола левой коронарной артерии >50%) для профилактики осложнений и улучшения прогноза для жизни [13, 41].
ЕОК/РКО I C (УУР С, УДД 5)
-
Рекомендуется рассмотреть возможность шунтирования коронарных артерий (коронарное шунтирование в условиях искусственного кровообращения или коронарное шунтирование на работающем сердце без использования искусственного кровообращения) в случае вмешательства на АК и наличия стеноза(ов) коронарных артерий >50-70% для профилактики осложнений и улучшения прогноза для жизни [13, 41].
ЕОК/РКО IIa C (УУР С, УДД 5)
-
Рекомендуется рассмотреть возможность чрескожного коронарного вмешательства (реканализация коронарных артерий антеградная со стентированием; транслюминальная баллонная ангиопластика коронарных артерий) в случае планируемого транскатетерного или гибридного вмешательства на АК и наличия стеноза(ов) коронарных артерий в проксимальных отделах >70% для профилактики осложнений и улучшения прогноза для жизни [13, 41].
ЕОК/РКО IIa C (УУР С, УДД 5)
Рекомендации по выбору типа искусственного клапана сердца
-
ПАК механическим протезом рекомендуется при наличии письменного информированного согласия пациента и при отсутствии противопоказаний к длительной антикоагулянтной терапии (повышенный риск кровотечений из-за сопутствующих заболеваний, низкой приверженности лечению, а также географических, бытовых и профессиональных условий) [13, 172].
EОК/РКО I C (УУР C, УДД 5)
-
ПАК механическим протезом рекомендуется пациентам, уже получающим антикоагулянтную терапию в связи с наличием механического клапана сердца в другой позиции [13, 172].
EОК/РКО IIa C (УУР C, УДД 5)
-
ПАК механическим протезом рекомендуется обсудить пациентам моложе 65 лет [13, 103, 104].
EОК/РКО IIa B (УУР В, УДД )
-
ПАК механическим протезом рекомендуется пациентам с риском быстрой структурной дегенерации биологического протеза (гиперпаратиреоидизм, гемодиализ) [13].
EOK/РКО I C (УУР С, УДД 5)
-
ПАК механическим протезом рекомендуется пациентам с оптимальной ожидаемой продолжительностью жизни (с учетом возраста, пола, сопутствующих заболеваний и ожидаемой продолжительности жизни в стране) у которых повторное хирургическое вмешательство на клапане (при возможности такового) будет сопряжено с высоким риском осложнений (низкая ФВ, глубокие венозные тромбозы, тромбоэмболия легочной артерии (ТЭЛА), гиперкоагуляция, антифосфолипидный синдром и другие) [13, 172].
EOK/РКО IIa C (УУР C, УДД 5)
Комментарии: выбор типа имплантируемого протеза (механического или биологического) является результатом оценки соотношения рисков кровотечений/эмболий при имплантации механического протеза с одной стороны, с риском дегенеративных изменений биологических протезов с другой. Механический протез предпочтительнее использовать для пациентов в возрасте менее 65 лет в случаях отсутствия дополнительных факторов риска кровотечений. У пациентов с АН в возрасте от 65 лет и старше приемлемо использование обоих типов протезов с учетом риска развития кровотечений, социального статуса пациента (проживание в селе, сложности контроля МНО), предполагаемой приверженности пациента к приему антикоагулянтов, наличия сопутствующих состояний (тяжелая ХСН, ФП), требующих прием антикоагулянтов , а также с учетом предпочтений пациента [12, 13, 19, 103, 104].
-
ПАК механическим протезом рекомендуется пациентам с оптимальной ожидаемой продолжительностью жизни при отсутствии противопоказаний к длительной антикоагулянтной терапии [172, 179-181].
EOK/РКО IIa В (УУР В, УДД 2)
-
·ПАК биологическим протезом рекомендуется при наличии письменного информированного согласия пациента или при наличии противопоказаний к длительной антикоагулянтной терапии (высокий риск геморрагических осложнений, сопутствующие заболевания, отсутствие приверженности к лечению, низкая доступность терапии, личные предпочтения, образ жизни и род деятельности), а также у пациентов с ожидаемой продолжительностью жизни меньше предполагаемой длительности функционирования биопротеза [13, 172].
EОК/РКО I C (УУР C, УДД 5)
-
ПАК биологическим протезом рекомендуется, когда эффективная антикоагуляция маловероятна (низкая приверженность лечению, не всегда доступна) или противопоказана из-за высокого риска кровотечения (предыдущее крупное кровотечение, сопутствующие заболевания, низкая приверженность лечению, нежелание, образ жизни, профессия), у тех пациентов, чья ожидаемая продолжительность жизни ниже, чем ожидаемый срок службы биопротеза (ожидаемая продолжительность жизни более 10 лет оценивается по возрасту, полу, коморбидным состояниям, специфике продолжительности жизни в стране) [13, 172].
EОК/РКО I C (УУР C, УДД 5)
-
ПАК биологическим протезом рекомендуется обсудить при повторной операции по поводу тромбоза механического клапана, несмотря на адекватную длительную антикоагулянтную терапию [13, 172].
EОК/РКО I C (УУР C, УДД 5)
-
ПАК биологическим протезом рекомендуется обсудить у пациентов с низкой вероятностью и/или низким хирургическим риском при выполнении повторного вмешательства на клапане [13, 172].
EОК/РКО IIa C (УУР C, УДД 5)
-
ПАК биологическим протезом рекомендуется обсудить у молодых женщин, планирующих беременность [13, 172].
EОК/РКО IIa C (УУР C, УДД 5)
-
Рекомендуется рассмотреть возможность ПАК биологическим протезом у пациентов, уже получающих длительную антикоагулянтную терапию ПОАК в связи с высоким риском тромбоэмболических осложнений [13, 73, 74, 75, 76].
EOK/РКО IIb B (УУР В, УДД 2)
Комментарии: к настоящему моменту отсутствуют новые высококачественные данные, которые бы поддерживали снижение установленного порогового значения возраста, когда принимается решение об имплантации механического или биологического протеза АК [61, 83]. Дискутабельным остается вопрос об оптимальном заместителе АК у молодых пациентов. В определенной группе специально отобранных пациентов может быть выполнено замещение АК легочным аутографтом (операция Росса), однако для этого клиника должна обладать большим опытом реконструктивной хирургии АК и корня аорты [105]. Стратегии лечения пациентов с «узким» ФК АК включают расширяющие пластики корня аорты и имплантацию бесшовных протезов. Также использование бесшовных и быстроимплантируемых протезов АК (биологический протез) может снизить травматичность, продолжительность экстракорпорального кровообращения и аноксии миокарда, и, потенциально, снизить риски периоперационных осложнений «открытого» хирургического ПАК. Однако в настоящее время отсутствуют данные крупных рандомизированных исследований краткосрочной и долгосрочной безопасности, эффективности подобных подходов, гемодинамических эффектов по сравнению с традиционным ПАК, которое остается «золотым стандартом» лечения [13].
-
Пациентам с изолированной аортальной недостаточностью проведение транскатетерной имплантации аортального клапана (ТИАК) не рекомендуется [12, 172].
EOK/РКО III, В (УУР С , УДД 5)
Комментарии: у некоторых пациентов с АН, которым противопоказана операция в условиях искусственного кровообращения, в центре с большим опытом выполнения ТИАК может быть рассмотрена операция ТИАК как жизне-спасающее вмешательство при наличии определенных критериев (соответствующий размер кольца АК, наличие минимальной кальцификации).
4. Иное лечение
Обезболивающая терапия у взрослых
Обезболивание пациентов в пред-, интра- и послеоперационном периодах без особенностей, тактика обезболивания определяется лечащим врачом, врачом-анестезиологом-реаниматологом в зависимости от объёма оперативного вмешательства.
-
Всем пациентам с АН, поступающим в стационар для оперативного лечения, в рамках премедикации рекомендуется с целью седации и обеспечения эмоциональной стабильности вечером накануне операции для уменьшения эмоционального стресса назначить анксиолитики. Для премедикации перед подачей пациента в операционную с целью седации и обеспечения эмоциональной стабильности применяются опиоиды и/или производные бензодиазепина [152].
ЕОК \ РКО I C (УУР С, УДД 5)
Комментарии: вечером накануне операции: производные бензодиазепина в индивидуальных дозировках. Перед подачей в операционную в/м тримепередин** и/или диазепам**/мидазолам**. Из премедикации следует исключить препараты, увеличивающие ЧСС.
-
Всем пациентам с АН, поступающим в стационар для оперативного лечения, рекомендуется для интраоперационного обезболивания использовать: пропофол**, производные бензодиазепина, галогенированные углеводороды. Фентанил** (для премедикации перед хирургическим вмешательством), Диазепам** (в рамках подготовки к операции) [152, 153, 168].
ЕОК \ РКО I C (УУР В, УДД 2)
Комментарии: для интраоперационного обезболивания используются следующие препараты: мидазолам**/диазепам**/пропофол** и фентанил**, натрия оксибутират** возможно применение галогенированных углеводородов в комбинации с фентанилом** в/в в расчетных дозировках. В многоцентровом рандомизированном контролируемом исследовании не выявлено каких-либо различий в клинических исходах при использовании во время кардиохирургических операций тотальной внутривенной анестезии на основе пропофола** и фентанила** либо комбинированной анестезии с применением галогенсодержащих газовых анестетиков (N01AB Галогенированные углеводороды) и фентанила**[169].
-
Всем пациентам с АН, поступающим в стационар для оперативного лечения, с целью обезболивания в раннем послеоперационном периоде рекомендуется использовать опиоиды в возрастных дозировках [152].
ЕОК \ РКО I C (УУР С, УДД 3)
Комментарии: препараты, используемые для обезболивания в послеоперационном периоде: первые сутки после операции — тримеперидин**, либо морфин** в/м каждые 4–8 часов, НПВП (M01A Нестероидные противовоспалительные и противоревматические препараты). При наличии специальных дозаторов эффективно применение пациентконтролируемой анальгезии фентанилом**. При сохранении выраженного болевого синдрома тримеперидин**/морфин**/фентанил** по показаниям.
Применение оксида азота в послеоперационном периоде
-
При хирургическом лечении АН пациентам с прекапиллярной легочной гипертензией (среднее давление в легочной артерии ≥ 20 мм рт. ст., давление заклинивания легочной артерии ≤ 15 мм рт. ст.) при уровне легочного сосудистого сопротивления более 5 ед. Вуда и наличии ЭхоКГ признаков недостаточности ПЖ в интра- и послеоперационном периоде рекомендуется рассмотреть возможность использования ингаляции оксида азота [106].
ЕОК/РКО IIa В (УУР А, УДД 1)
Комментарии: для пациентов с патологическими изменениями АК иногда характерно увеличение давления в малом круге кровообращение (легочная гипертензия группы 2, посткапиллярная легочная гипертензия). С течением времени у таких больных начинает повышаться сопротивление легочного сосудистого русла, т.е. появляется прекапиллярный компонент (реактивная легочная гипертензия). Выполненное оперативное вмешательство на АК эффективно снимает посткапиллярный компонент легочной гипертензии. Однако повышенное сопротивление малого круга (прекапиллярный компонент) продолжает сохраняться в послеоперационном периоде, неблагоприятно влияя на гемодинамические параметры, вплоть до развития дисфункции ПЖ. В выполненном мета-анализе подтверждено значимое улучшение клинических показателей - сокращение сроков проведения искусственной вентиляции легких и продолжительности лечения в отделении интенсивной терапии при ингаляции оксида азота [106].
Медицинская реабилитация
Медицинская реабилитация и санаторно-курортное лечение, медицинские показания и противопоказания к применению методов медицинской реабилитации, в том числе основанных на использовании природных лечебных факторов
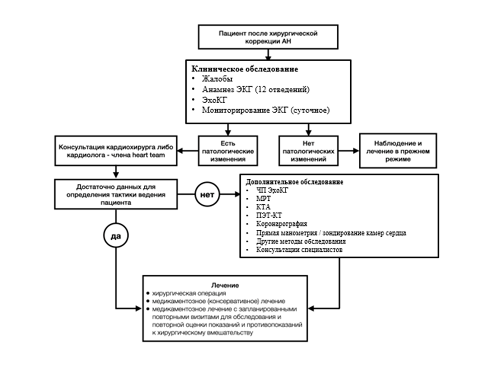
Программы медицинской реабилитации пациентов после хирургической коррекции АН направлены на ограничение психологического и физиологического стресса, связанного с перенесенной кардиохирургической операцией, снижение риска смертности и инвалидизации, коррекцию образа жизни и улучшение сердечно-сосудистой функции, с целью повышения максимально возможного качества жизни пациентов [107].
Медицинская (кардиологическая) реабилитация представлена в виде трехэтапной системы, в рамках которых осуществляется маршрутизация пациента (Приложение Б Рис.ПБ-3) [108]. Помощь по медицинской реабилитации пациентам с АН оказывается в плановом порядке после установления диагноза (при первом контакте с пациентом) или при хроническом течении заболевания независимо от сроков заболевания при условии стабильности клинического состояния пациента, наличия медицинских показаний и учета противопоказаний к проведению отдельных реабилитационных методов.
При планировании хирургической коррекции АН подготовку пациента к эффективному восстановлению рекомендуется начинать в предоперационном периоде – на этапе реабилитации с целью информирования пациента о характере и объеме хирургического вмешательства, обучения его оптимальному восприятию своего самочувствия после операции и умению правильно выполнять послеоперационные рекомендации. Реабилитационные мероприятия и методы реабилитации рекомендуется применять с учетом этапа реабилитации, клинического и физического состояния пациента.
Кардиореабилитация осуществляется многопрофильной мультидисциплинарной командой медицинских работников для достижения оптимального физического и психосоциального здоровья пациентов с АН при участии партнеров, других членов семьи и опекунов [109].
-
Рекомендуется всех пациентов с хронической АН включать в программу комплексной кардиореабилитации с целью улучшения физического, психологического и социального функционирования, качества жизни, показателей возврата пациентов к труду [13, 17, 19, 110, 111, 112, 113, 114, 115, 116].
ЕОК \РКО IIa C (УУР А, УДД 1)
Комментарии: наличие противопоказаний к физическим тренировкам не является фактором, ограничивающим участие пациентов в программах кардиореабилитации, и не исключает применения иных методов физической реабилитации (комплексов лечебной гимнастики, ходьбы и т.д.).
-
Рекомендуется программу кардиореабилитации пациентов с АН осуществлять на принципах: раннего начала, непрерывности, этапности и пациент-ориентированности для обеспечения более благоприятного течения и исхода заболевания [108, 172].
ЕОК \РКО IIa C (УУР С, УДД 5)
Комментарии: большая часть программ кардиореабилитации выполняется на амбулаторном этапе, который рекомендуется проводить в очном, дистанционном (в домашних условиях с использованием инструментов цифрового и мобильного здравоохранения) или смешанном форматах для увеличения охвата пациентов реабилитационными мероприятиями, повышения приверженности их изменению образа жизни, реабилитационной и лекарственной терапии [117, 118, 119, 120].
Кардиореабилитация начинается как можно раньше в отделениях интенсивной терапии, (если пациент находится в стабильном состоянии). Интенсивность реабилитации зависит от состояния пациента и осложнений в острой фазе заболевания. Рандомизированное контролируемое исследование и систематический анализ показывают, что ранняя мобилизация улучшает физическую функцию (расстояние, пройденное в тесте 6-минутной ходьбы, улучшилось на 54 м) при выписке у пациентов после операции на сердце [121].
В проспективном рандомизированном контролируемом исследовании было показано, что раннее начало кардиореабилитации улучшило послеоперационную функциональную способность (тест 6-минутной ходьбы), сокращает продолжительность искусственной вентиляции лёгких, зависимость от оксигенотерапии, а также время пребывания в стационаре у пациентов, перенесших плановое кардиохирургическое вмешательство [122, 123].
-
Рекомендуется для проведения кардиореабилитации пациентов с хронической АН на всех этапах формировать мультидисциплинарную реабилитационную команду с целью определения индивидуальной программы реабилитации и проведения комплекса реабилитационных мероприятий [108, 110, 172].
ЕОК \РКО IIa C (УУР С, УДД 5)
-
Рекомендуется у всех пациентов с АН в рамках программы кардиореабилитации проводить оценку клинического и функционального состояния с целью описания актуальных проблем здоровья пациента, определения функционирования органов и систем, выявления показаний и противопоказаний к реабилитационным мероприятиям и определения результатов реабилитации [110, 124].
ЕОК \РКО IIa C (УУР С, УДД 5)
Комментарии: для оценки клинического статуса пациента, уровня его функционирования и жизнедеятельности, влияния личностных факторов и факторов окружающей среды рекомендуется использовать стандартизованные и валидные методы диагностики, инструменты оценки по Международной Классификации Функционирования, ограничений жизнедеятельности и здоровья (МКФ) [108, 125, 126, 127].
-
Рекомендуется у всех пациентов с АН в рамках программы кардиореабилитации осуществлять контроль и коррекцию (при отклонениях от нормы) факторов риска (массы тела, уровней АД при АГ, липидов и глюкозы крови при сахарном диабете, ежедневной физической активности, психологических факторов при симптомах тревоги и депрессии, рациона питания по показаниям) и вовлекать в программу по отказу от курения (при курении в любом виде) с целью замедления ухудшения течения заболевания, повышения приверженности лечению и улучшения результатов реабилитации [110, 124, 128, 129].
ЕОК \РКО IIa C (УУР С, УДД 5)
Комментарии: при наличии показаний рекомендуется проводить тестирование по Госпитальной шкале тревоги и депрессии (HADS; The hospital Anxiety and Depression Scale) для выявления симптомов тревоги/депрессии (Приложение Г, таблица ПГ-1).
-
Рекомендуется всех пациентов с АН информировать по вопросам, связанным с заболеванием, его лечением и профилактикой; обучать методам самоконтроля и самопомощи с целью повышения приверженности лечебным и реабилитационным вмешательствам, улучшения течения заболевания и качества жизни [110, 130].
ЕОК\РКО I A (УУР С, УДД 5)
Комментарии: информирование и обучение пациента рекомендуется проводить в любом доступном формате (индивидуально, в рамках реабилитационного консультирования и/или в «Школе для пациентов с клапанными пороками сердца») в очном или онлайн режиме [110, 120, 130].
-
Рекомендуется рассмотреть возможность проведения нагрузочного тестирования посредством теста с 6-минутной ходьбой пациентам после хирургической коррекции АН на 8-14 день для оценки функционального состояния, выбора оптимального режима физических тренировок и контроля их эффективности [110, 131, 132, 133].
ЕОК \РКО IIa C (УУР С, УДД 5)
-
Рекомендуется пациентов с АН после хирургического лечения вовлекать в программы физических тренировок, проводимых в индивидуальном формате и/или в организованных группах в лечебном учреждении или в домашних условиях после обучения и освоения программы с целью улучшения функционального статуса и качества жизни, повышения физической работоспособности [110, 112, 113, 114, 117, 118].
ЕОК \РКО IIa C (УУР С, УДД 5)
Комментарии: персонализированная программа физических тренировок у пациентов с АН после хирургического лечения (при отсутствии противопоказаний, Приложении А3-2) формируется в зависимости от этапа кардиореабилитации и включает регулярные физические аэробные (динамические) нагрузки умеренной интенсивности (на старте – низкой интенсивности), силовые физические нагрузки от низкой до умеренной интенсивности (по показаниям, для повышения и/или поддержания выносливости или силы мышц нижних конечностей у пациентов с низким риском послеоперационных осложнений, хорошим заживлением раны после стернотомии и не ранее шести недель после операции).
Как у пациентов с АН, перенесших хирургическую операцию, так и у пациентов с АН без хирургического лечения в программу физической реабилитации (при отсутствии противопоказаний) включают комплексы лечебной гимнастики с дыхательными упражнениями, тренировку инспираторных мышц с использованием дыхательных тренажеров (по показаниям) и другие дыхательные техники (по показаниям), ходьбу. Для безопасности программы физической реабилитации рекомендуется осуществлять мониторинг состояния пациента (жалобы, клинические симптомы, уровень АД, частоты сердечных сокращений и ЭКГ – по показаниям), оценивать уровень физического напряжения по шкале Борга (Borg Rating of Perceived Exertion, Borg RPE) в процессе тренировки (Приложение Г, таблица ПГ-3) [110, 131].
-
Рекомендуется направление пациентов, перенесших хирургическую коррекцию АН, в санаторно-курортные учреждения кардиологического профиля (низкогорные, равнинные, приморские курорты) для проведения комплексной медицинской реабилитации, включающей физическую реабилитацию (терренкуры, гидротерапию, бальнеотерапию), психологическую реабилитацию, диетотерапию, климатотерапию с целью улучшения функционального статуса и качества жизни, повышения физической работоспособности [134, 135, 136, 137, 138, 139].
ЕОК \РКО IIa C (УУР С, УДД 5)
Комментарий: показанием к санаторно-курортному лечению является ревматический аортальный порок при ХСН IIA стадии (ФК II) без прогностически неблагоприятных нарушений сердечного ритма и проводимости, без признаков активности ревматического процесса, без приступов стенокардии [140].
Госпитализация
Организация оказания медицинской помощи
Показания для госпитализации в медицинскую организацию:
-
Всем пациентам с подозрением на острую АН на фоне острого расслоения аорты или ИЭ рекомендуется экстренная госпитализация в стационар с возможностью кардиохирургического лечения для верификации диагноза, выявления осложнений, лечения и улучшения прогноза для жизни [13].
ЕОК \РКО I C (УУР С, УДД 5)
Комментарии: поскольку подобным больным может потребоваться углубленная дифференциальная диагностика, оптимальной является их госпитализация в многопрофильный стационар с возможностью экстренной диагностики и лечения острой клапанной и иной патологии. Особое внимание следует обращать на пациентов с проявлениями застойной сердечной недостаточности, сохраняющихся в покое, с сердечной астмой, гипотензией и перенесенными синкопальными состояниями.
Показания к выписке пациента из медицинской организации
-
Пациентов с АН рекомендуется выписывать из стационара при условии клинической стабилизации состояния и реализации выбранной стратегии лечения для профилактики осложнений и улучшения прогноза для жизни [13].
ЕОК \РКО I C (УУР С, УДД 5)
Комментарии: после реализации стратегии лечения рекомендовано выписывать пациентов на амбулаторный этап с обязательными последующими профилактическими осмотрами.
-
После клинической стабилизации пациента, если в период его нахождения в стационаре было выявлено иное основное заболевание, требующее приоритетной госпитализации, пациента рекомендуется перевести в профильное отделение для верификации диагноза, выявления осложнений, лечения и улучшения прогноза для жизни [13].
ЕОК \РКО I C (УУР С, УДД 5)
Профилактика
Профилактика и диспансерное наблюдение, медицинские показания и противопоказания к применению методов профилактики
Диспансерное наблюдение
-
Всем пациентам с АН, а также после протезирования АК рекомендуется пожизненное наблюдение врача-кардиолога, в случае отсутствия врача-кардиолога – врача-терапевта или врача общей практики для определения частоты визитов, контроля за выполнением предписанных рекомендаций, своевременного изменения терапии, оценки риска ССО, направления на дополнительные исследования, санаторно-курортное лечение и, при необходимости, — на госпитализацию [19, 20, 110].
EOK\РКО I C (УУР С, УДД 5)
-
Рекомендуется при динамическом наблюдении пациента с АН оценивать изменения АН, клинического статуса, функции и размеров ЛЖ, толерантности к физической нагрузке для ранней диагностики осложнений [11, 13, 15, 17].
ЕОК/РКО I C (УУР C, УДД 5)
Комментарии: бессимптомные пациенты с легкой АН, отсутствием расширения и систолической дисфункции ЛЖ, легочной гипертензии могут совершать визиты к кардиологу с периодичностью 1 раз в год. Пациенты должны быть проинструктированы о необходимости обращения к врачу сразу при изменении (ухудшении) симптомов. Ежегодная ЭхоКГ является обязательной даже при отсутствии клинических данных в пользу прогрессирования АН. У пациентов с умеренной АН клиническая оценка, включая ЭхоКГ, должна выполняться ежегодно или чаще, при появлении новых симптомов.
-
Рекомендуется наблюдение (осмотр, ЭхоКГ) бессимптомных пациентов с тяжелой АН или умеренной АН в сочетании с систолической дисфункцией ЛЖ (ФВ ЛЖ <50%) каждые 6–12 месяцев для ранней диагностики осложнений [11, 13, 15, 17].
ЕОК/РКО IIa C (УУР C, УДД 5)
Комментарии: дооперационная фракция выброса ЛЖ является важным предиктором послеоперационной выживаемости у пациентов с тяжелой хронической АН [8, 72]. Целесообразно также измерение КСР и индекса КСР ЛЖ при ЭхоКГ в качестве критерия выбора показаний к хирургической коррекции бессимптомной АН. Если у пациентов появляются клинические симптомы, операция необходима, даже если систолическая функция и размеры ЛЖ находятся в пределах нормы [13, 17].
-
Выполнение ЭхоКГ рекомендуется для динамического наблюдения асимптомных пациентов с ранее диагностированным АН: каждый 6 -12 месяцев для тяжелого АН, каждые 1–2 года – для умеренного АН, каждые 3–5 лет – для легкого АН [12, 13].
ЕОК\РКО I A (УУР C, УДД 5)
-
Рекомендуется первый осмотр пациентов, перенесших хирургическую коррекцию порока, через 2–4 недели после выписки из стационара с выполнением ЭхоКГ, если не проводилась при выписке для ранней диагностики осложнений [13, 17, 19, 110, 111].
ЕОК/РКО IIa C (УУР C, УДД 5)
Комментарии: обследование включает:
- Трансторакальную ЭхоКГ;
- Регистрацию электрокардиограммы (12 отведений);
- Прицельную рентгенографию органов грудной клетки в 2 проекциях (прямая и левая боковая);
- Клинический анализ крови;
- Биохимический анализ крови;
- Определение уровня МНО (в случае терапии АВК);
- Визуализирующее исследование восходящей аорты (КТА либо МРТ сердца и магистральных сосудов в случае сопутствующего вмешательства на ВА).
Если пациент оперирован по поводу инфекционного эндокардита, визит к врачу необходимо назначать после окончания курса антибиотикотерапии (при необходимости использования визуализирующих методов диагностики – МРТ сердца с контрастированием) [110, 125].
-
Рекомендуется проведение общего (клинического) анализа мочи и общего (клинического) анализа крови с оценкой уровня гемоглобина и гематокрита, количества эритроцитов, лейкоцитов, тромбоцитов, скорости оседания эритроцитов у всех пациентов с АН, а также после протезирования АК в процессе динамического наблюдения не менее 1 раза в год [12].
ЕОК/РКО I С (УУР C, УДД 5)
-
Рекомендуется проведение анализа крови биохимического общетерапевтического (исследование уровня калия, натрия, глюкозы, креатинина, общего белка, мочевины, общего билирубина, определение активности АЛТ и АСТ в крови, исследование уровня тиреотропного гормона (ТТГ) в крови, С-реактивного белка в крови) для оценки почечной и печеночной функции, исключения воспаления; исследование уровня общего холестерина крови, уровня ХсЛНП и ТГ с целью выявления фактора риска сопутствующего атеросклероза и при необходимости коррекции терапии у всех пациентов с АН и после протезирования АК в процессе динамического наблюдения не менее 1 раза в год [12].
ЕОК/РКО IIa C (УУР C, УДД 5)
-
Рекомендуется рассмотреть возможность исследования уровня N-терминального фрагмента натрийуретического пропептида мозгового (NT-proBNP) в крови всем пациентам с АН и после протезирования АК при необходимости с целью стратификации риска летальности [12, 38, 45].
ЕОК/РКО IIa C (УУР C, УДД 5)
-
Пациентам с АН и после протезирования АК рекомендуется регистрация ЭКГ в покое, расшифровка, описание и интерпретация электрокардиографических данных 1 раз в год при контрольном визите и дополнительно — при появлении аритмии, а также при назначении/изменении лечения, влияющего на внутрисердечную электрическую проводимость [20, 158].
EOK\РКО I C (УУР С, УДД 5)
-
Рекомендуется проведение прицельной рентгенографии органов грудной клетки по строгим показаниям и при проведении профилактических осмотров у пациентов с АН и после ПАК [20].
ЕОК/РКО I B (УУР С, УДД 5)
-
Для решения вопроса о направлении пациентов с АН на ЭхоКГ, ЧП ЭхоКГ, МРТ, КТ, КАГ и на другие визуализирующие исследования рекомендуется проводить консультацию врача-кардиолога [20].
EOK\РКО IIa C (УУР С, УДД 5)
-
Рекомендуется осмотр врача-кардиолога, в случае отсутствия - врача-терапевта или врача общей практики, 2 раза в год пациентов с выраженным (тяжелым) клапанным пороком сердца, остальные пациенты осматриваются ежегодно [13, 19, 111].
ЕОК \РКО I C (УУР С, УДД 5)
-
После первичного послеоперационного обследования рекомендуется наблюдение и обследование пациента с АН повторно (с выполнением ЭхоКГ) через 6 и 12 месяцев и затем ежегодно при неосложненном клиническом течении [12, 13, 19, 111].
EОК/РКО IIa C (УУР C, УДД 5)
-
Рекомендуется послеоперационное клиническое обследование раз в год с выполнением ЭхоКГ при отсутствии изменений в клиническом статусе либо чаще в случае изменений клинической симптоматики для профилактики и ранней диагностики осложнений [13, 111, 159].
ЕОК\РКО I C (УУР С, УДД 5)
-
Пациентам, перенесшим «открытую» хирургическую реконструкцию грудной аорты, рекомендуется выполнение КТА грудной аорты в течение первого месяца от момента выполнения процедуры, затем ежегодно в течение первых 2 лет после оперативного лечения и далее при стабильном состоянии аорты каждые 5 лет [164].
ЕОК\РКО I В (УДД 5, УУР С)
Профилактика
-
Рекомендуется антибактериальная терапия для профилактики обострения ревматической лихорадки у пациентов с ревматическим АС [13, 17, 28, 61, 62, 141].
ЕОК/РКО I А (УУР C, УДД 5)
Комментарии: рекомендуется профилактическое назначение антибиотиков пенициллинового ряда в течение 10 лет после последнего обострения ревматической лихорадки или до достижения 40 лет. Пациенты, которые имели одну ревматическую атаку, имеют высокий риск повторных обострений ревматизма. У страдающих ревмокардитом повышена склонность к повторным ревматическим атакам, в связи, с чем их вторичная профилактика имеет большое клиническое значение, предупреждая прогрессирование порока, декомпенсацию ХСН, тромбоэмболические события в магистральные сосуды. Непрерывная антибактериальная профилактика, в совокупности с установлением лабораторно подтвержденного этиологического агента ревматизма, доказала свою эффективность. Пожизненная профилактика показана пациентам с АН высокого риска (носительство стрептококка группы А)
-
Всем пациентам, которым имплантирован механический клапан, рекомендуется прием АВК пожизненно под контролем МНО для профилактики тромбоэмболических осложнений [13, 68].
EОК\РКО I B (УУР C, УДД 5)
-
Рекомендуется выполнять определение МНО после ПАК при контрольном визите на этапе подбора дозы не менее 1 раза в 3-4 дня, далее при подобранной дозе АВК 1 раз в 3-4 недели [13, 68].
EОК \РКО I C (УУР C, УДД 5)
-
Всем пациентам на терапии АВК рекомендуется самоконтроль МНО при условии предшествовавшего соответствующего обучения в школе пациента и осуществления врачебного контроля (дистанционный мониторинг лабораторного показателя или регулярные посещения врача) [13, 68, 172, 177].
EOK\РКО I B (УУР C, УДД 5)
-
Рекомендуется поддерживать МНО на уровне 2,5 (в диапазоне от 2,0 до 3,0) у пациентов с имплантированным механическим клапаном, не имеющих факторов риска тромбоэмболических осложнений и на уровне 3,0 (в диапазоне 2,5-3,5) при наличии одного и более факторов (таблица ПБ-3, приложение Б) ) [13, 68, 172, 177].
EОК\РКО I B (УУР C, УДД 5)
Комментарии: тромбоэмболии в анамнезе, ФП, гиперкоагуляция, венозный тромбоз, выраженная дисфункция ЛЖ (ФВ ЛЖ менее 35%).
-
Пациентам, принимающим АВК рекомендуется прекратить прием препарата по крайней мере за 4 дня до планового некардиального хирургического вмешательства, ассоциированного с высоким риском развития послеоперационных осложнений и смерти с достижением МНО <1,5, и возобновить лечение АВК в течение 24 ч после операции при отсутствии противопоказаний [172, 182-184].
EОК\РКО I В (УУР В, УДД 1)
-
Рекомендуется рассмотреть возможность прерывания и возобновления приема АВК с использованием «терапии моста» у пациентов с механическим протезом аортального клапана с наличием факторы риска тромбоэмболических событий перед некардиальными хирургическими вмешательствами, ассоциированными с высоким риском развития послеоперационных осложнений и смерти [172, 182-184].
EОК\РКО IIa В (УУР В, УДД 1)
-
Рекомендуется продолжение приема АВК пациентам с механическим протезом аортального клапана при инвазивных вмешательствах с низким риском развития кровотечения (операции на коже; небольшая операция на глазах, включая катаракту; лечение кариеса и удаление зубов; имплантация кардиостимулятора или иных устройств; диагностическая катетеризация сердца; фиброгастроскопия, колоноскопия, бронхоскопия и иные диагностические или терапевтические процедуры на органах мочеполовой системы с низким риском кровотечения) [172, 182-184].
EОК\РКО I А (УУР В, УДД 1)
-
Рекомендуется рассмотреть возможность прерывания терапии АВК (за 3–4 дня до операции) и возобновление приема АВК без «терапии моста» у пациентов с механическим протезом аортального клапана нового поколения и при отсутствии рисков развития тромбоэмболии (механический протез митральной или трикуспидальной позиции, более старые поколения механических протезов клапанов сердца независимо от локализации, наследственные или приобретенные состояния, сопровождающиеся гиперкоагуляцией, дисфункция левого желудочка) как способ уменьшения кровотечений после некардиальных хирургических вмешательств или инвазивных процедур, ассоциированных с высоким риском развития послеоперационных осложнений и смерти [172, 185-188].
EОК\РКО IIb B (УУР B, УДД 2)
-
Для профилактики инфекционного эндокардита рекомендуется антибактериальная терапия перед стоматологическими вмешательствами всем пациентам с механическими и биологическими клапанами согласно действующим клиническим рекомендациям «Инфекционный эндокардит и инфекция внутрисердечных устройств» [12, 160].
ЕОК/РКО IIа B (УУР C, УДД 5)
-
Рекомендуется информирование пациентов с АН о профилактике развития инфекционного эндокардита, включающей в себя кожную и зубную гигиену, санацию ротовой полости не реже 1 р./год, своевременную дезинфекцию ран, лечение хронических очагов бактериальной инфекции.
ЕОК/РКО IIa B (УУР C, УДД 5)
-
Пациентам после ПАК и с дисфункцией ЛЖ рекомендуется проведение медикаментозной терапии сердечной недостаточности согласно действующим клиническим рекомендациям «Хроническая сердечная недостаточность» [7, 13, 28, 142, 143].
ЕОК \РКО I C (УУР С, УДД 5)
-
Рекомендуется всем пациентам с протезированным АК ежегодная сезонная вакцинация против гриппа, особенно настоятельно — лицам пожилого возраста (в отсутствие абсолютных противопоказаний) для профилактики повторных ССО и улучшения качества жизни [20].
EOK \РКО I C (УУР C, УДД 5)
Информация
Источники и литература
-
Клинические рекомендации Ассоциации сердечно-сосудистых хирургов России
- 1 Bekeredjian R, Grayburn PA. Valvular heart disease: aortic regurgitation. Circulation. 2005;112(1):125-34. 2 Maurer G. Aortic regurgitation. Heart (British Cardiac Society). 2006;92(7):994-1000. 3 Weiss RM, Miller JD, Heistad DD. Fibrocalcific aortic valve disease: opportunity to understand disease mechanisms using mouse models. Circulation research. 2013;113(2):209-22. 4 Esmaeilzadeh M, Alimi H, Maleki M, Hosseini S. Aortic valve injury following blunt chest trauma. Research in cardiovascular medicine. 2014;3(3):e17319. 5 Хубулава Г.Г., Марченко С.П., Старчик Д.А., Суворов В.В., Кривощеков Е.В., Шихвердиев Н.Н., et al. Геометрические и морфологические характеристики корня аорты в норме и при недостаточности аортального клапана. Хирургия Журнал им НИ Пирогова. 2018(5):4-12. 6 Lancellotti P, Tribouilloy C, Hagendorff A, Moura L, Popescu BA, Agricola E, et al. European Association of Echocardiography recommendations for the assessment of valvular regurgitation. Part 1: aortic and pulmonary regurgitation (native valve disease). European journal of echocardiography : the journal of the Working Group on Echocardiography of the European Society of Cardiology. 2010;11(3):223-44. 7 Nishimura RA, Otto CM, Bonow RO, Carabello BA, Erwin JP, 3rd, Guyton RA, et al. 2014 AHA/ACC guideline for the management of patients with valvular heart disease: executive summary: a report of the American College of Cardiology/American Heart Association task force on practice guidelines. Circulation. 2014;129(23):2440-92. 8 Chaliki HP, Mohty D, Avierinos JF, Scott CG, Schaff HV, Tajik AJ, et al. Outcomes after aortic valve replacement in patients with severe aortic regurgitation and markedly reduced left ventricular function. Circulation. 2002;106(21):2687-93. 9 Sambola A, Tornos P, Ferreira-Gonzalez I, Evangelista A. Prognostic value of preoperative indexed end-systolic left ventricle diameter in the outcome after surgery in patients with chronic aortic regurgitation. American heart journal. 2008;155(6):1114-20. 10 Stefano G, Fox K, Schluchter M, Hoit BD. Prevalence of unsuspected and significant mitral and aortic regurgitation. Journal of the American Society of Echocardiography : official publication of the American Society of Echocardiography. 2008;21(1):38-42 11 Zoghbi WA, Adams D, Bonow RO, Enriquez-Sarano M, Foster E, Grayburn PA, et al. Recommendations for noninvasive evaluation of native valvular regurgitation: A report from the American Society of Echocardiography developed in collaboration with the Society for Cardiovascular Magnetic Resonance. Journal of the American Society of Echocardiography : official publication of the American Society of Echocardiography. 2017;30(4):303-71. 12 Otto CM, Nishimura RA, Bonow RO, Carabello BA, Erwin JP 3rd, Gentile F, Jneid H, Krieger EV, Mack M, McLeod C, O'Gara PT, Rigolin VH, Sundt TM 3rd, Thompson A, Toly C. 2020 ACC/AHA Guideline for the management of patients with valvular heart disease: a report of the American College of Cardiology/American Heart Association Joint Committee on clinical practice guidelines. Circulation. 2021;143(5):e72-e227. 13 Vahanian A, Beyersdorf F, Praz F, Milojevic M, Baldus S, Bauersachs J, et al. 2021 ESC/EACTS Guidelines for the management of valvular heart disease: Developed by the Task Force for the management of valvular heart disease of the European Society of Cardiology (ESC) and the European Association for Cardio-Thoracic Surgery (EACTS). European heart journal. 2021. 14 Goldstein SA, Evangelista A, Abbara S, Arai A, Asch FM, Badano LP, et al. Multimodality imaging of diseases of the thoracic aorta in adults: from the American Society of Echocardiography and the European Association of Cardiovascular Imaging: endorsed by the Society of Cardiovascular Computed Tomography and Society for Cardiovascular Magnetic Resonance. Journal of the American Society of Echocardiography : official publication of the American Society of Echocardiography. 2015;28(2):119-82. 15 Doherty JU, Kort S, Mehran R, Schoenhagen P, Soman P. ACC/AATS/AHA/ASE/ASNC/HRS/SCAI/SCCT/SCMR/STS 2017 appropriate use criteria for multimodality imaging in valvular heart disease: A report of the American College of Cardiology appropriate use criteria task force, American Association for Thoracic Surgery, American Heart Association, American Society of Echocardiography, American Society of Nuclear Cardiology, Heart Rhythm Society, Society for Cardiovascular Angiography and Interventions, Society of Cardiovascular Computed Tomography, Society for Cardiovascular Magnetic Resonance, and Society of Thoracic Surgeons. Journal of the American College of Cardiology. 2017;70(13):1647-72. 16 de Kerchove L, El Khoury G. Anatomy and pathophysiology of the ventriculo-aortic junction: implication in aortic valve repair surgery. Annals of cardiothoracic surgery. 2013;2(1):57-64. 17 Nishimura RA, Otto CM, Bonow RO, Carabello BA, Erwin JP, 3rd, Fleisher LA, et al. 2017 AHA/ACC focused update of the 2014 AHA/ACC Guideline for the management of patients with valvular heart disease: a report of the American College of Cardiology/American Heart Association task force on clinical practice guidelines. Journal of the American College of Cardiology. 2017. 18 Attenhofer Jost CH, Turina J, Mayer K, Seifert B, Amann FW, Buechi M, et al. Echocardiography in the evaluation of systolic murmurs of unknown cause. The American journal of medicine. 2000;108(8):614-20. 19 Baumgartner H, Falk V, Bax JJ, De Bonis M, Hamm C, Holm PJ, et al. 2017 ESC/EACTS Guidelines for the management of valvular heart disease. European heart journal. 2017;38(36):2739-91. 20 Кардиология. Национальное руководство. Краткое издание. Шляхто ЕВ, editor. М.: ГЭОТАР-Медиа; 2019. 816 p. 21 Tutar E, Ekici F, Atalay S, Nacar N. The prevalence of bicuspid aortic valve in newborns by echocardiographic screening. American heart journal. 2005;150(3):513-5. 22 Stout KK, Verrier ED. Acute valvular regurgitation. Circulation. 2009;119(25):3232-41. 23 Bruckner BA, Reardon MJ. Bicuspid aortic valve and associated aortopathy: surgical considerations. Methodist Debakey Cardiovasc J. 2010;6(1):29-32. 24 Agozzino L, Falco A, De Luca Tupputi Schinosa L, De Vivo F, Esposito S, Cotrufo M. Surgical pathology of the aortic valve: a morphologic study on 912 surgically excised valves. Giornale italiano di cardiologia. 1992;22(10):1169-77. 25 Maganti K, Rigolin VH, Sarano ME, Bonow RO. Valvular heart disease: diagnosis and management. Mayo Clinic proceedings. 2010;85(5):483-500. 26 Sievers HH, Schmidtke C. A classification system for the bicuspid aortic valve from 304 surgical specimens. The Journal of thoracic and cardiovascular surgery. 2007;133(5):1226-33. 27 Angelini A, Ho SY, Anderson RH, Devine WA, Zuberbuhler JR, Becker AE, et al. The morphology of the normal aortic valve as compared with the aortic valve having two leaflets. The Journal of thoracic and cardiovascular surgery. 1989;98(3):362-7. 28 McDonagh TA, Metra M, Adamo M, Gardner RS, Baumbach A, Böhm M, et al. 2021 ESC Guidelines for the diagnosis and treatment of acute and chronic heart failure: Developed by the Task Force for the diagnosis and treatment of acute and chronic heart failure of the European Society of Cardiology (ESC) With the special contribution of the Heart Failure Association (HFA) of the ESC. European heart journal. 2021;42(36):3599-726. 29 Graffeo JM, Persaud H. Aortic regurgitation. Journal of the American Academy of PAs. 2017;30(8):47-8. 30 Oztunç F, Babaoğlu K, Yilmaz E, Demir T, Ahunbay G. Predictive value of cardiothoracic ratio as a marker of severity of aortic regurgitation and mitral regurgitation. Anadolu kardiyoloji dergisi : AKD = the Anatolian journal of cardiology. 2007;7(2):146-9. 31 Lancellotti P, Tribouilloy C, Hagendorff A, Popescu BA, Edvardsen T, Pierard LA, et al. Recommendations for the echocardiographic assessment of native valvular regurgitation: an executive summary from the European Association of Cardiovascular Imaging. European heart journal cardiovascular Imaging. 2013;14(7):611-44. 32 Lancellotti P, Rosenhek R, Pibarot P, Iung B, Otto CM, Tornos P, et al. ESC Working Group on Valvular Heart Disease position paper--heart valve clinics: organization, structure, and experiences. European heart journal. 2013;34(21):1597-606. 33 Magne J, Cosyns B, Popescu BA, Carstensen HG, Dahl J, Desai MY, et al. Distribution and prognostic significance of left ventricular global longitudinal strain in asymptomatic significant aortic stenosis: an individual participant data meta-analysis. JACC Cardiovascular imaging. 2019;12(1):84-92. 34 Erbel R, Aboyans V, Boileau C, Bossone E, Bartolomeo RD, Eggebrecht H, et al. 2014 ESC Guidelines on the diagnosis and treatment of aortic diseases: Document covering acute and chronic aortic diseases of the thoracic and abdominal aorta of the adult. The Task Force for the Diagnosis and Treatment of Aortic Diseases of the European Society of Cardiology (ESC). European heart journal. 2014;35(41):2873-926. 35 Borger MA, Fedak PWM, Stephens EH, Gleason TG, Girdauskas E, Ikonomidis JS, et al. The American Association for Thoracic Surgery consensus guidelines on bicuspid aortic valve-related aortopathy: Full online-only version. The Journal of thoracic and cardiovascular surgery. 2018;156(2):e41-e74. 36 Kammerlander AA, Wiesinger M, Duca F, Aschauer S, Binder C, Zotter Tufaro C, et al. Diagnostic and prognostic utility of cardiac magnetic resonance imaging in aortic regurgitation. JACC Cardiovascular imaging. 2019;12(8 Pt 1):1474-83. 37 Amsallem M, Ou P, Milleron O, Henry-Feugeas MC, Detaint D, Arnoult F, et al. Comparative assessment of ascending aortic aneurysms in Marfan patients using ECG-gated computerized tomographic angiography versus trans-thoracic echocardiography. International journal of cardiology. 2015;184:22-7. 38 Freeman LA, Young PM, Foley TA, Williamson EE, Bruce CJ, Greason KL. CT and MRI assessment of the aortic root and ascending aorta. AJR American journal of roentgenology. 2013;200(6):W581-92. 39 Azevedo CF, Nigri M, Higuchi ML, Pomerantzeff PM, Spina GS, Sampaio RO, et al. Prognostic significance of myocardial fibrosis quantification by histopathology and magnetic resonance imaging in patients with severe aortic valve disease. Journal of the American College of Cardiology. 2010;56(4):278-87. 40 Bing R, Cavalcante JL, Everett RJ, Clavel MA, Newby DE, Dweck MR. Imaging and impact of myocardial fibrosis in aortic stenosis. JACC Cardiovascular imaging. 2019;12(2):283-96. 41 Neumann FJ, Sousa-Uva M, Ahlsson A, Alfonso F, Banning AP, Benedetto U, et al. 2018 ESC/EACTS Guidelines on myocardial revascularization. European heart journal. 2019;40(2):87-165. 42 STS Short-term / Operative Risk Calculator Adult Cardiac Surgery Database - All Procedures https://acsdriskcalc.research.sts.org/ 43 EuroSCORE is the world's best-known cardiac surgery risk stratification model https://euroscore.org/ 44 Barili F, Pacini D, Capo A, Rasovic O, Grossi C, Alamanni F, et al. Does EuroSCORE II perform better than its original versions? A multicentre validation study. European heart journal. 2013;34(1):22-9. 45 Shahian DM, Jacobs JP, Badhwar V, Kurlansky PA, Furnary AP, Cleveland JC, Jr., et al. The Society of Thoracic Surgeons 2018 adult cardiac surgery risk models: part 1-background, design considerations, and model development. The Annals of thoracic surgery. 2018;105(5):1411-8. 46 Kundi H, Popma JJ, Reynolds MR, Strom JB, Pinto DS, Valsdottir LR, et al. Frailty and related outcomes in patients undergoing transcatheter valve therapies in a nationwide cohort. European heart journal. 2019;40(27):2231-9. 47 Hosler QP, Maltagliati AJ, Shi SM, Afilalo J, Popma JJ, Khabbaz KR, et al. A practical two-stage frailty assessment for older adults undergoing aortic valve replacement. J Am Geriatr Soc. 2019;67(10):2031-7. 48 Dent E, Martin FC, Bergman H, Woo J, Romero-Ortuno R, Walston JD. Management of frailty: opportunities, challenges, and future directions. Lancet (London, England). 2019;394(10206):1376-86. 49 Goldfarb M, Lauck S, Webb JG, Asgar AW, Perrault LP, Piazza N, et al. Malnutrition and mortality in frail and non-frail older adults undergoing aortic valve replacement. Circulation. 2018;138(20):2202-11. 50 Yanagisawa R, Tanaka M, Yashima F, Arai T, Kohno T, Shimizu H, et al. Frequency and consequences of cognitive impairment in patients underwent transcatheter aortic valve implantation. The American journal of cardiology. 2018;122(5):844-50.
Информация
Список сокращений
АВК – антагонисты витамина К
АГ – артериальная гипертензия
АД – артериальное давление
АК – аортальный клапан
АЛТ – аланинаминотрансфераза
АН – аортальная недостаточность
Антикоагулянты – B01A: Антитромботические средства
АСТ – аспартатаминотрансфераза
БАБ – бета-адреноблокаторы
БРА – блокатор рецепторов ангиотензина (антагонисты рецепторов ангиотензина II)
ВА – восходящая аорта
ДАК – двустворчатый аортальный клапан
ДАТТ – двойная антитромбоцитарная терапия
Дезагрегант – B01AC Ингибиторы агрегации тромбоцитов, кроме гепарина
ДЗЛА – давление заклинивания легочной артерии
ИБС – ишемическая болезнь сердца
иАПФ – ингибиторы ангиотензинпревращающего фермента
ИЭ – инфекционный эндокардит
КАГ – коронароангиография
Катетеризации правых камер сердца – чрезвенозная катетеризация сердца
КДР – конечно-диастолический размер
КСР – конечно-систолический размер
КТ – компьютерная томография
КТА коронарных артерий – компьютерно-томографическая коронарография (оптическая когерентная томография коронарных артерий)
КТА аорты – компьютерно-томографическая ангиография аорты
ЛЖ – левый желудочек
ЛП – левое предсердие
Механический протез – протез аортального клапана механический двустворчатый ***
Биологический протез – биопротез сердечного аортального клапана***
МНО – международное нормализованное отношение
МРТ – магнитно-резонансная томография
МРТ сердца и магистральных сосудов – магнитно-резонансная томография сердца и магистральных сосудов
Мультидисциплинарная команда – врач-кардиолог, врач-сердечно-сосудистый хирург, врач любой другой узкой специализации в зависимости от сопутствующей патологии
Окклюдер – окклюдер кардиологический***
ПАК – протезирование аортального клапана в условиях искусственного кровообращения
ПАК биологическим протезом – протезирование аортального клапана в условиях искусственного кровообращения биопротезом сердечного аортального клапана***
ПОАК – прямые оральные антикоагулянты, B01A: Антитромботические средства
СРБ – С-реактивный белок
Статины – С10АА ингибиторы ГМГ-КоА-редуктазы
ТГ – триглицериды
ТИАК – транскатетерная имплантация аортального клапана (А16.10.003.032 Эндоваскулярное протезирование аортального клапана)
УЗИ – ультразвуковое исследование
ФВ – фракция выброса
ФК АК – фиброзное кольцо аортального клапана
ХсЛНП – холестерин липопротеидов низкой плотности
ЧП ЭхоКГ – эхокардиография чреспищеводная
ЭКГ – регистрация электрокардиограммы
ЭхоКГ – эхокардиография (трансторакальная)
CHA2DS2VASc – шкала оценки риска развития инсульта и тромбоэмболических осложнений у пациентов с трепетанием и фибрилляцией предсердий (Приложение Г4)
NYHA – New York Heart Association (Нью-Йоркская ассоциация сердца)
** – препарат включен в перечень жизненно необходимых и важнейших лекарственных препаратов
*** – медицинское изделие, имплантируемое при оказании медицинской помощи в рамках программы государственных гарантий бесплатного оказания гражданам медицинской помощи
# – назначение лекарственного препарата по показаниям, не утверждённым государственными регулирующими органами, не упомянутым в инструкции по применению
Термины и определения
ЕОК – Европейское общество кардиологов. В тексте настоящих клинических рекомендаций дополнительно указаны показания к тезисам в соответствии с рекомендациями Европейского кардиологического общества (ЕОК). В соответствии с международным документом выделяются классы рекомендаций и уровни доказательности.
Аортальный клапан – клапан сердца, располагающийся в устье аорты между начальным отделом последней и выходным трактом левого желудочка.
Аортальная недостаточность – обратный ток крови из аорты в левый желудочек в фазу диастолы [1].
Исход – любой возможный результат, возникающий от воздействия причинного фактора, профилактического или терапевтического вмешательства, все установленные изменения состояния здоровья, возникающие как следствие вмешательства.
Конфликт интересов – ситуация, при которой у медицинского или фармацевтического работника при осуществлении ими профессиональной деятельности возникает личная заинтересованность в получении лично либо через представителя компании материальной выгоды или иного преимущества, которое влияет или может повлиять на надлежащее исполнение ими профессиональных обязанностей вследствие противоречия между личной заинтересованностью медицинского работника или фармацевтического работника и интересами пациента.
Клапанные пороки сердца – нарушения работы сердца, обусловленные морфологическими и/или функциональными изменениями одного или нескольких его клапанов. Изменения клапанов могут быть в виде стеноза, недостаточности или их сочетания.
Клиническое исследование – любое исследование, проводимое с участием человека в качестве субъекта для выявления или подтверждения клинических и/или фармакологических эффектов исследуемых продуктов, и/или выявления нежелательных реакций на исследуемые продукты, и/или изучения их всасывания, распределения, метаболизма и выведения с целью оценить их безопасность и/или эффективность. Термины «клиническое испытание» и «клиническое исследование» являются синонимами.
Компьютерная томография (КТ) – неинвазивный метод лучевой диагностики, позволяющий получить серию послойных субмиллиметровых аксиальных изображений органов и структур тела человека.
Лабораторная диагностика – совокупность методов, направленных на анализ исследуемого материала с помощью различного специализированного оборудования.
Лекарственные препараты – лекарственные средства в виде лекарственных форм, применяемые для профилактики, диагностики, лечения заболевания, реабилитации, для сохранения, предотвращения или прерывания беременности.
Магнитно-резонансная томография (МРТ) – неинвазивный метод получения томографических медицинских изображений без ионизирующего излучения для исследования внутренних органов и тканей.
Медицинское вмешательство – выполняемые медицинским работником и иным работником, имеющим право на осуществление медицинской деятельности, по отношению к пациенту, затрагивающие физическое или психическое состояние человека и имеющие профилактическую, диагностическую, лечебную, реабилитационную или исследовательскую направленность виды медицинских обследований и (или) медицинских манипуляций, а также искусственное прерывание беременности.
Медицинский работник – физическое лицо, которое имеет медицинское или иное образование, работает в медицинской организации и в трудовые (должностные) обязанности которого входит осуществление медицинской деятельности, либо физическое лицо, которое является индивидуальным предпринимателем, непосредственно осуществляющим медицинскую деятельность.
Пациент – физическое лицо, которому оказывается медицинская помощь или которое обратилось за оказанием медицинской помощи независимо от наличия у него заболевания и от его состояния.
Первый медицинский контакт – время первичного осмотра пациента врачом, фельдшером, медицинской сестрой или сотрудниками бригады скорой помощи, которые регистрируют ЭКГ (и имеют результаты ее интерпретации), могут выполнить первичные манипуляции (например, дефибрилляцию сердца). Первый медицинский контакт может состояться как на догоспитальном этапе, так и впервые при госпитализации пациента.
Протезирование клапана – замена нативного клапана протезом, выполняющим его функцию.
Рабочая группа по разработке/актуализации клинических рекомендаций – коллектив специалистов, работающих совместно и согласованно в целях разработки/актуализации клинических рекомендаций и несущих общую ответственность за результаты данной работы.
Реконструкция клапана – восстановление функции клапана без его замены.
Симптом (от греч. symptomos - признак, совпадение) – это признак какого-либо заболевания, статистически значимое отклонение того или иного показателя от границ его нормальных величин или возникновение качественно нового, не свойственного здоровому организму явления.
Синдром – устойчивая совокупность ряда симптомов с единым патогенезом.
Состояние – изменения организма, возникающие в связи с воздействием патогенных и (или) физиологических факторов и требующие оказания медицинской помощи.
Тезис-рекомендация – положение, отражающее порядок и правильность выполнения того или иного медицинского вмешательства, имеющего доказанную эффективность и безопасность.
Уровень достоверности доказательств (УДД) – степень уверенности в том, что найденный эффект от применения медицинского вмешательства является истинным.
Уровень убедительности рекомендаций (УУР) – степень уверенности в достоверности эффекта вмешательства и в том, что следование рекомендациям принесет больше пользы, чем вреда в конкретной ситуации.
Хирургическое лечение – метод лечения заболеваний путем разъединения и соединения тканей в ходе хирургической операции.
Критерии оценки качества медицинской помощи
Критерии оценки качества первичной медико-санитарной помощи взрослым при аортальной недостаточности (коды по МКБ - 10: I35.1/Q23.1/Q23.8/Q23.9/I06.1)
|
№ |
Критерии качества |
ЕОК |
УДД |
УУР |
Да/нет |
|---|---|---|---|---|---|
|
1 |
Выполнены прием (консультация) врача-кардиолога первичный и (или) прием (консультация) врача сердечно-сосудистого хирурга первичный (при установлении диагноза) |
ЕОК/РКО I B |
1 |
В |
да/нет |
|
2 |
Выполнена регистрация электрокардиограммы (при диспансерном наблюдении) |
ЕОК/РКО I B |
2 |
С |
да/нет |
|
3 |
Выполнена рентгенография грудной клетки прицельная (при планировании хирургического лечения) |
ЕОК/РКО I B |
4 |
С |
да/нет |
|
4 |
Выполнена эхокардиография трансторакальная (при установлении диагноза и (или) при диспансерном наблюдении) |
ЕОК/РКО I А |
1 |
В |
да/нет |
|
5 |
Выполнен общий (клинический) анализ крови базовый с подсчетом лейкоцитарной формулы (при диспансерном наблюдении не реже 1 раза в год) |
ЕОК/РКО I С |
1 |
С |
да/нет |
|
6 |
Выполнены исследования калия в крови, исследования натрия в крови, исследования хлора в крови, исследование глюкозы в крови, исследования креатинина в крови, исследования общего белка в крови, исследования альбумина в крови, исследование мочевины, исследование общего билирубина в крови, исследование активности лактатдегидрогеназы в крови, исследование активности аспартатаминотрансферазы в крови, исследование активности аланинаминотрансферазы в крови, исследование С-реактивного белка в крови |
ЕОК/РКО I С |
1 |
С |
да/нет |
|
8 |
Выполнен осмотр оперированных пациентов и эхокардиография не позже, чем через 2-4 недели после вмешательства, если не проводилась при выписке для ранней диагностики осложнений) |
ЕОК/РКО I С |
1 |
С |
да/нет |
|
9 |
Выполнен контроль международного нормализированного отношения после протезирования аортального клапана при контрольном визите на этапе подбора дозы не менее 1 раза в 3-4 календарных дня, далее при подобранной дозе антагониста витамина К 1 раз в 3-4 недели |
ЕОК\РКО I A |
1 |
А |
да/нет |
Критерии оценки качества специализированной медицинской помощи взрослым при аортальной недостаточности (коды по МКБ - 10: I35.1/Q23.1/Q23.8/Q23.9/I06.1)
|
№ |
Критерии качества |
ЕОК |
УДД |
УУР |
Да/нет |
|---|---|---|---|---|---|
|
1 |
Выполнена регистрация электрокардиограммы (при планировании хирургического лечения и перед выпиской из стационара) |
ЕОК/РКО I B |
2 |
С |
да/нет |
|
2 |
Выполнена рентгенография грудной клетки прицельная (при планировании хирургического лечения) |
ЕОК/РКО I B |
4 |
С |
да/нет |
|
3 |
Выполнена эхокардиография (при планировании и (или) выполнении хирургического лечения и перед выпиской из стационара) |
ЕОК/РКО I А |
1 |
В |
да/нет |
|
4 |
Выполнен общий (клинический) анализ крови базовый с подсчетом лейкоцитарной формулы (при планировании хирургического лечения и (или) перед выпиской из стационара) |
ЕОК/РКО I С |
1 |
С |
да/нет |
|
5 |
Выполнены исследования калия в крови, исследования натрия в крови, исследования хлора в крови, исследование глюкозы в крови, исследования креатинина в крови, исследования общего белка в крови, исследования альбумина в крови, исследование мочевины, исследование общего билирубина в крови, исследование активности лактатдегидрогеназы в крови, исследование активности аспартатаминотрансферазы в крови, исследование активности аланинаминотрансферазы в крови, исследование С-реактивного белка в крови |
ЕОК/РКО I С |
1 |
С |
да/нет |
|
6 |
Выполнена коронарная ангиография или оценена ранее выполненная (не позднее 6 месяцев) при планировании хирургического лечения (пациенты старше 40 лет, при анамнезе и (или) симптомах ишемической болезни сердца, при наличии признаков ишемии миокарда, при снижении фракции выброса левого желудочка <50%, при наличии одного и более факторов риска ишемической болезни сердца и (или) постлучевом поражении) |
ЕОК/РКО I С |
1 |
В |
да/нет |
|
7 |
Выполнено вмешательство на аортальном клапане (пластика аортального клапана в условиях искусственного кровообращения, или протезирование аортального клапана в условиях искусственного кровообращения, или эндоваскулярное протезирование аортального клапана) в случае наличия соответствующих медицинских показаний и отсутствия медицинских противопоказаний |
ЕОК/РКО I А |
1 |
В |
да/нет |
|
8 |
Выполнен контроль международного нормализированного отношения после протезирования аортального клапана при контрольном визите на этапе подбора дозы не менее 1 раза в 3-4 календарных дня, далее при подобранной дозе антагониста витамина К 1 раз в 3-4 недели |
ЕОК\РКО I A |
1 |
А |
да/нет |
Приложение А1. Состав рабочей группы по разработке и пересмотру клинических рекомендаций
Председатели рабочей группы:
1. Бокерия Л.А., академик РАН (Москва) АССХ
2. Успенский В.Е., д.м.н. (Санкт-Петербург) РКО, АССХ
3. Куц Э.В., д.м.н. (Москва) АССХ
4. Иртюга О.Б., д.м.н. (Санкт-Петербург) РКО
Члены рабочей группы:
5. Александрова С.А., к.м.н. (Москва) РОРР
6. Алекян Б.Г., академик РАН (Москва) Председатель РНО РДиЛ
7. Амирагов Р.А., к.м.н. (Москва) АССХ
8. Аронов Д.М., д.м.н., профессор (Москва) РКО, РосОКР
9. Асатрян Т.В., к.м.н. (Москва) АССХ
10. Бабакехян М.В., (Санкт-Петербург) РКО
11. Барбухатти К.О., д.м.н., доцент (Краснодар) АССХ
12. Богачев-Прокофьев А.В., д.м.н. (Новосибирск) РКО, АССХ
13. Бойцов С.А. академик РАН (Москва) РКО
14. Бубнова М.Г., д.м.н., профессор (Москва) РКО, РосОКР
15. Гордеев М.Л., д.м.н., профессор, член-корр. РАН (Санкт-Петербург) РКО, АССХ
16. Джорджикия Р.К., д.м.н., профессор (Казань) АССХ
17. Дорофеев А.В., к.м.н. (Москва) РОРР
18. Железнев С.И., профессор, (Новосибирск) АССХ
21. Караськов А.М., академик РАН (Новосибирск) АССХ
22. Ковалев С.А., профессор (Воронеж) АССХ
23. Козлов Б.Н. (Томск) АССХ
24. Комлев А.Е. к.м.н. (Москва) РКО
25. Мацкеплишвили С.Т., член-корр. РАН (Москва) РКО
27. Мироненко В.А., д.м.н. (Москва) АССХ
28. Мироненко М.Ю., к.м.н. (Москва) РОРР
29. Муратов Р.М., д.м.н., профессор (Москва) АССХ
30. Никитина Т.Г., проф. (Москва)
32. Погосова Н.В., д.м.н., профессор (Москва) РКО
33. Протопопов А.В., д.м.н., профессор (Красноярск), РНО РДиЛ
34. Пугина М.Ю., (Санкт-Петербург) РКО
35. Россейкин Е.В. (Хабаровск) АССХ
36. Синицын В.Е., д.м.н., профессор (Москва) РОРР
37. Скопин И.И., член-корр. РАН (Москва) АССХ
38. Сухова И.В., к.м.н., (Санкт-Петербург) РКО
39. Тарасов Д.Г., к.м.н. (Астрахань) АССХ
40. Таркова А.Р., к.м.н. (Новосибирск) РОРР
41. Фарулова И.Ю. к.м.н. (Москва) РОРР
42. Хубулава Г.Г., академик РАН (Санкт-Петербург) АССХ
43. Чарчян Э.Р. (Москва) АССХ
44. Чернов И.И., к.м.н. (Астрахань) АССХ
45. Шляхто Е.В., академик РАН (Санкт-Петербург) РКО
46. Шнейдер Ю.А., д.м.н. (Калининград) АССХ
47. Юрпольская Л.А., д.м.н. (Москва) РОРР
Члены рабочей группы подтвердили отсутствие финансовой поддержки/конфликта интересов. В случае сообщения о наличии конфликта интересов член(ы) рабочей группы был(и) исключен(ы) из обсуждения разделов, связанных с областью конфликта интересов.
Приложение А2. Методология разработки клинических рекомендаций
-
Врач-кардиолог.
-
Врач-терапевт.
-
Врач общей практики (семейные врачи).
-
Врач-сердечно-сосудистый хирург.
Вследствие того, что РКО входит в состав Европейского общества кардиологов (ЕОК), и члены РКО также являются членами ЕОК, все европейские рекомендации формируются с участием российских экспертов, которые являются соавторами рекомендаций. Таким образом, существующие рекомендации ЕОК отражают общее мнение ведущих российских и европейских врачей-кардиологов.
В связи с этим формирование национальных рекомендаций проводилось на основе рекомендаций ЕОК с учетом национальной специфики, особенностей обследования, лечения, доступности той или иной медицинской помощи. По этой причине в ходе разработки российских клинических рекомендаций РКО использованы международные классы показаний рекомендаций, позволяющие оценить необходимость выполнения тезиса рекомендаций и уровни достоверности доказательств данных классов (Таблицы 1/А2 и 2/А2).
В тех случаях, когда в Европейских рекомендациях отсутствовали классы и уровни доказательности, но по мнению экспертов РКО данные тезисы являлись крайне необходимыми для выполнения или наоборот абсолютно не рекомендованы к применению эксперты РКО основываясь на правилах формирования классов показаний согласно рекомендациям европейского общества кардиологов, сами проставляли классы и уровни. В данной ситуации обозначение ЕОК/РКО – классы, проставленные экспертами РКО.
Кроме того, добавлена новая система шкал УДД и УУР для лечебных, реабилитационных, профилактических вмешательств и диагностических вмешательств (Таблицы 3/А2, 4/А2 и 5/А2), введенная в 2018 г. ФГБУ ЦЭККМП Минздрава РФ. Таким образом, в тексте клинических рекомендаций, разрабатываемых экспертами РКО, одновременно использованы две шкалы (Таблицы 1/А2, 2/А2, 3/А2, 4/А2, 5/А2).
Таблица 1/А2. Классы показаний согласно рекомендациям Европейского Общества Кардиологов (ЕОК).
|
Класс рекомендаций (ЕОК) |
Определение |
Предлагаемая формулировка для использования |
|---|---|---|
|
I |
Доказано или общепризнанно, что диагностическая процедура, вмешательство/лечение являются эффективными и полезными |
Рекомендовано/ показано |
|
IIa
IIb |
Большинство данных/мнений в пользу эффективности/пользы диагностической процедуры, вмешательства, лечения
Эффективность/польза диагностической процедуры, вмешательства, лечения установлены менее убедительно |
Целесообразно применять
Можно применять |
|
III |
Данные или единое мнение, что диагностическая процедура, вмешательство, лечение бесполезны/не эффективны, а в ряде случаев могут приносить вред |
Не рекомендуется применять |
Таблица 2/А2. Уровни достоверности доказательств согласно рекомендациям Европейского Общества Кардиологов (ЕОК).
|
Уровни достоверности доказательств (ЕОК) |
|
|---|---|
|
A |
Данные многочисленных рандомизированных клинических исследований или метаанализов |
|
B |
Данные получены по результатам одного рандомизированного клинического исследования или крупных нерандомизированных исследований |
|
C |
Согласованное мнение экспертов и/или результаты небольших исследований, ретроспективных исследований, регистров |
Таблица 3/А2. Шкала оценки уровней достоверности доказательств (УДД) для методов диагностики (диагностических вмешательств)
|
УДД |
Расшифровка
|
|---|---|
|
1 |
Систематические обзоры исследований с контролем референсным методом или систематический обзор рандомизированных клинических исследований с применением метаанализа |
|
2 |
Отдельные исследования с контролем референсным методом или отдельные рандомизированные клинические исследования и систематические обзоры исследований любого дизайна, за исключением рандомизированных клинических исследований, с применением метаанализа |
|
3 |
Исследования без последовательного контроля референсным методом или исследования с референсным методом, не являющимся независимым от исследуемого метода или нерандомизированные сравнительные исследования, в том числе когортные исследования |
|
4 |
Несравнительные исследования, описание клинического случая |
|
5 |
Имеется лишь обоснование механизма действия или мнение экспертов |
Таблица 4/А2. Шкала оценки уровней достоверности доказательств (УДД) для методов профилактики, лечения и реабилитации (профилактических, лечебных, реабилитационных вмешательств)
|
УДД |
Расшифровка |
|---|---|
|
1 |
Систематический обзор РКИ с применением метаанализа |
|
2 |
Отдельные РКИ и систематические обзоры исследований любого дизайна, за исключением РКИ, с применением метаанализа |
|
3 |
Нерандомизированные сравнительные исследования, в т. ч. когортные исследования |
|
4 |
Несравнительные исследования, описание клинического случая или серии случаев, исследования «случай-контроль» |
|
5 |
Имеется лишь обоснование механизма действия вмешательства (доклинические исследования) или мнение экспертов |
Таблица 5/А2. Шкала оценки уровней убедительности рекомендаций (УУР) для методов профилактики, диагностики, лечения и реабилитации (профилактических, диагностических, лечебных, реабилитационных вмешательств)
|
УУР |
Расшифровка |
|---|---|
|
A |
Сильная рекомендация (все рассматриваемые критерии эффективности (исходы) являются важными, все исследования имеют высокое или удовлетворительное методологическое качество, их выводы по интересующим исходам являются согласованными) |
|
B |
Условная рекомендация (не все рассматриваемые критерии эффективности (исходы) являются важными, не все исследования имеют высокое или удовлетворительное методологическое качество и/или их выводы по интересующим исходам не являются согласованными) |
|
C |
Слабая рекомендация (отсутствие доказательств надлежащего качества (все рассматриваемые критерии эффективности (исходы) являются неважными, все исследования имеют низкое методологическое качество и их выводы по интересующим исходам не являются согласованными) |
Порядок обновления клинических рекомендаций.
Механизм обновления клинических рекомендаций предусматривает их систематическую актуализацию — не реже чем один раз в три года, — а также при появлении новых данных с позиции доказательной медицины по вопросам диагностики, лечения, профилактики и реабилитации конкретных заболеваний, наличии обоснованных дополнений/замечаний к ранее утвержденным КР, но не чаще 1 раза в 6 месяцев.
Приложение А3. Справочные материалы, включая соответствие показаний к применению и противопоказаний, способов применения и доз лекарственных препаратов, инструкции по применению лекарственного препарата
Приложение А3-1
-
Федеральный закон от 21.11.2011 г. № 323-ФЗ «Об основах охраны здоровья граждан в Российской Федерации»;
-
Приказ Минздрава России от 15.11.2012 г. № 918н «Об утверждении порядка оказания медицинской помощи больным с сердечно-сосудистыми заболеваниями»);
-
«Об утверждении классификаций и критериев, используемых при осуществлении медико-социальной экспертизы граждан федеральными учреждениями медико-социальной экспертизы» (Приказ Минздрава России №374н от 26 июля 2024 г.);
-
«О Порядке организации медицинской реабилитации взрослых» (Приказ Минздрава России № 788н от 31 июля 2020 г.);
-
«Об утверждении Правил проведения рентгенологических исследований» (Приказ Минздрава России от 09.06.2020 г. № 560н (ред. от 18.02.2021 г.);
-
«Об утверждении Правил проведения ультразвуковых исследований» (Приказ Минздрава России от 08.06.2020 г. № 557н).
-
Приказ Министерства здравоохранения Российской Федерации от 14.04.2025 г. № 203н «Об утверждении критериев оценки качества медицинской помощи».
-
Приказ Министерства здравоохранения Российской Федерации от 28.02.2019 г. № 103н «Об утверждении порядка и сроков разработки клинических рекомендаций, их пересмотра, типовой формы клинических рекомендаций и требований к их структуре, составу и научной обоснованности включаемой в клинические рекомендации информации» (зарегистрирован 08.05.2019 г. № 54588).
Приложение А3-2. Противопоказания к физическим тренировкам у пациентов с аортальной недостаточностью после хирургического лечения
-
Перенесенный интраоперационный инфаркт миокарда (не ранее 3 недель от начала инфаркта миокарда);
-
Послеоперационные осложнения (посткардиотомный синдром с перикардитом и/или плевритом, отек легких, эндокардит, остро возникшая дисфункция сердца, нагноение послеоперационных ран и септические состояния);
-
Выраженный диастаз и/или патологическая подвижность грудины (противопоказание к выполнению комплекса упражнений для верхних конечностей и туловища);
-
Сердечная недостаточность IV функционального класса;
-
Неконтролируемая артериальная гипертензия (АД >180/110 мм рт. ст.);
-
Приступы стенокардии;
-
Снижение систолического АД ≥20 мм рт. ст. в ответ на физическую нагрузку;
-
Нарушения ритма сердца (экстрасистолии высоких градаций или тахиаритмии) и проводимости (атриовентрикулярная блокада II-III степени);
-
Тромбоэмболия или тромбофлебит (в сроки до 3 месяцев);
-
Острое нарушение мозгового кровообращения или транзиторная ишемическая атака (в сроки до 3 месяцев);
-
Высокий риск кровотечений;
-
Неконтролируемый сахарный диабет;
-
Выраженные когнитивные нарушения.
Рисунок А3-1. Этиология аортальной недостаточности

Рисунок А3-2. Классификация аортальной недостаточности по типам (адаптировано из H. Baumgartner и соавт., 2017, W.A. Zoghbi и соавт., 2017) [11, 19]

Рисунок А3-3. Классификация двустворчатого аортального клапана (по H.-H. Sievers, C. Schmidtke, 2007) [134]

Приложение Б. Алгоритмы действий врача
Таблица ПБ-1. Степени хронической аортальной недостаточности [11, 159]
|
Параметр |
Легкая АН |
Умеренная АН |
Тяжелая АН |
|---|---|---|---|
|
Структурные параметры |
|||
|
Створки АК |
Нормальные или изменены |
Нормальные или изменены |
Изменены/«молотящая» створка или большой дефект коаптации |
|
Размеры ЛЖ |
Нормальные |
Нормальные или увеличенные |
Обычно увеличенные |
|
Качественные параметры |
|||
|
Ширина потока в ВОЛЖ, цветовой поток |
Небольшая в центральных потоках |
Средняя |
Большая в центральных потоках, вариабельная в эксцентричных потоках |
|
Конвергенция потока, цветовой поток |
Нет либо крайне малая |
Промежуточная |
Выраженная |
|
Плотность потока, CW |
Неполная или слабая |
Плотная |
Плотная |
|
Характер убывания потока, CW (PHT, мс) |
Плавный, >500 |
Промежуточный, 500-200 |
Резкий, <200 |
|
Реверсия диастолического потока в нисходящей аорте, PW |
Короткая, ранняя диастолическая реверсия |
Промежуточная |
Выраженная диастолическая реверсия |
|
Полуколичественные параметры |
|||
|
Ширина струи регургитации (vena contracta), мм |
<3 |
3-6 |
>6 |
|
Отношение «ширина струи» / «ширина ВОЛЖ», центральный поток, % |
<25 |
25-64 |
>65 |
|
Отношение «площадь поперечного сечения струи» / «площадь поперечного сечения ВОЛЖ», центральные потоки, % |
<5 |
5-59 |
>60 |
|
Объем регургитации, мл/сердечное сокращение |
<30 |
30-59 |
>60 |
|
Фракция регургитации, % |
<30 |
30-49 |
>50 |
|
Эффективная площадь устья регургитации, см2 |
<0.10 |
0.10-0.29 |
>0.30 |
Примечания. АК – аортальный клапан; АН – аортальная недостаточность; ВОЛЖ – выходной отдел левого желудочка; CW – постоянно-волновое допплеровское исследование; PHT – время полуспада; PW – импульсный доплер.
Таблица ПБ-2. Функциональная классификация аортальной недостаточности El Khoury и de Kerchove (адаптировано из de Kerchove L., El Khoury G., 2013) [16]

Примечания: АК – аортальный клапан; АН – аортальная недостаточность; НП – надкоронарное протезирование; СКА – субкомиссуральная аннулопластика; СТС – синотубулярное соединение; ФК – фиброзное кольцо.
Таблица ПБ-3. Целевые значения МНО после протезирования АК механическим протезом невысокой тромбогенности, требующим пожизненной антикоагулянтной терапии
|
Отсутствие факторов риска (синусовый ритм, нормальный градиент на протезе АК, сохранная ФВ ЛЖ, отсутствие эффекта спонтанного контрастирования) |
Наличие факторов риска (фибрилляция предсердий, ФВ <35%, наличие эффекта спонтанного контрастирования, вмешательство на других клапанах сердца) |
|---|---|
|
2,0 – 3,0 |
2,5 – 3,5 |
Примечание. АК – аортальный клапан; ЛЖ – левый желудочек; ФВ – фракция выброса.
Оптимизация диагностического процесса
Этап скрининга и верификации клапанных пороков обычно проводится на амбулаторном этапе диагностики. Пациенты с тяжелым клапанным пороком, либо пациенты с другой степенью тяжести и стадией, но с тяжелой сопутствующей патологией направляются в многопрофильный центр с кардиохирургическим отделением для консультации кардиолога. В случае необходимости определения показаний к оперативному лечению порока пациент кардиологом многопрофильного центра направляется на консультацию к кардиохирургу (Таблица 5).
Таблица ПБ-4. Этапы диагностической помощи для больных с клапанным пороком
|
Этапы |
Объем обследования |
|---|---|
|
Первичная медико-санитарная помощь |
Скрининг: Сбор жалоб, анамнеза, осмотр, аускультация, ЭКГ, рентгенография грудной клетки, общий анализ крови |
|
Первичная специализированная помощь |
Определение наличия клапанного порока: ЭхоКГ Исключение наиболее частых причин клапанных пороков: ЧП ЭхоКГ, спирография, биохимический анализ крови, антистрептолизин-О, ревматоидный фактор, посев крови трехкратно на высоте лихорадки, тест на прокальцитонин, антинуклеарный фактор |
|
Многопрофильный центр с кардиохирургией |
Определение показаний к оперативному вмешательству: ЭхоКГ, нагрузочный тест, КТ, катетеризация левых камер сердца, КАГ, МРТ Оценка риска осложнений без оперативного вмешательства: Тест 6-минутной ходьбы, кардиопульмональный нагрузочный тест, биомаркеры (мозговой натриуретический пептид), генетический анализ |
Рисунок ПБ-1. Алгоритм первичной диагностики и хирургического лечения тяжелой аортальной недостаточности

Рисунок ПБ-2. Алгоритм ведения пациента после коррекции аортальной недостаточности

Рисунок ПБ-3. Алгоритм маршрутизации пациентов с аортальной недостаточностью в рамках системы медицинской (кардиологической) реабилитации


Рисунок ПБ-4. Алгоритм использования методов лучевой и инструментальной диагностики у пациентов с аортальной недостаточностью

Приложение В. Информация для пациента
Аортальная недостаточность – врожденный или приобретенный порок сердца, характеризующийся нарушением запирательной функции аортального клапана. В фазу диастолы (расслабления и наполнения левого желудочка) часть крови, выброшенная левым желудочком в аорту, возвращается обратно через несостоятельный аортальный клапан. Аортальная недостаточность может быть врожденной и приобретенной, развиваться как при исходно нормально сформированном трехстворчатом аортальном клапане, так и у лиц с врожденными аномалиями – двустворчатым, моностворчатым, четырехстворчатым аортальным клапаном. Причинами аортальной недостаточности могут быть как изменения самих створок аортального клапана (растяжение и истончение створок, разрушение при инфекционном поражении, склероз и фиброз при атеросклерозе или ревматизме), так и заболевания восходящего отдела аорты, приводящие к нарушению механизма открытия и закрытия клапана: аневризма, расслоение, разрыв восходящей аорты.
Тяжелая аортальная недостаточность может длительно никак не проявлять себя, но приводить к серьезным изменениям в Вашем сердце.
Тяжелая аортальная недостаточность обычно проявляется одышкой при умеренных и небольших физических нагрузках, быстрой утомляемостью, в ряде случаев ощущением дискомфорта в области сердца. В далеко зашедших случаях у пациентов наблюдается одышка в покое, невозможность лежать в постели с низким изголовьем («сердечная астма»), нарушения ритма сердца, накопление жидкости в плевральных полостях, в брюшной полости (асцит), отеки нижних конечностей. Единственным методом эффективного устранения тяжелой аортальной недостаточности является хирургическая операция. При наличии тяжелой аортальной недостаточности и показаний к оперативному вмешательству отказ или отсрочка хирургической коррекции существенно ухудшает результаты лечения, повышает риски тяжелых осложнений и ухудшает прогноз для жизни даже в том случае, если позднее операция будет выполнена.
-
После выписки из специализированного центра рекомендуется строго соблюдать предписания, указанные в выписных документах (выписной эпикриз).
-
Наблюдение у кардиолога по месту жительства (осмотр, ЭхоКГ (трансторакальная), ЭКГ) рекомендуется не реже 1 раза в год, строго соблюдая его предписания и назначения.
-
Рекомендуется наблюдение кардиолога в специализированном центре (осмотр, ЭхоКГ (трансторакальная), ЭКГ) не реже 1 раза в год.
-
При любых инвазивных манипуляциях (стоматологические, косметологические, прочие процедуры, предполагающие или несущие риск нарушения целостности кожных покровов и слизистых) рекомендуется обязательно превентивно принимать рекомендованные антибиотики для профилактики инфекционного эндокардита реконструированного или протезированного клапана сердца.
-
Планируемые инвазивные манипуляции и/или хирургические операции рекомендуется обязательно согласовывать с кардиологом, наблюдающим пациента по месту жительства.
-
Изменение доз и схем тех или иных лекарственных препаратов, а также назначение дополнительных или альтернативных лекарственных препаратов осуществляет только лечащий врач.
-
При возникновении побочных эффектов от приема лекарственных препаратов рекомендуется в максимально быстрые сроки обсудить это с лечащим врачом.
-
При возникновении или резком прогрессировании следующих симптомов в максимально короткие сроки рекомендуется внеочередная консультация кардиолога: утомляемость, одышка, отеки, резкие боли в грудной клетке, в животе, увеличение объема живота, аритмии, потери сознания, неврологический дефицит (потеря зрения, слуха, речи, онемение конечности, парезы и параличи, в т.ч. кратковременные), острые респираторные заболевания, лихорадка неясного генеза.
Приложение Г1-ГN. Шкалы оценки, вопросники и другие оценочные инструменты состояния пациента, приведенные в клинических рекомендациях
Приложение Г1. Госпитальная шкала тревоги и депрессии (Hospital Anxiety and Depression Scale, HADS)
Название на русском языке: Госпитальная шкала тревоги и депрессии
Оригинальное название (если есть): Hospital Anxiety and Depression Scale
Источник: [190]
Тип: шкала оценки
Назначение: оценка наличия симптомов тревоги (Т) и депрессии (Д)
Содержание (шаблон):
Каждому утверждению шкалы HADS соответствуют 4 варианта ответа. Больного просят выбрать тот ответ, который соответствует его состоянию в течение последних 7 дней, затем баллы суммируются отдельно для каждой части.
Таблица ПГ-1. Госпитальная шкала тревоги и депрессии (Hospital Anxiety and Depression Scale, HADS)
|
Т я испытываю напряженность, мне не по себе □ 3 все время □ 2 часто □ 1 время от времени, иногда □ 0 совсем не испытываю
|
Д то, что приносило мне большое удовольствие, и сейчас вызывает у меня такое же чувство □ 0 определенно это так □ 1 наверное, это так □ 2 лишь в очень малой степени это так □ 3 это совсем не так |
|---|---|
|
Т я испытываю страх, кажется, будто что-то ужасное может вот-вот случиться □ 3 определенно это так, и страх очень сильный □ 2 да, это так, но страх не очень сильный □ 1 иногда, но это меня не беспокоит □ 0 совсем не испытываю |
Д я способен рассмеяться и увидеть в том или ином событии смешное □ 0 определенно это так □ 1 наверное, это так □ 2 лишь в очень малой степени это так □ 3 совсем не способен |
|
Т беспокойные мысли крутятся у меня в голове □ 3 постоянно □ 2 большую часть времени □ 1 время от времени и не так часто □ 0 только иногда |
Д я испытываю бодрость □ 3 совсем не испытываю □ 2 очень редко □ 1 иногда □ 0 практически все время
|
|
Т я легко могу сесть и расслабиться □ 0 определенно это так □ 1 наверное, это так □ 2 лишь изредка это так □ 3 совсем не могу |
Д мне кажется, что я стал все делать очень медленно □ 3 практически все время □ 2 часто □ 1 иногда □ 0 совсем не так |
|
Т я испытываю внутреннее напряжение или дрожь □ 0 совсем не испытываю □ 1 иногда □ 2 часто □ 3 очень часто
|
Д я не слежу за своей внешностью □ 3 определенно это так □ 2 я не уделяю этому столько времени, сколько нужно □ 1 может быть, я стал меньше уделять этому внимания □ 0 я слежу за собой так же, как и раньше |
|
Т я испытываю неусидчивость, словно мне постоянно нужно двигаться □ 3 определенно это так □ 2 наверное, это так □ 1 лишь в некоторой степени это так □ 0 совсем не испытываю |
Д я считаю, что мои дела (занятия, увлечения) могут принести мне чувство удовлетворения □ 0 точно так же, как и обычно □ 1 да, но не в той степени, как и раньше □ 2 значительно меньше, чем обычно □ 3 совсем так не считаю |
|
Т у меня бывает внезапное чувство паники □ 3 очень часто □ 2 довольно часто □ 1 не так уж часто □ 0 совсем не бывает |
Д я могу получить удовольствие от хорошей книги, радио- или телепрограммы □ 0 часто □ 1 иногда □ 2 редко □ 3 очень редко |
|
Количество баллов здесь ________ Количество баллов здесь ________ |
|
Примечание: Т – подшкала тревоги; Д – подшкала депрессии.
Ключ (интерпретация):
0 – 7 баллов - норма (отсутствие достоверно выраженных симптомов тревоги/депрессии);
8 – 10 баллов - субклинически выраженная тревога/депрессия;
11 баллов и выше - клинически выраженная тревога/депрессия.
Приложение Г2. Тест «Встань и иди» с фиксацией времени
Название на русском языке: тест «Встань и иди» с фиксацией времени
Оригинальное название (если есть): Timed “Up and go” test
Источник: [189]
Тип: тест
Назначение: оценка походки, баланса и риска падений
Содержание (шаблон):
Необходимое оборудование: стул с подлокотниками, рулетка, цветная лента или маркер, секундомер. От стула необходимо отмерить расстояние 3 метра и отметить его маркером или цветной лентой так, чтобы отметка была видна пациенту.
Условия проведения. Пациент должен быть проинструктирован, что тест выполняется на время. Первую пробную попытку он может выполнить без отсчета времени. Пациент во время выполнения теста должен быть обут в свою привычную обувь и может использовать средства для передвижения, которые он обычно используется (например, трость или ходунки). Если это необходимо, во время выполнения теста пациент может остановиться, чтобы передохнуть.
Методика проведения (Рисунок ПГ-1):
-
Пациент должен сидеть на стуле так, чтобы его спина опиралась о спинку стула, а бедра полностью касались сиденья. Стул должен быть устойчивым. Пациенту разрешается использовать подлокотники во время сидения и при вставании.
-
Инструкция для пациента: Когда я скажу «Начали», Вы должны будете встать, пройти отмеченное расстояние, развернуться, вернуться к стулу и сесть на него. Идти нужно в своем обычном темпе.
-
Начинайте отсчет времени после того, как произнесете слово «Начали» и остановите отсчет, когда пациент снова сядет правильно на стул, опершись спиной о его спинку.
-
Во время выполнения теста необходимо обратить внимание на признаки нарушения походки и равновесия.

Рисунок ПГ-1. Схема выполнения теста «Встань и иди» с фиксацией времени.
Приложение Г3. Оригинальная шкала Борга (Borg RPE, Rating of Perceived Exertion)
Название на русском языке: Оригинальная шкала Борга
Оригинальное название (если есть): Borg Rating of Perceived Exertion
Источник: [191, 192]
Тип: шкала оценки
Назначение: субъективная оценка переносимости физического напряжения/тренирующей нагрузки.
Таблица ПГ-2. Оригинальная шкала Борга (Borg RPE, Rating of Perceived Exertion)
|
Баллы по Шкале Borg RPE |
Интенсивность нагрузки |
|---|---|
|
6 |
Очень, очень легкая |
|
7 |
Исключительно легкая |
|
8 |
|
|
9 |
Очень легкая |
|
10 |
|
|
11 |
Легкая |
|
12 |
|
|
13 |
Умеренная |
|
14 |
|
|
15 |
Довольно тяжелая |
|
16 |
Тяжелая |
|
17 |
Очень тяжелая |
|
18 |
|
|
19 |
Очень, очень тяжелая |
|
20 |
Максимальная нагрузка |
Ключ (интерпретация): пациент получает инструкции по субъективной оценке переносимости физического напряжения/тренирующей нагрузки: от 6 баллов – практически отсутствие каких-либо усилий, 9 – на уровне ходьбы в лёгком темпе, с 12 до 14 – напряжение, как при быстрой ходьбе или беге трусцой; 15 и выше – зона высокой интенсивности, как во время очень быстрого бега.
Приложение Г4. Шкала CHA2DS2-VASc
Название на русском языке: шкала CHA2DS2-VASc
Оригинальное название: CHA2DS2-VASc
Источники: [170, 171]
Тип: шкала оценки
Назначение: CHA2DS2-VASc — клиническая шкала для оценки риска ишемического инсульта у пациентов с неклапанной фибрилляцией предсердий. Применяется для принятия решения о назначении антикоагулянтной терапии. Рекомендована в международных гайдлайнах (ESC, AHA/ACC/HRS) как основа стратификации тромбоэмболического риска [72].
Содержание (шаблон):
-
C — хроническая сердечная недостаточность (Congestive heart failure) — 1 балл
-
H — артериальная гипертензия (Hypertension) — 1 балл
-
A2 — возраст ≥75 лет — 2 балла
-
D — сахарный диабет (Diabetes mellitus) — 1 балл
-
S2 — инсульт или ТИА в анамнезе — 2 балла
-
V — сосудистые заболевания (инфаркт миокарда, облитерирующий атеросклероз и др.) — 1 балл
-
A — возраст 65–74 года — 1 балл
-
Sc — женский пол — 1 балл
Максимум: 9 баллов.
Интерпретация результата:
-
0 баллов (у мужчин) / 1 балл (у женщин) — низкий риск, антикоагулянтная терапия, как правило, не требуется.
-
1 балл (у мужчин) / 2 балла (у женщин) — умеренный риск, решение о терапии принимается индивидуально.
-
≥2 баллов (у мужчин) / ≥3 баллов (у женщин) — высокий риск, показана антикоагулянтная терапия.
Применение на практике: Шкала используется при первичной оценке пациента с фибрилляцией предсердий и при динамическом наблюдении. Она помогает обосновать назначение прямых оральных антикоагулянтов или антагонистов витамина K.
Приложение Г5. Шкала оценки периоперационного риска EuroSCORE
Название на русском языке: шкала EuroSCORE
Оригинальное название: EuroSCORE (European System for Cardiac Operative Risk Evaluation)
Источники: [43]
Тип: шкала оценки
Назначение: EuroSCORE –шкала оценки риска летального исхода после кардиохирургического вмешательства
Содержание (шаблон):
Возраст
-
<60 (0 балла(ов))
-
60-64 (1 балл)
-
65-69 (2 балла(ов))
-
70-74 (3 балла(ов))
-
75-79 (4 балла(ов))
-
80-84 (5 балла(ов))
-
85-89 (6 балла(ов))
-
90-94 (7 балла(ов))
-
95-100 (8 балла(ов))
Пол
-
Женщины (1 балл)
-
Мужчины (0 балла(ов))
Фракция выброса
-
30–50 % (1 балл)
-
< 30 % (3 балла(ов))
-
Нарушение функции почек (2 балла(ов))
-
Заболевания периферических сосудов (2 балла(ов))
-
Респираторное заболевание (1 балл)
-
Сосудистое заболевание головного мозга (2 балла(ов))
-
Кардиохирургическая операция в анамнезе (3 балла(ов))
-
Активный эндокардит (3 балла(ов))
-
Критическое предоперационное состояние (3 балла(ов))
-
Нестабильная стенокардия (2 балла(ов))
-
Недавний инфаркт миокарда (2 балла(ов))
-
Легочная гипертензия (2 балла(ов))
-
Экстренная хирургическая операция (2 балла(ов))
-
Операция помимо изолированного аортокоронарного шунтирования (АКШ) (2 балла(ов))
-
Разрыв межжелудочковой перегородки (4 балла(ов))
-
Операция на грудной аорте (3 балла(ов))
Интерпретация результата:
|
0 - 2 баллы: |
Низкий риск |
|---|---|
|
3 - 5 баллы: |
Умеренный риск |
|
6 - 45 баллы: |
Высокий риск |
Приложение Г6. Шкала оценки периоперационного риска EuroSCORE II
Шкала EuroSCORE II (European System for Cardiac Operative Risk Evaluation) предназначена для оценки риска неблагоприятного исхода кардиохирургической операции (в данном случае коронарного шунтирования). В таблице представлены факторы, увеличивающие смертность при кардиохирургических вмешательствах. Каждый из этих факторов получил свою оценку. Из суммы этих оценок и складывается показатель риска EuroSCORE II. У пациентов с высоким показателем EuroSCORE II целесообразно выполнение ЧКВ в связи с высоким риском осложнений и летальных исходов после операции КШ. Данная шкала может использоваться для оценки риска оперативных вмешательств (в том числе при клапанной патологии) как с искусственным кровообращением, так и без него.
Название на русском языке: Шкала EuroSCORE II
Оригинальное название (если есть): European System for Cardiac Operative Risk Evaluation II
Источник: [44, 45] (официальный сайт разработчиков, публикация с валидацией: https://euroscore.org)
Тип: шкала оценки
Назначение: оценка риска неблагоприятного исхода кардиохирургической операции
Содержание (шаблон):
ШКАЛА ОЦЕНКИ ПЕРИОПЕРАЦИОННОГО РИСКА EUROSCORE II
|
Фактор риска |
Коэффициент |
|---|---|
|
- СН класс NYHA II |
0,1070545 |
|
- СН класс NYHA III |
0,2958358 |
|
- СН класс NYHA IV |
0,5597929 |
|
Стенокардия 4-й класс по ССS |
0,2226147 |
|
Инсулинопотребный СД |
0,3542749 |
|
Возраст |
0,0285181 |
|
Женский пол |
0,2196434 |
|
Болезни экстракардиальных артерий |
0,5360268 |
|
Хроническое заболевание легких |
0,1886564 |
|
Неврологическая или мышечная дисфункция |
0,2407181 |
|
Предшествующие операции на сердце |
1,118599 |
|
Потребность в диализе |
0,6421508 |
|
Снижение СКФ < 50 мл/мин |
0,8592256 |
|
СКФ 50 - 85 мл/мин |
0,303553 |
|
Активный ИЭ |
0,6194522 |
|
Критическое состояние перед операцией |
1,086517 |
|
Функция левого желудочка: - не снижена |
0,3150652 |
|
- снижена |
0,8084096 |
|
- сильно снижена |
0,9346919 |
|
Недавний ИМ |
0,1528943 |
|
СДЛА: 31 - 55 мм.рт.ст. |
0,1788899 |
|
> 55 мм рт.ст. |
0,3491475 |
|
Срок операции: - Экстренно |
0,3174673 |
|
- На следующий день |
0,7039121 |
|
- Требуется проведение СЛР по пути в операционную |
1,362947 |
|
Тяжесть вмешательства: - 1 операция не АКШ |
0,0062118 |
|
- 2 операции, включая АКШ |
0,5521478 |
|
- 3 и более операций, включая АКШ |
0,9724533 |
|
Вмешательство на грудной аорте |
0,6527205 |
|
Константа лог-регрессии (В0) |
-5,324537 |
Примечание: перечисленные коэффициенты подставляются в уравнение:
расчетная летальность =
где B0 - константа лог-регрессии, Bi коэффициент вариабельности Xi, для возраста Xi = 1, если пациент младше 60 лет, Xi увеличивается на 1 за каждый год после 60 (при 61 Xi = 2, при 62 Xi = 3 и так далее). АКШ - аортокоронарное шунтирование, ИМ - инфаркт миокарда, СД - сахарный диабет, СДЛА - систолическое давление в легочной артерии, СКФ - скорость клубочковой фильтрации (рассчитанная по Cockroft-Gault), СЛР - сердечно-легочная реанимация, СН - сердечная недостаточность, ССS - Canadian cardiovascular society (Канадское сердечно-сосудистое общество), NYHA - New York Heart Association (Нью-Йоркская ассоциация сердца).
Приложение Г7. Шкала STS Score
Название на русском языке: шкала STS Score
Оригинальное название: The Society of Thoracic Surgery Score
Источники: [42] (официальный сайт разработчиков, публикация с валидацией: https://acsdriskcalc.research.sts.org)
Тип: шкала оценки
Назначение: STS Score - шкала оценки хирургического риска, связанный с АКШ
Содержание (шаблон):

Интерпретация:
-
Низкий риск: менее 4%
-
Промежуточный риск: 4-8%
-
Высокий риск: 8% или более
Прикреплённые файлы
Внимание!
- Занимаясь самолечением, вы можете нанести непоправимый вред своему здоровью.
- Информация, размещенная на сайте MedElement и в мобильных приложениях "MedElement (МедЭлемент)", "Lekar Pro", "Dariger Pro", "Заболевания: справочник терапевта", не может и не должна заменять очную консультацию врача. Обязательно обращайтесь в медицинские учреждения при наличии каких-либо заболеваний или беспокоящих вас симптомов.
- Выбор лекарственных средств и их дозировки, должен быть оговорен со специалистом. Только врач может назначить нужное лекарство и его дозировку с учетом заболевания и состояния организма больного.
- Сайт MedElement и мобильные приложения "MedElement (МедЭлемент)", "Lekar Pro", "Dariger Pro", "Заболевания: справочник терапевта" являются исключительно информационно-справочными ресурсами. Информация, размещенная на данном сайте, не должна использоваться для самовольного изменения предписаний врача.
- Редакция MedElement не несет ответственности за какой-либо ущерб здоровью или материальный ущерб, возникший в результате использования данного сайта.